2025年玩转全课程八年级数学全一册浙教版
注:目前有些书本章节名称可能整理的还不是很完善,但都是按照顺序排列的,请同学们按照顺序仔细查找。练习册 2025年玩转全课程八年级数学全一册浙教版 答案主要是用来给同学们做完题方便对答案用的,请勿直接抄袭。
第1页
- 第1页
- 第2页
- 第3页
- 第4页
- 第5页
- 第6页
- 第7页
- 第8页
- 第9页
- 第10页
- 第11页
- 第12页
- 第13页
- 第14页
- 第15页
- 第16页
- 第17页
- 第18页
- 第19页
- 第20页
- 第21页
- 第22页
- 第23页
- 第24页
- 第25页
- 第26页
- 第27页
- 第28页
- 第29页
- 第30页
- 第31页
- 第32页
- 第33页
- 第34页
- 第35页
- 第36页
- 第37页
- 第38页
- 第39页
- 第40页
- 第41页
- 第42页
- 第43页
- 第44页
- 第45页
- 第46页
- 第47页
- 第48页
- 第49页
- 第50页
- 第51页
- 第52页
- 第53页
- 第54页
- 第55页
- 第56页
- 第57页
- 第58页
- 第59页
- 第60页
- 第61页
- 第62页
- 第63页
- 第64页
- 第65页
- 第66页
- 第67页
- 第68页
- 第69页
- 第70页
- 第71页
- 第72页
- 第73页
- 第74页
- 第75页
- 第76页
- 第77页
- 第78页
- 第79页
- 第80页
【生活情境】古希腊几何学家海伦在《度量》一书中,给出了利用三角形的三边求三角形面积的“海伦公式”:如果一个三角形的三边长分别为a,b,c,设$p= \frac {a+b+c}{2}$,则三角形的面积$S= \sqrt {p(p-a)(p-b)(p-c)}$.
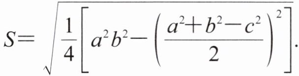
我国南宋著名的数学家秦九韶在《数书九章》一书中,曾提出利用三角形的三边求面积的“秦九韶公式”(三斜求积术):如果一个三角形的三边长分别为a,b,c,则三角形的面积$S= \sqrt {\frac {1}{4}[a^{2}b^{2}-(\frac {a^{2}+b^{2}-c^{2}}{2})^{2}]}$.

【问题提出】(1)若一个三角形的三边长分别是5,6,7,求这个三角形的面积.
(2)若一个三角形的三边长分别是$\sqrt {5},\sqrt {6},\sqrt {7}$,求这个三角形的面积.
【问题分析】直接将这三个数据代入公式计算即可.我们可以根据数的特点选择恰当的公式进行计算,以减轻计算量.
【问题解决】
【问题反思】我国数学家秦九韶提出的“秦九韶公式”,虽然在形式上与海伦公式不同,但其实与海伦公式等价,我们可以尝试由“秦九韶公式”推导“海伦公式”.
我国南宋著名的数学家秦九韶在《数书九章》一书中,曾提出利用三角形的三边求面积的“秦九韶公式”(三斜求积术):如果一个三角形的三边长分别为a,b,c,则三角形的面积$S= \sqrt {\frac {1}{4}[a^{2}b^{2}-(\frac {a^{2}+b^{2}-c^{2}}{2})^{2}]}$.
【问题提出】(1)若一个三角形的三边长分别是5,6,7,求这个三角形的面积.
(2)若一个三角形的三边长分别是$\sqrt {5},\sqrt {6},\sqrt {7}$,求这个三角形的面积.
【问题分析】直接将这三个数据代入公式计算即可.我们可以根据数的特点选择恰当的公式进行计算,以减轻计算量.
【问题解决】
【问题反思】我国数学家秦九韶提出的“秦九韶公式”,虽然在形式上与海伦公式不同,但其实与海伦公式等价,我们可以尝试由“秦九韶公式”推导“海伦公式”.
答案:
(1) $ p = \frac{5 + 6 + 7}{2} = 9 $,$ S = \sqrt{9(9 - 5)(9 - 6)(9 - 7)} = \sqrt{9 × 4 × 3 × 2} = 6\sqrt{6} $
(2) $ S = \sqrt{\frac{1}{4}\left[a^{2}b^{2} - \left(\frac{a^{2} + b^{2} - c^{2}}{2}\right)^{2}\right]} = \sqrt{\frac{1}{4}\left[5 × 6 - \left(\frac{5 + 6 - 7}{2}\right)^{2}\right]} = \sqrt{\frac{26}{4}} = \frac{\sqrt{26}}{2} $
(1) $ p = \frac{5 + 6 + 7}{2} = 9 $,$ S = \sqrt{9(9 - 5)(9 - 6)(9 - 7)} = \sqrt{9 × 4 × 3 × 2} = 6\sqrt{6} $
(2) $ S = \sqrt{\frac{1}{4}\left[a^{2}b^{2} - \left(\frac{a^{2} + b^{2} - c^{2}}{2}\right)^{2}\right]} = \sqrt{\frac{1}{4}\left[5 × 6 - \left(\frac{5 + 6 - 7}{2}\right)^{2}\right]} = \sqrt{\frac{26}{4}} = \frac{\sqrt{26}}{2} $
查看更多完整答案,请扫码查看