第5页
- 第1页
- 第2页
- 第3页
- 第4页
- 第5页
- 第6页
- 第7页
- 第8页
- 第9页
- 第10页
- 第11页
- 第12页
- 第13页
- 第14页
- 第15页
- 第16页
- 第17页
- 第18页
- 第19页
- 第20页
- 第21页
- 第22页
- 第23页
- 第24页
- 第25页
- 第26页
- 第27页
- 第28页
- 第29页
- 第30页
- 第31页
- 第32页
- 第33页
- 第34页
- 第35页
- 第36页
- 第37页
- 第38页
- 第39页
- 第40页
- 第41页
- 第42页
- 第43页
- 第44页
- 第45页
- 第46页
- 第47页
- 第48页
- 第49页
- 第50页
- 第51页
- 第52页
- 第53页
- 第54页
- 第55页
- 第56页
- 第57页
- 第58页
- 第59页
- 第60页
- 第61页
- 第62页
- 第63页
- 第64页
- 第65页
- 第66页
- 第67页
- 第68页
- 第69页
- 第70页
- 第71页
- 第72页
- 第73页
- 第74页
知识清单
1. 平移及其性质
在平面内, 将一个图形沿某个
2. 用坐标表示平移
横坐标加上一个正数 (纵坐标不变), 点向
3. 平移作图的一般步骤: ① 确定平移方向和距离; ② 找出原图形的关键点; ③ 沿一定方向, 按一定距离 (或根据平移的性质) 通过截取线段的方法找到各个关键点的对应点; ④ 按原图的方法依次连接对应点; ⑤ 写出结论.
1. 平移及其性质
在平面内, 将一个图形沿某个
方向
移动一定的距离
, 这样的图形运动称为平移. 图形的平移是指图形整体的平移, 平移后的图形与原图形的形状和大小都没有改变
, 改变的是位置.2. 用坐标表示平移
横坐标加上一个正数 (纵坐标不变), 点向
右
平移; 横坐标减去一个正数 (纵坐标不变), 点向左
平移. 纵坐标加上一个正数 (横坐标不变), 点向上
平移; 纵坐标减去一个正数 (横坐标不变), 点向下
平移.3. 平移作图的一般步骤: ① 确定平移方向和距离; ② 找出原图形的关键点; ③ 沿一定方向, 按一定距离 (或根据平移的性质) 通过截取线段的方法找到各个关键点的对应点; ④ 按原图的方法依次连接对应点; ⑤ 写出结论.
答案:
1. 方向 距离 没有改变 2. 右 左 上 下
例1 如下图, 将等边 $ \triangle ABC $ 沿直线 $ BC $ 平移到 $ \triangle DEF $, 使点 $ E $ 与点 $ C $ 重合, 连接 $ BD $, 若 $ AB = 2 $, 则 $ BD $ 的长为 (

A.$ 2\sqrt{3} $
B.$ \sqrt{3} $
C.3
D.$ 2\sqrt{5} $
A
)A.$ 2\sqrt{3} $
B.$ \sqrt{3} $
C.3
D.$ 2\sqrt{5} $
答案:
A
例2 在平面直角坐标系中, 将点 $ P(3, 2) $ 向右平移 2 个单位长度, 再向下平移 2 个单位长度所得到的点坐标为 (
A.$ (1, 0) $
B.$ (1, 2) $
C.$ (5, 4) $
D.$ (5, 0) $
D
)A.$ (1, 0) $
B.$ (1, 2) $
C.$ (5, 4) $
D.$ (5, 0) $
答案:
D
1. 下列四个汽车标志图案中, 能用平移变换来分析其形成过程的是 (

C
)
答案:
C
2. 将一次函数 $ y = - 2x $ 的图象向下平移 6 个单位长度, 得到新的图象表达式为 (
A.$ y = - 8x $
B.$ y = 4x $
C.$ y = - 2x - 6 $
D.$ y = - 2x + 6 $
C
)A.$ y = - 8x $
B.$ y = 4x $
C.$ y = - 2x - 6 $
D.$ y = - 2x + 6 $
答案:
C
3. 将点 $ A(-1, 2) $ 向右平移 4 个单位长度, 再向下平移 3 个单位长度, 则平移后点的坐标是 (
A.$ (3, 1) $
B.$ (-3, -1) $
C.$ (3, -1) $
D.$ (-3, 1) $
C
)A.$ (3, 1) $
B.$ (-3, -1) $
C.$ (3, -1) $
D.$ (-3, 1) $
答案:
C
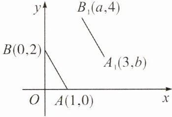
4. 如下图, $ A $, $ B $ 两点的坐标为 $ (1, 0) $, $ (0, 2) $, 若将线段 $ AB $ 平移至 $ A_{1}B_{1} $, 则 $ a - b = $____

0
.
答案:
0
5. 如上图, 将 $ \triangle ABE $ 向右平移 $ 2 \, \text{cm} $ 得到 $ \triangle DCF $, $ AE $, $ DC $ 交于点 $ G $. 若 $ \triangle ABE $ 的周长是 $ 16 \, \text{cm} $, 则 $ \triangle ADG $ 与 $ \triangle CEG $ 的周长之和是

16
$ \text{cm} $.
答案:
16
查看更多完整答案,请扫码查看