2025年新编高中同步作业高中数学选择性必修第二册人教版A
注:目前有些书本章节名称可能整理的还不是很完善,但都是按照顺序排列的,请同学们按照顺序仔细查找。练习册 2025年新编高中同步作业高中数学选择性必修第二册人教版A 答案主要是用来给同学们做完题方便对答案用的,请勿直接抄袭。
第41页
- 第1页
- 第2页
- 第3页
- 第4页
- 第5页
- 第6页
- 第7页
- 第8页
- 第9页
- 第10页
- 第11页
- 第12页
- 第13页
- 第14页
- 第15页
- 第16页
- 第17页
- 第18页
- 第19页
- 第20页
- 第21页
- 第22页
- 第23页
- 第24页
- 第25页
- 第26页
- 第27页
- 第28页
- 第29页
- 第30页
- 第31页
- 第32页
- 第33页
- 第34页
- 第35页
- 第36页
- 第37页
- 第38页
- 第39页
- 第40页
- 第41页
- 第42页
- 第43页
- 第44页
- 第45页
- 第46页
- 第47页
- 第48页
- 第49页
- 第50页
- 第51页
- 第52页
- 第53页
- 第54页
- 第55页
- 第56页
- 第57页
- 第58页
- 第59页
- 第60页
- 第61页
- 第62页
- 第63页
- 第64页
- 第65页
- 第66页
- 第67页
- 第68页
- 第69页
- 第70页
- 第71页
- 第72页
- 第73页
- 第74页
- 第75页
- 第76页
- 第77页
- 第78页
- 第79页
- 第80页
1. 用数学归纳法证明$1+\frac{1}{2}+\frac{1}{3}+\cdots+\frac{1}{2^{n}-1}\lt n(n\in\mathbf{N}^{*},n\gt1)$时,第一步应验证不等式 ( )
A. $1+\frac{1}{2}\lt2$
B. $1+\frac{1}{2}+\frac{1}{3}\lt3$
C. $1+\frac{1}{2}+\frac{1}{3}\lt2$
D. $1+\frac{1}{2}+\frac{1}{3}+\frac{1}{4}\lt3$
A. $1+\frac{1}{2}\lt2$
B. $1+\frac{1}{2}+\frac{1}{3}\lt3$
C. $1+\frac{1}{2}+\frac{1}{3}\lt2$
D. $1+\frac{1}{2}+\frac{1}{3}+\frac{1}{4}\lt3$
答案:
C
2. 用数学归纳法证明$f(n)=1+\frac{1}{2}+\frac{1}{3}+\cdots+\frac{1}{2^{n}}(n\in\mathbf{N}^{*})$的过程中,从$n = k$到$n = k + 1$时,$f(k + 1)$比$f(k)$共增加了 ( )
A. 1项
B. $2^{k - 1}$项
C. $2^{k + 1}$项
D. $2^{k}$项
A. 1项
B. $2^{k - 1}$项
C. $2^{k + 1}$项
D. $2^{k}$项
答案:
D
1. 用数学归纳法证明:$1 + 3×2 + 5×2^{2}+\cdots+(2n - 1)×2^{n - 1}=2^{n}(2n - 3)+3(n\in\mathbf{N}^{*})$.
答案:
证明:
- 当$n = 1$时,左边$ = 1$,右边$ = 2\times(2 - 3)+3 = 1$,左边$=$右边,等式成立。
- 假设当$n = k(k\in N^{*})$时,等式成立,即$1 + 3\times2 + 5\times2^{2}+\cdots+(2k - 1)\times2^{k - 1}=2^{k}(2k - 3)+3$。
则当$n = k + 1$时,$1 + 3\times2 + 5\times2^{2}+\cdots+(2k - 1)\times2^{k - 1}+(2k + 1)\times2^{k}=2^{k}(2k - 3)+3+(2k + 1)\times2^{k}=2^{k}(4k - 2)+3=2^{k + 1}[2(k + 1)-3]+3$。
即当$n = k + 1$时,等式也成立。
由上述(1)(2)知,等式对任何$n\in N^{*}$都成立。
2.$(1-\frac{1}{3})(1-\frac{1}{4})(1-\frac{1}{5})\cdots(1-\frac{1}{n + 2})=\frac{2}{n + 2})$。
答案:
2. **证明**: - 当(n = 1)时,左边$( = 1-\frac{1}{3}=\frac{2}{3})$,右边$(=\frac{2}{1 + 2}=\frac{2}{3})$,等式成立。 - 假设当$(n = k(k\in N^{*})$时,等式成立,即$(1-\frac{1}{3})(1-\frac{1}{4})(1-\frac{1}{5})\cdots(1-\frac{1}{k + 2})=\frac{2}{k + 2})$。 则当(n = k + 1)时,$(1-\frac{1}{3})(1-\frac{1}{4})(1-\frac{1}{5})\cdots(1-\frac{1}{k + 2})(1-\frac{1}{k + 3})=\frac{2}{k + 2}(1-\frac{1}{k + 3})=\frac{2(k + 2)}{(k + 2)(k + 3)}=\frac{2}{k + 3}=\frac{2}{(k + 1)+2})$。 即当$(n = k + 1)$时,等式也成立。 由(1)(2)可知,对任何$(n\in N^{*})$,等式都成立。
3.$1^3=1^2$
$1^3+2^3=(1+2)^2$
$1^3+2^3+3^3=(1+2+3+4)^2$
$1^3+2^3+3^3+4^3=(1+2+3+4)^2$,
······
(1)请用含n(nN°)的等式归纳猜想出一般性结论,并用数学归纳法加以证明;
(2)设数列(a。)的前n 项和为S.,且$a_n=n³+n$,求$S_{10}$.
答案:
3. **解**: - 猜想\(1^{3}+2^{3}+3^{3}+\cdots+n^{3}=(1 + 2 + 3+\cdots+n)^{2}\)。 证明:当\(n = 1\)时,左边\( = 1\),右边\( = 1\),等式成立。 假设当\(n = k(k\in N^{*})\)时,\(1^{3}+2^{3}+3^{3}+\cdots+k^{3}=(1 + 2 + 3+\cdots+k)^{2}\)成立。 当\(n = k + 1\)时,\(1^{3}+2^{3}+3^{3}+\cdots+k^{3}+(k + 1)^{3}=(1 + 2 + 3+\cdots+k)^{2}+(k + 1)^{3}=[\frac{k(k + 1)}{2}]^{2}+(k + 1)^{3}=(k + 1)^{2}\cdot\frac{k^{2}+4k + 4}{4}=[\frac{(k + 1)(k + 2)}{2}]^{2}=[1 + 2+\cdots+(k + 1)]^{2}\)。 可得当\(n = k + 1\)时,猜想也成立。 综上可得,对任意的正整数\(n\),\(1^{3}+2^{3}+3^{3}+\cdots+n^{3}=(1 + 2 + 3+\cdots+n)^{2}\)。 - 数列\(\{a_{n}\}\)的前\(n\)项和为\(S_{n}\),且\(a_{n}=n^{3}+n\),\(S_{10}=(1^{3}+2^{3}+\cdots+10^{3})+(1 + 2 + 3+\cdots+10)=(1 + 2+\cdots+10)^{2}+\frac{10\times11}{2}=55^{2}+55 = 3080\)。
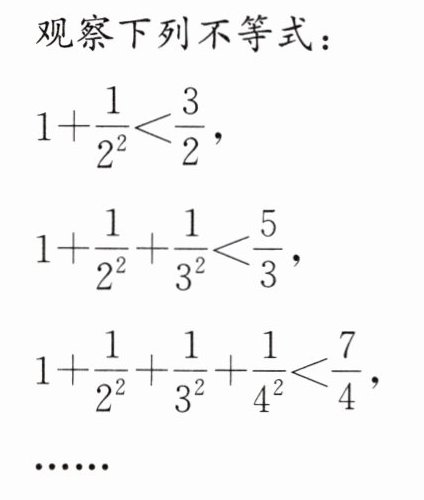
探究1:照此规律,你能写出第$n(n\in\mathbf{N}^{*})$个不等式吗?
探究2:用数学归纳法证明上述不等式时,假设当$n = k(k\in\mathbf{N}^{*}$且$k\geqslant1)$时,不等式$1+\frac{1}{2^{2}}+\frac{1}{3^{2}}+\cdots+\frac{1}{(k + 1)^{2}}\lt\frac{2(k + 1)-1}{k + 1}$成立,则当$n = k + 1$时,我们需要证明的不等式是怎样的?
探究3:除了数学归纳法,上述不等式还可以怎样证明?
答案:
第$n$个不等式为$1+\frac{1}{2^{2}}+\frac{1}{3^{2}}+\cdots+\frac{1}{(n + 1)^{2}}\frac{2(n + 1)-1}{n + 1}$。
@@$1+\frac{1}{2^{2}}+\frac{1}{3^{2}}+\cdots+\frac{1}{(k + 1)^{2}}+\frac{1}{(k + 2)^{2}}\frac{2(k + 1+1)-1}{(k + 1)+1}$。
@@用放缩法证明。因为$n^{2}>n(n - 1)$,所以$\frac{1}{n^{2}}\frac{1}{n(n - 1)}(n\in N^{*}且n > 1)$。 所以$1+\frac{1}{2^{2}}+\frac{1}{3^{2}}+\cdots+\frac{1}{(n + 1)^{2}}1+\frac{1}{1\times2}+\frac{1}{2\times3}+\cdots+\frac{1}{n(n + 1)}=1+1-\frac{1}{2}+\frac{1}{2}-\frac{1}{3}+\cdots+\frac{1}{n}-\frac{1}{n + 1}=2-\frac{1}{n + 1}=\frac{2(n + 1)-1}{n + 1}$。
@@$1+\frac{1}{2^{2}}+\frac{1}{3^{2}}+\cdots+\frac{1}{(k + 1)^{2}}+\frac{1}{(k + 2)^{2}}\frac{2(k + 1+1)-1}{(k + 1)+1}$。
@@用放缩法证明。因为$n^{2}>n(n - 1)$,所以$\frac{1}{n^{2}}\frac{1}{n(n - 1)}(n\in N^{*}且n > 1)$。 所以$1+\frac{1}{2^{2}}+\frac{1}{3^{2}}+\cdots+\frac{1}{(n + 1)^{2}}1+\frac{1}{1\times2}+\frac{1}{2\times3}+\cdots+\frac{1}{n(n + 1)}=1+1-\frac{1}{2}+\frac{1}{2}-\frac{1}{3}+\cdots+\frac{1}{n}-\frac{1}{n + 1}=2-\frac{1}{n + 1}=\frac{2(n + 1)-1}{n + 1}$。
1. 用数学归纳法证明:$1+\frac{1}{2}+\frac{1}{3}+\cdots+\frac{1}{2^{n}-1}\gt\frac{n}{2}(n\in\mathbf{N}^{*})$.
答案:
证明:
- 当$n = 1$时,左边$ = 1$,右边$=\frac{1}{2}$,不等式成立。
- 假设当$n = k(k\in N^{*})$时,不等式成立,即$1+\frac{1}{2}+\frac{1}{3}+\cdots+\frac{1}{2^{k}-1}>\frac{k}{2}$。
当$n = k + 1$时,$1+\frac{1}{2}+\frac{1}{3}+\cdots+\frac{1}{2^{k}-1}+\frac{1}{2^{k - 1}+1}+\frac{1}{2^{k - 1}+2}+\cdots+\frac{1}{2^{k}}>\frac{k}{2}+\frac{1}{2^{k - 1}+1}+\frac{1}{2^{k - 1}+2}+\cdots+\frac{1}{2^{k}}>\frac{k}{2}+\frac{1}{2^{k}}+\frac{1}{2^{k}}+\cdots+\frac{1}{2^{k}}=\frac{k}{2}+\frac{(2^{k}-2^{k - 1})}{2^{k}}=\frac{k + 1}{2}$。
所以当$n = k + 1$时,不等式成立。
由(1)(2)可知,不等式对任何$n\in N^{*}$都成立。
查看更多完整答案,请扫码查看