第31页
- 第1页
- 第2页
- 第3页
- 第4页
- 第5页
- 第6页
- 第7页
- 第8页
- 第9页
- 第10页
- 第11页
- 第12页
- 第13页
- 第14页
- 第15页
- 第16页
- 第17页
- 第18页
- 第19页
- 第20页
- 第21页
- 第22页
- 第23页
- 第24页
- 第25页
- 第26页
- 第27页
- 第28页
- 第29页
- 第30页
- 第31页
- 第32页
- 第33页
- 第34页
- 第35页
- 第36页
- 第37页
- 第38页
- 第39页
- 第40页
- 第41页
- 第42页
- 第43页
- 第44页
- 第45页
- 第46页
- 第47页
- 第48页
- 第49页
- 第50页
- 第51页
- 第52页
- 第53页
- 第54页
- 第55页
- 第56页
- 第57页
- 第58页
- 第59页
- 第60页
- 第61页
- 第62页
- 第63页
- 第64页
- 第65页
- 第66页
- 第67页
- 第68页
- 第69页
- 第70页
- 第71页
- 第72页
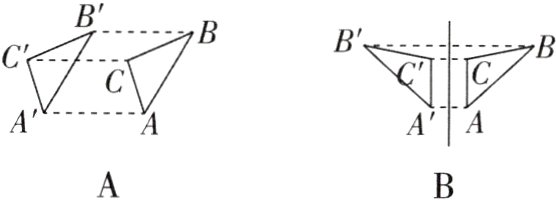
1[2024浙江杭州拱墅区期中]下列各组图形中,△A'B'C'与△ABC成中心对称的是 ( )

答案:
D 【解析】A选项,△A'B'C'由△ABC平移得到,不成中心对称,故本选项错误;B选项,△A'B'C'与△ABC成轴对称,故本选项错误;C选项,△A'B'C'由△ABC旋转得到,不成中心对称,故本选项错误;D选项,△A'B'C'与△ABC成中心对称,故本选项正确。故选D.
2[2024江苏宿迁调研]如图,已知△ABC和△A'B'C'关于点O成中心对称,则下列结论错误的是 ( )

A. ∠ABC = ∠A'B'C'
B. ∠AOC = ∠A'OC'
C. AB = A'B'
D. OA = OB'
A. ∠ABC = ∠A'B'C'
B. ∠AOC = ∠A'OC'
C. AB = A'B'
D. OA = OB'
答案:
D 【解析】因为△ABC和△A'B'C'关于点O成中心对称,所以AB = A'B',OA = OA',∠ABC = ∠A'B'C'。由对顶角相等可得∠AOC = ∠A'OC',故A、B、C选项的结论正确,D选项的结论错误。故选D.
3[2024天津和平区质检]如图,直线a,b垂直相交于点O,曲线c关于点O成中心对称,点A的对称点是点A',AB⊥a于点B,A'D⊥b于点D. 若OB = 3,OD = 2,则阴影部分的面积之和为________.
答案:
6 【解析】过点A'作A'B'⊥a于点B'。因为直线a,b垂直相交于点O,曲线c关于点O成中心对称,点A的对称点是点A',AB⊥a于点B,A'D⊥b于点D,OB = 3,OD = 2,所以A'D = 3.由中心对称的性质可知,阴影部分面积之和等于长方形A'B'OD的面积,所以阴影部分的面积之和为3×2 = 6.
4[2024浙江宁波一模]如图是由边长为1的小正方形构成的6×5网格,点A,B均在格点上. (注:格点多边形,即多边形的每个顶点均在格点上)
(1) 请在图(1)中画出一个格点△ABC,使△ABC为轴对称图形.
(2) 请在图(2)中画出一个格点四边形ABDE,使四边形ABDE为中心对称图形.

(1) 请在图(1)中画出一个格点△ABC,使△ABC为轴对称图形.
(2) 请在图(2)中画出一个格点四边形ABDE,使四边形ABDE为中心对称图形.
答案:
【解】
(1)如图
(1),△ABC即为所求(答案不唯一)。

(2)如图
(2),四边形ABDE即为所求(答案不唯一)。
【解】
(1)如图
(1),△ABC即为所求(答案不唯一)。
(2)如图
(2),四边形ABDE即为所求(答案不唯一)。
5[2024浙江金华期末](1)如图(1),已知D是BC中点,连接AD,画出△ABD关于点D成中心对称的三角形.
(2)如图(2),已知四边形ABCD和点P,画四边形A'B'C'D',使四边形A'B'C'D'与四边形ABCD关于点P成中心对称.(不写作法,保留作图痕迹)
D
A
.P
B
图(2)
(2)如图(2),已知四边形ABCD和点P,画四边形A'B'C'D',使四边形A'B'C'D'与四边形ABCD关于点P成中心对称.(不写作法,保留作图痕迹)
D
.P
B
图(2)
答案:
【解】
(1)如图
(1)所示,△A'CD即为所求作的三角形。
(2)如图
(2)所示,四边形A'B'C'D'即为所求。
【解】
(1)如图
(1)所示,△A'CD即为所求作的三角形。
(2)如图
(2)所示,四边形A'B'C'D'即为所求。
6[2024江苏泰州质检]下列图形中,既是轴对称图形又是中心对称图形的是 ( )

答案:
C 【解析】
A 该图形是轴对称图形,不是中心对称图形,不符合题意
B 该图形是中心对称图形,不是轴对称图形,不符合题意
C 该图形既是轴对称图形又是中心对称图形,符合题意
D 该图形既不是轴对称图形,也不是中心对称图形,不符合题意
C 【解析】
A 该图形是轴对称图形,不是中心对称图形,不符合题意
B 该图形是中心对称图形,不是轴对称图形,不符合题意
C 该图形既是轴对称图形又是中心对称图形,符合题意
D 该图形既不是轴对称图形,也不是中心对称图形,不符合题意
7[2024江苏南京鼓楼区调研]如图,方格纸中有三个点A,B,C,要求作一个四边形,使这三个点在这个四边形的边(包括顶点)上,且四边形的顶点在格点上,并满足以下条件.
(1) 在甲图中作出的四边形是中心对称图形但不是轴对称图形;
(2) 在乙图中作出的四边形是轴对称图形但不是中心对称图形;
(3) 在丙图中作出的四边形既是轴对称图形又是中心对称图形.

(1) 在甲图中作出的四边形是中心对称图形但不是轴对称图形;
(2) 在乙图中作出的四边形是轴对称图形但不是中心对称图形;
(3) 在丙图中作出的四边形既是轴对称图形又是中心对称图形.
答案:
【解】
(1)甲图:平行四边形。(答案不唯一)
(2)乙图:等腰梯形。(答案不唯一)
(3)丙图:正方形。(答案不唯一)
【解】
(1)甲图:平行四边形。(答案不唯一)
(2)乙图:等腰梯形。(答案不唯一)
(3)丙图:正方形。(答案不唯一)
查看更多完整答案,请扫码查看