第92页
- 第1页
- 第2页
- 第3页
- 第4页
- 第5页
- 第6页
- 第7页
- 第8页
- 第9页
- 第10页
- 第11页
- 第12页
- 第13页
- 第14页
- 第15页
- 第16页
- 第17页
- 第18页
- 第19页
- 第20页
- 第21页
- 第22页
- 第23页
- 第24页
- 第25页
- 第26页
- 第27页
- 第28页
- 第29页
- 第30页
- 第31页
- 第32页
- 第33页
- 第34页
- 第35页
- 第36页
- 第37页
- 第38页
- 第39页
- 第40页
- 第41页
- 第42页
- 第43页
- 第44页
- 第45页
- 第46页
- 第47页
- 第48页
- 第49页
- 第50页
- 第51页
- 第52页
- 第53页
- 第54页
- 第55页
- 第56页
- 第57页
- 第58页
- 第59页
- 第60页
- 第61页
- 第62页
- 第63页
- 第64页
- 第65页
- 第66页
- 第67页
- 第68页
- 第69页
- 第70页
- 第71页
- 第72页
- 第73页
- 第74页
- 第75页
- 第76页
- 第77页
- 第78页
- 第79页
- 第80页
- 第81页
- 第82页
- 第83页
- 第84页
- 第85页
- 第86页
- 第87页
- 第88页
- 第89页
- 第90页
- 第91页
- 第92页
- 第93页
- 第94页
- 第95页
- 第96页
- 第97页
- 第98页
- 第99页
- 第100页
- 第101页
- 第102页
- 第103页
- 第104页
- 第105页
- 第106页
- 第107页
- 第108页
- 第109页
- 第110页
- 第111页
8. 若不论 $x$ 为何值,$(x + a)^2 = x^2 - x + a^2$ 恒成立,则常数 $a$ 等于(
A.$2$
B.$-2$
C.$\frac{1}{2}$
D.$-\frac{1}{2}$
D
)A.$2$
B.$-2$
C.$\frac{1}{2}$
D.$-\frac{1}{2}$
答案:
D
9. 若 $m^2 + n^2 = 4n - 4m - 8$,则 $m - n$ 的值等于(
A.$-2$
B.$0$
C.$-4$
D.$4$
C
)A.$-2$
B.$0$
C.$-4$
D.$4$
答案:
C
10. 用简便方法计算:$10.1^2 - 2×10.1×0.1 + 0.01 = \underline{
100
}$.
答案:
100
11. 现定义某种运算“\”:对于任意两个数 a 和 b,有$ a\b = a^2 - ab + b^2,$如$ 3\4 = 3^2 - 3×4 + 4^2 = 13. $请按定义计算$ (x + y)x - y) = \underline{\quad\quad}.$
$x^{2}+3y^{2}$
答案:
$x^{2}+3y^{2}$
12. 用简便方法计算:(1)$199^2$;(2)$1001^2$.
答案:
(1)$199^{2}=(200-1)^{2}=200^{2}-2×200×1+1^{2}=40000-400+1=39601$.
(2)$1001^{2}=(1000+1)^{2}=1000^{2}+2×1000×1+1^{2}=1002001$
(1)$199^{2}=(200-1)^{2}=200^{2}-2×200×1+1^{2}=40000-400+1=39601$.
(2)$1001^{2}=(1000+1)^{2}=1000^{2}+2×1000×1+1^{2}=1002001$
13. 先化简,再求值:$(x + 3)^2 + (2 + x)(2 - x)$,其中 $x = -2$.
答案:
解:原式=$x^{2}+6x+9+4-x^{2}=6x+13$.当x=-2时,原式=$6×(-2)+13=1$
14. 若 $x + y = 2$,且 $(x + 2)(y + 2) = 5$,求 $x^2 + xy + y^2$ 的值.
答案:
解:因为$(x+2)(y+2)=5$,所以$xy+2(x+y)+4=5$.因为x+y=2,所以xy=-3,所以$x^{2}+xy+y^{2}=(x+y)^{2}-xy=2^{2}-(-3)=7$
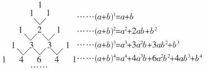
15. 下面的图表是我国数学家发明的“杨辉三角”,此图揭示了 $(a + b)^n$($n$ 为非负整数)的展开式的项数及各项系数的有关规律. 请你观察,并根据此规律填空:$(a + b)^7$ 的展开式共有

8
项,第二项的系数是7
,$(a + b)^n$ 的展开式共有n+1
项,各项的系数和是$2^{n}$
.
答案:
8 7 n+1 $2^{n}$
16. 【阅读理解】
“若 $x$ 满足 $(80 - x)(x - 60) = 30$,求 $(80 - x)^2 + (x - 60)^2$ 的值”.
【解决问题】
(1)若 $x$ 满足 $(30 - x)(x - 20) = -10$,求 $(30 - x)^2 + (x - 20)^2$ 的值.
(2)若 $x$ 满足 $(2023 - x)^2 + (2021 - x)^2 = 4040$,求 $(2023 - x)(2021 - x)$ 的值.
“若 $x$ 满足 $(80 - x)(x - 60) = 30$,求 $(80 - x)^2 + (x - 60)^2$ 的值”.
【解决问题】
(1)若 $x$ 满足 $(30 - x)(x - 20) = -10$,求 $(30 - x)^2 + (x - 20)^2$ 的值.
(2)若 $x$ 满足 $(2023 - x)^2 + (2021 - x)^2 = 4040$,求 $(2023 - x)(2021 - x)$ 的值.
答案:
(1)$(30-x)^{2}+(x-20)^{2}+2(30-x)(x-20)=[(30-x)+(x-20)]^{2}=100$,
∴$(30-x)^{2}+(x-20)^{2}+2×(-10)=100$,
∴$(30-x)^{2}+(x-20)^{2}=120$.
(2)$(2023-x)^{2}+(2021-x)^{2}-2(2023-x)(2021-x)=[(2023-x)-(2021-x)]^{2}=4$,
∴$4040-2(2023-x)(2021-x)=4$,
∴$(2023-x)(2021-x)=2018$
(1)$(30-x)^{2}+(x-20)^{2}+2(30-x)(x-20)=[(30-x)+(x-20)]^{2}=100$,
∴$(30-x)^{2}+(x-20)^{2}+2×(-10)=100$,
∴$(30-x)^{2}+(x-20)^{2}=120$.
(2)$(2023-x)^{2}+(2021-x)^{2}-2(2023-x)(2021-x)=[(2023-x)-(2021-x)]^{2}=4$,
∴$4040-2(2023-x)(2021-x)=4$,
∴$(2023-x)(2021-x)=2018$
查看更多完整答案,请扫码查看