2025年新编高中同步作业高中数学选择性必修第一册人教版A
注:目前有些书本章节名称可能整理的还不是很完善,但都是按照顺序排列的,请同学们按照顺序仔细查找。练习册 2025年新编高中同步作业高中数学选择性必修第一册人教版A 答案主要是用来给同学们做完题方便对答案用的,请勿直接抄袭。
第41页
- 第1页
- 第2页
- 第3页
- 第4页
- 第5页
- 第6页
- 第7页
- 第8页
- 第9页
- 第10页
- 第11页
- 第12页
- 第13页
- 第14页
- 第15页
- 第16页
- 第17页
- 第18页
- 第19页
- 第20页
- 第21页
- 第22页
- 第23页
- 第24页
- 第25页
- 第26页
- 第27页
- 第28页
- 第29页
- 第30页
- 第31页
- 第32页
- 第33页
- 第34页
- 第35页
- 第36页
- 第37页
- 第38页
- 第39页
- 第40页
- 第41页
- 第42页
- 第43页
- 第44页
- 第45页
- 第46页
- 第47页
- 第48页
- 第49页
- 第50页
- 第51页
- 第52页
- 第53页
- 第54页
- 第55页
- 第56页
- 第57页
- 第58页
- 第59页
- 第60页
- 第61页
- 第62页
- 第63页
- 第64页
- 第65页
- 第66页
- 第67页
- 第68页
- 第69页
- 第70页
- 第71页
- 第72页
- 第73页
- 第74页
- 第75页
- 第76页
- 第77页
- 第78页
- 第79页
- 第80页
- 第81页
- 第82页
- 第83页
- 第84页
- 第85页
- 第86页
- 第87页
1. 已知两点A(−3,4),B(3,2),过点P(1,0)
的直线l与线段AB有公共点.
(1)求直线l的倾斜角α的取值范围;
(2)求直线l的斜率k的取值范围.
的直线l与线段AB有公共点.
(1)求直线l的倾斜角α的取值范围;
(2)求直线l的斜率k的取值范围.
答案:
解:如图,由题意可知,$k_{PA}=\frac{4 - 0}{-3 - 1}=-1$,$k_{PB}=\frac{2 - 0}{3 - 1}=1$.

(1)由题意可知,直线$l$的倾斜角介于直线$PB$与$PA$的倾斜角之间. 又直线$PB$的倾斜角是$45^{\circ}$,直线$PA$的倾斜角是$135^{\circ}$,所以$\alpha$的取值范围是$45^{\circ}\leq\alpha\leq135^{\circ}$.
(2)要使直线$l$与线段$AB$有公共点,则直线$l$的斜率$k$的取值范围是$k\leq - 1$或$k\geq1$.
解:如图,由题意可知,$k_{PA}=\frac{4 - 0}{-3 - 1}=-1$,$k_{PB}=\frac{2 - 0}{3 - 1}=1$.
(1)由题意可知,直线$l$的倾斜角介于直线$PB$与$PA$的倾斜角之间. 又直线$PB$的倾斜角是$45^{\circ}$,直线$PA$的倾斜角是$135^{\circ}$,所以$\alpha$的取值范围是$45^{\circ}\leq\alpha\leq135^{\circ}$.
(2)要使直线$l$与线段$AB$有公共点,则直线$l$的斜率$k$的取值范围是$k\leq - 1$或$k\geq1$.
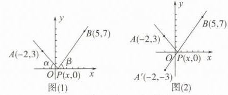
2. 一条光线从点A(−2,3)射入,经过x轴上的点P反射后,通过点B(5,7),求点P的坐标.
答案:
解:(方法一)设点$P(x,0)$. 由光的反射原理知,反射角等于入射角,可得$\beta=\alpha$,如图
(1),所以反射光线$PB$的倾斜角$\beta$与入射光线的倾斜角$(180^{\circ}-\alpha)$互补,因此$k_{AP}=-k_{BP}$,即$\frac{0 - 3}{x - (-2)}=-\frac{0 - 7}{x - 5}$,解得$x=\frac{1}{10}$,所以点$P$的坐标为$(\frac{1}{10},0)$.
(方法二)由题意可将$x$轴看作镜面,易知入射点$A(-2,3)$关于$x$轴的对称点为$A'(-2,-3)$. 由光学知识知,点$A'$应在反射光线所在的直线上,即$A'$,$P$,$B$三点共线,如图
(2). 设点$P(x,0)$,从而有$k_{A'P}=k_{PB}$,即$\frac{0 + 3}{x + 2}=\frac{7}{5 - x}$,解得$x=\frac{1}{10}$,所以点$P$的坐标为$(\frac{1}{10},0)$.

解:(方法一)设点$P(x,0)$. 由光的反射原理知,反射角等于入射角,可得$\beta=\alpha$,如图
(1),所以反射光线$PB$的倾斜角$\beta$与入射光线的倾斜角$(180^{\circ}-\alpha)$互补,因此$k_{AP}=-k_{BP}$,即$\frac{0 - 3}{x - (-2)}=-\frac{0 - 7}{x - 5}$,解得$x=\frac{1}{10}$,所以点$P$的坐标为$(\frac{1}{10},0)$.
(方法二)由题意可将$x$轴看作镜面,易知入射点$A(-2,3)$关于$x$轴的对称点为$A'(-2,-3)$. 由光学知识知,点$A'$应在反射光线所在的直线上,即$A'$,$P$,$B$三点共线,如图
(2). 设点$P(x,0)$,从而有$k_{A'P}=k_{PB}$,即$\frac{0 + 3}{x + 2}=\frac{7}{5 - x}$,解得$x=\frac{1}{10}$,所以点$P$的坐标为$(\frac{1}{10},0)$.
查看更多完整答案,请扫码查看