第133页
- 第1页
- 第2页
- 第3页
- 第4页
- 第5页
- 第6页
- 第7页
- 第8页
- 第9页
- 第10页
- 第11页
- 第12页
- 第13页
- 第14页
- 第15页
- 第16页
- 第17页
- 第18页
- 第19页
- 第20页
- 第21页
- 第22页
- 第23页
- 第24页
- 第25页
- 第26页
- 第27页
- 第28页
- 第29页
- 第30页
- 第31页
- 第32页
- 第33页
- 第34页
- 第35页
- 第36页
- 第37页
- 第38页
- 第39页
- 第40页
- 第41页
- 第42页
- 第43页
- 第44页
- 第45页
- 第46页
- 第47页
- 第48页
- 第49页
- 第50页
- 第51页
- 第52页
- 第53页
- 第54页
- 第55页
- 第56页
- 第57页
- 第58页
- 第59页
- 第60页
- 第61页
- 第62页
- 第63页
- 第64页
- 第65页
- 第66页
- 第67页
- 第68页
- 第69页
- 第70页
- 第71页
- 第72页
- 第73页
- 第74页
- 第75页
- 第76页
- 第77页
- 第78页
- 第79页
- 第80页
- 第81页
- 第82页
- 第83页
- 第84页
- 第85页
- 第86页
- 第87页
- 第88页
- 第89页
- 第90页
- 第91页
- 第92页
- 第93页
- 第94页
- 第95页
- 第96页
- 第97页
- 第98页
- 第99页
- 第100页
- 第101页
- 第102页
- 第103页
- 第104页
- 第105页
- 第106页
- 第107页
- 第108页
- 第109页
- 第110页
- 第111页
- 第112页
- 第113页
- 第114页
- 第115页
- 第116页
- 第117页
- 第118页
- 第119页
- 第120页
- 第121页
- 第122页
- 第123页
- 第124页
- 第125页
- 第126页
- 第127页
- 第128页
- 第129页
- 第130页
- 第131页
- 第132页
- 第133页
- 第134页
- 第135页
- 第136页
- 第137页
- 第138页
- 第139页
- 第140页
- 第141页
- 第142页
- 第143页
- 第144页
- 第145页
- 第146页
- 第147页
- 第148页
- 第149页
- 第150页
- 第151页
- 第152页
- 第153页
- 第154页
- 第155页
- 第156页
- 第157页
- 第158页
- 第159页
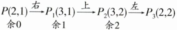
1. (2024·河北中考)平面直角坐标系中,我们把横、纵坐标都是整数,且横、纵坐标之和大于0的点称为“和点”.将某“和点”平移,每次平移的方向取决于该点横、纵坐标之和除以3所得的余数(当余数为0时,向右平移;当余数为1时,向上平移;当余数为2时,向左平移),每次平移1个单位长度.例:“和点”P(2,1)按上述规则连续平移3次后,到达点P_{3}(2,2),其平移过程如下:
若“和点”Q按上述规则连续平移16次后,到达点Q_{16}(-1,9),则点Q的坐标为 (
D
)A. (6,1)或(7,1) B. (15,-7)或(8,0) C. (6,0)或(8,0) D. (5,1)或(7,1)
答案:
1.D 【解析】根据已知:点P₃(2,2)横、纵坐标之和除以3所得的余数为1,继而向上平移1个单位长度得到P₄(2,3),此时横、纵坐标之和除以3所得的余数为2,继而向左平移1个单位长度得到P₅(1,3),此时横、纵坐标之和除以3所得的余数为1,又向上平移1个单位长度……,因此发现规律为若“和点”横、纵坐标之和除以3所得的余数为0时,先向右平移1个单位长度,再按照向上、向左、向上、向左不断重复的规律平移。若“和点”Q按上述规则连续平移16次后,到达点Q₁₆(-1,9),则按照“和点”Q₁₆反向运动16次即可,可以分为两种情况:①Q₁₆先向右平移1个单位长度得到Q₁₅(0,9),此时横、纵坐标之和除以3所得的余数为0,应该是Q₁₅向右平移1个单位长度得到Q₁₆,故矛盾,不成立;②Q₁₆先向下平移1个单位长度得到Q₁₅(-1,8),此时横、纵坐标之和除以3所得的余数为1,则应该向上平移1个单位长度得到Q₁₆,故符合题意。
∴点Q₁₆先向下平移,再向右平移,当平移到第15次时,共计向下平移了8次,向右平移了7次,此时坐标为(-1+7,9-8),即(6,1)。
∴最后一次若向右平移则为(7,1),若向左平移则为(5,1)。故选D。
∴点Q₁₆先向下平移,再向右平移,当平移到第15次时,共计向下平移了8次,向右平移了7次,此时坐标为(-1+7,9-8),即(6,1)。
∴最后一次若向右平移则为(7,1),若向左平移则为(5,1)。故选D。
2. (2024·武汉中考)如图,小好同学用计算机软件绘制函数$y= x^{3}-3x^{2}+3x-1$的图象,发现它关于点$(1,0)$中心对称.若点$A_{1}(0.1,y_{1}),A_{2}(0.2,y_{2}),A_{3}(0.3,y_{3}),…,A_{19}(1.9,y_{19}),A_{20}(2,y_{20})$都在函数图象上,这20个点的横坐标从0.1开始依次增加0.1,则$y_{1}+y_{2}+y_{3}+… +y_{19}+y_{20}$的值是 (
A.-1
B.-0.729
C.0
D.1
D
)A.-1
B.-0.729
C.0
D.1
答案:
2.D 【解析】由题知,点A₁₀的坐标为(1,0),则y₁₀=0。
∵函数图象关于点(1,0)中心对称,
∴y₉+y₁₁=y₈+y₁₂=…=y₁+y₁₉=0将x=2代入函数表达式得,y=2³ - 3×2² + 3×2 - 1 = 1,即y₂₀=1。
∴y₁+y₂+y₃+…+y₁₉+y₂₀的值为1。故选D。一题多解将x=0代入函数表达式得y = -1,记此点为A₀(0,-1),则y₀ = -1。结合上述过程可知,y₀+y₂₀=y₁+y₁₉=y₂+y₁₈=…=y₉+y₁₁=0,所以y₀+y₁+y₂+…+y₂₀=0,则y₁+y₂+…+y₂₀=y₀+y₁+y₂+…+y₂₀ - y₀=0 - (-1)=1。故选D。
∵函数图象关于点(1,0)中心对称,
∴y₉+y₁₁=y₈+y₁₂=…=y₁+y₁₉=0将x=2代入函数表达式得,y=2³ - 3×2² + 3×2 - 1 = 1,即y₂₀=1。
∴y₁+y₂+y₃+…+y₁₉+y₂₀的值为1。故选D。一题多解将x=0代入函数表达式得y = -1,记此点为A₀(0,-1),则y₀ = -1。结合上述过程可知,y₀+y₂₀=y₁+y₁₉=y₂+y₁₈=…=y₉+y₁₁=0,所以y₀+y₁+y₂+…+y₂₀=0,则y₁+y₂+…+y₂₀=y₀+y₁+y₂+…+y₂₀ - y₀=0 - (-1)=1。故选D。
3. 某校数学课外小组在坐标纸上为学校的一块空地设计的植树方案如下:第$k棵树种植在点P_{k}(x_{k},y_{k})$处,其中$x_{1}= 1,y_{1}= 1$,当$k\geqslant 2$时,$x_{k}= x_{k-1}+1-5\left(\left[\dfrac{k-1}{5}\right]-\left[\dfrac{k-2}{5}\right]\right),y_{k}= y_{k-1}+\left[\dfrac{k-1}{5}\right]-\left[\dfrac{k-2}{5}\right],[a]表示非负实数a$的整数部分,例如$[2.6]= 2,[0.2]= 0$.按此方案,第100棵树种植点的坐标为 (
A.$(1,100)$
B.$(5,99)$
C.$(1,20)$
D.$(5,20)$
D
)A.$(1,100)$
B.$(5,99)$
C.$(1,20)$
D.$(5,20)$
答案:
3.D 【解析】由题意和公式计算可得,xₖ分别为1,2,3,4,5,1,2,3,4,5,1,2,3,4,5,…,即xₖ以1~5为周期循环出现。同理可得yₖ分别为1,1,1,1,1,2,2,2,2,2,3,3,3,3,3,4,4,4,4,4,…,即yₖ中每5个数为一组,同一组内的5个数相同且等于组数。
∴第100棵树种植点的坐标为(5,20)。故选D。
∴第100棵树种植点的坐标为(5,20)。故选D。
4. 如图,直线$y= x+2与y轴相交于点A_{0}$,过点$A_{0}作x轴的平行线交直线y= 0.5x+1于点B_{1}$,过点$B_{1}作y轴的平行线交直线y= x+2于点A_{1}$,再过点$A_{1}作x轴的平行线交直线y= 0.5x+1于点B_{2}$,过点$B_{2}作y轴的平行线交直线y= x+2于点A_{2},…$,以此类推,得到直线$y= x+2上的点A_{1},A_{2},A_{3},…$,与直线$y= 0.5x+1上的点B_{1},B_{2},B_{3},…$,则$A_{7}B_{8}$的长为 (
A.64
B.128
C.256
D.512
C
)A.64
B.128
C.256
D.512
答案:
4.C 【解析】对于直线y = x + 2,令x = 0,求出y = 2,即A₀(0,2)。
∵A₀B₁//x轴,
∴B₁的纵坐标为2,将y = 2代入y = 0.5x + 1中,得x = 2,即B₁(2,2),
∴A₀B₁ = 2 = 2¹。
∵A₁B₁//y轴,
∴A₁的横坐标为2,将x = 2代入y = x + 2中,得y = 4,即A₁(2,4),
∴A₁与B₂的纵坐标为4,将y = 4代入y = 0.5x + 1中,得x = 6,即B₂(6,4),
∴A₁B₂ = 4 = 2²。依次可得A₂B₃ = 8 = 2³,…,同理Aₙ₋₁Bₙ = 2ⁿ,则A₇B₈的长为2⁸ = 256。故选C。
∵A₀B₁//x轴,
∴B₁的纵坐标为2,将y = 2代入y = 0.5x + 1中,得x = 2,即B₁(2,2),
∴A₀B₁ = 2 = 2¹。
∵A₁B₁//y轴,
∴A₁的横坐标为2,将x = 2代入y = x + 2中,得y = 4,即A₁(2,4),
∴A₁与B₂的纵坐标为4,将y = 4代入y = 0.5x + 1中,得x = 6,即B₂(6,4),
∴A₁B₂ = 4 = 2²。依次可得A₂B₃ = 8 = 2³,…,同理Aₙ₋₁Bₙ = 2ⁿ,则A₇B₈的长为2⁸ = 256。故选C。
查看更多完整答案,请扫码查看