第52页
- 第1页
- 第2页
- 第3页
- 第4页
- 第5页
- 第6页
- 第7页
- 第8页
- 第9页
- 第10页
- 第11页
- 第12页
- 第13页
- 第14页
- 第15页
- 第16页
- 第17页
- 第18页
- 第19页
- 第20页
- 第21页
- 第22页
- 第23页
- 第24页
- 第25页
- 第26页
- 第27页
- 第28页
- 第29页
- 第30页
- 第31页
- 第32页
- 第33页
- 第34页
- 第35页
- 第36页
- 第37页
- 第38页
- 第39页
- 第40页
- 第41页
- 第42页
- 第43页
- 第44页
- 第45页
- 第46页
- 第47页
- 第48页
- 第49页
- 第50页
- 第51页
- 第52页
- 第53页
- 第54页
- 第55页
- 第56页
- 第57页
- 第58页
- 第59页
- 第60页
- 第61页
- 第62页
- 第63页
- 第64页
- 第65页
- 第66页
- 第67页
- 第68页
- 第69页
- 第70页
- 第71页
- 第72页
- 第73页
- 第74页
- 第75页
- 第76页
- 第77页
3. 如图9,在Rt△ABC中,CM平分∠ACB,交AB于点M,过点M作MN//BC交AC于点N,且MN平分∠AMC,若AN= 1,则BC的长是多少?

答案:
$BC=6$. 提示:先证$\angle ACB=2\angle B$,再证$\angle B=30°$.
1. 直线 $ a $ 是一条输气管道,$ M $,$ N $ 是管道同侧的两个村庄,现计划在直线 $ a $ 上修建一个供气站 $ O $,向 $ M $,$ N $ 两村庄供应天然气。在下列图的四种方案中,铺设管道最短的是( )

答案:
C
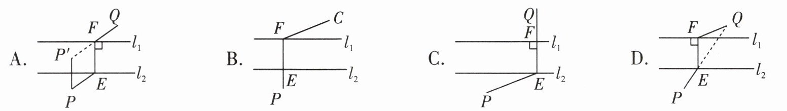
2. 直线 $ l_1 $,$ l_2 $ 表示一条河的两岸,且 $ l_1 // l_2 $,若村庄 $ P $ 和村庄 $ Q $ 在这条河的两岸。现要在这条河上建一座桥 $ EF $(桥 $ EF $ 与河的两岸 $ l_1 $,$ l_2 $ 垂直),使得从村庄 $ P $ 经桥 $ EF $ 过河到村庄 $ Q $ 的路径 $ PEFQ $ 最短,即 $ PE + EF + FQ $ 最小,则下列图中满足条件的是( )

答案:
A
3. 如图 1,在 $ \triangle ABC $ 中,$ AB = 3 $,$ AC = 4 $,$ EF $ 垂直平分 $ BC $,交 $ AC $ 于点 $ D $,则 $ \triangle ABP $ 周长的最小值是( )

A.12
B.6
C.7
D.8
A.12
B.6
C.7
D.8
答案:
C
4. 如图 2,在等边 $ \triangle ABC $ 中,$ BC $ 边上的高 $ AD = 8 $,$ E $ 是高 $ AD $ 上的一个动点,$ F $ 是边 $ AB $ 的中点,在点 $ E $ 运动的过程中,存在 $ EB + EF $ 的最小值,则这个最小值是( )

A.5
B.6
C.7
D.8
A.5
B.6
C.7
D.8
答案:
D
查看更多完整答案,请扫码查看