第57页
- 第1页
- 第2页
- 第3页
- 第4页
- 第5页
- 第6页
- 第7页
- 第8页
- 第9页
- 第10页
- 第11页
- 第12页
- 第13页
- 第14页
- 第15页
- 第16页
- 第17页
- 第18页
- 第19页
- 第20页
- 第21页
- 第22页
- 第23页
- 第24页
- 第25页
- 第26页
- 第27页
- 第28页
- 第29页
- 第30页
- 第31页
- 第32页
- 第33页
- 第34页
- 第35页
- 第36页
- 第37页
- 第38页
- 第39页
- 第40页
- 第41页
- 第42页
- 第43页
- 第44页
- 第45页
- 第46页
- 第47页
- 第48页
- 第49页
- 第50页
- 第51页
- 第52页
- 第53页
- 第54页
- 第55页
- 第56页
- 第57页
- 第58页
- 第59页
- 第60页
- 第61页
- 第62页
- 第63页
- 第64页
- 第65页
- 第66页
- 第67页
- 第68页
- 第69页
- 第70页
- 第71页
- 第72页
- 第73页
- 第74页
- 第75页
- 第76页
- 第77页
- 第78页
- 第79页
- 第80页
- 第81页
- 第82页
- 第83页
- 第84页
- 第85页
- 第86页
- 第87页
- 第88页
- 第89页
- 第90页
- 第91页
- 第92页
- 第93页
- 第94页
- 第95页
- 第96页
- 第97页
- 第98页
- 第99页
- 第100页
- 第101页
- 第102页
- 第103页
- 第104页
- 第105页
- 第106页
- 第107页
- 第108页
- 第109页
- 第110页
- 第111页
- 第112页
5. 分式$\frac{x}{2ab}$、$\frac{2}{3b^{2}}$、$\frac{y}{9a^{2}b}$的最简公分母是______.
答案:
$18a^{2}b^{2}$
6. 分式$\frac{2}{x - 1}$和$\frac{2 - x}{2 - 2x}$的最简公分母是( )
A. $x - 1$
B. $(x - 1)(2 - 2x)$
C. $2(x - 1)$
D. $2(x - 1)^{2}$
A. $x - 1$
B. $(x - 1)(2 - 2x)$
C. $2(x - 1)$
D. $2(x - 1)^{2}$
答案:
C
7. 通分:
(1) $\frac{5}{2x}$,$\frac{y}{3(x + 1)}$; (2) $\frac{5}{ab^{2}}$,$\frac{2}{3ab^{3}}$,$\frac{1}{2a^{2}b}$;
(3) $\frac{1}{2a + 2}$,$\frac{a}{3a + 3}$; (4) $\frac{x}{x + 2}$,$\frac{1}{x^{2} + 4x + 4}$.
(1) $\frac{5}{2x}$,$\frac{y}{3(x + 1)}$; (2) $\frac{5}{ab^{2}}$,$\frac{2}{3ab^{3}}$,$\frac{1}{2a^{2}b}$;
(3) $\frac{1}{2a + 2}$,$\frac{a}{3a + 3}$; (4) $\frac{x}{x + 2}$,$\frac{1}{x^{2} + 4x + 4}$.
答案:
(1) $\frac{5}{2x}=\frac{15(x + 1)}{6x(x + 1)},\frac{y}{3(x + 1)}=\frac{2xy}{6x(x + 1)}$;
(2) $\frac{5}{ab^{2}}=\frac{30ab}{6a^{2}b^{3}},\frac{2}{3ab^{3}}=\frac{4a}{6a^{2}b^{3}},\frac{1}{2a^{2}b}=\frac{3b^{2}}{6a^{2}b^{3}}$;
(3) $\frac{1}{2a + 2}=\frac{3}{6(a + 1)},\frac{a}{3a + 3}=\frac{2a}{6(a + 1)}$;
(4) $\frac{x}{x + 2}=\frac{x(x + 2)}{(x + 2)^{2}},\frac{1}{x^{2}+4x + 4}=\frac{1}{(x + 2)^{2}}$
(1) $\frac{5}{2x}=\frac{15(x + 1)}{6x(x + 1)},\frac{y}{3(x + 1)}=\frac{2xy}{6x(x + 1)}$;
(2) $\frac{5}{ab^{2}}=\frac{30ab}{6a^{2}b^{3}},\frac{2}{3ab^{3}}=\frac{4a}{6a^{2}b^{3}},\frac{1}{2a^{2}b}=\frac{3b^{2}}{6a^{2}b^{3}}$;
(3) $\frac{1}{2a + 2}=\frac{3}{6(a + 1)},\frac{a}{3a + 3}=\frac{2a}{6(a + 1)}$;
(4) $\frac{x}{x + 2}=\frac{x(x + 2)}{(x + 2)^{2}},\frac{1}{x^{2}+4x + 4}=\frac{1}{(x + 2)^{2}}$
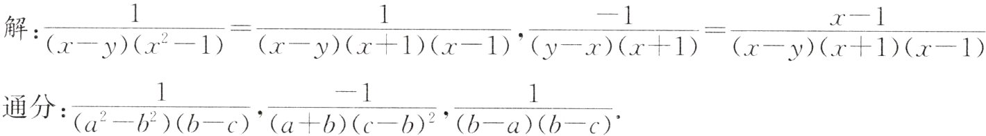
8. 阅读下列解题过程,并回答问题.
通分:$\frac{1}{(x - y)(x^{2} - 1)}$,$\frac{-1}{(y - x)(x + 1)}$;
分析:当分式的分母是多项式或含有多项式因式时,先将它们分解因式或变形,再确定最简公分母.

通分:$\frac{1}{(a^{2} - b^{2})(b - c)}$,$\frac{-1}{(a + b)(c - b)^{2}}$,$\frac{1}{(b - a)(b - c)}$.
通分:$\frac{1}{(x - y)(x^{2} - 1)}$,$\frac{-1}{(y - x)(x + 1)}$;
分析:当分式的分母是多项式或含有多项式因式时,先将它们分解因式或变形,再确定最简公分母.
通分:$\frac{1}{(a^{2} - b^{2})(b - c)}$,$\frac{-1}{(a + b)(c - b)^{2}}$,$\frac{1}{(b - a)(b - c)}$.
答案:
$\frac{1}{(a^{2}-b^{2})(b - c)}=\frac{b - c}{(a + b)(a - b)(b - c)^{2}},\frac{-1}{(a + b)(c - b)^{2}}=\frac{-(a - b)}{(a + b)(a - b)(b - c)^{2}},\frac{1}{(b - a)(b - c)}=\frac{-(a + b)(b - c)}{(a + b)(a - b)(b - c)^{2}}$
9. 已知$a$、$b$为实数,且$ab = 3$,$a + b = 4$. 求$\frac{a - 1}{a + 1}+\frac{b - 1}{b + 1}$的值.
答案:
$\frac{1}{2}$
查看更多完整答案,请扫码查看