2025年赢在微点高中数学选择性必修第一册A版
注:目前有些书本章节名称可能整理的还不是很完善,但都是按照顺序排列的,请同学们按照顺序仔细查找。练习册 2025年赢在微点高中数学选择性必修第一册A版 答案主要是用来给同学们做完题方便对答案用的,请勿直接抄袭。
第42页
- 第2页
- 第3页
- 第4页
- 第5页
- 第6页
- 第7页
- 第8页
- 第9页
- 第10页
- 第11页
- 第12页
- 第13页
- 第14页
- 第15页
- 第16页
- 第17页
- 第18页
- 第19页
- 第20页
- 第21页
- 第22页
- 第23页
- 第24页
- 第25页
- 第26页
- 第27页
- 第28页
- 第29页
- 第30页
- 第31页
- 第32页
- 第33页
- 第34页
- 第35页
- 第36页
- 第37页
- 第38页
- 第39页
- 第40页
- 第41页
- 第42页
- 第43页
- 第44页
- 第45页
- 第46页
- 第47页
- 第48页
- 第49页
- 第50页
- 第51页
- 第52页
- 第53页
- 第54页
- 第55页
- 第56页
- 第57页
- 第58页
- 第59页
- 第60页
- 第61页
- 第62页
- 第63页
- 第64页
- 第65页
- 第66页
- 第67页
- 第68页
- 第69页
- 第70页
- 第71页
- 第72页
- 第73页
- 第74页
- 第75页
- 第76页
- 第77页
- 第78页
- 第79页
- 第80页
1.已知点$A(2,0)$,$B(3,3)$,直线$l// AB$,则直线$l$的斜率$k$等于( )
A.$-3$
B.3
C.$-\frac{1}{3}$
D.$\frac{1}{3}$
A.$-3$
B.3
C.$-\frac{1}{3}$
D.$\frac{1}{3}$
答案:
B 解析 因为$l// AB$,且直线$AB$的斜率$k = \frac{3 - 0}{3 - 2} = 3$,所以直线$l$的斜率$k = 3$。
2.若点$P(a,b)$与$Q(b - 1,a + 1)$关于直线$l$对称,则$l$的倾斜角为( )
A.$135^{\circ}$
B.$45^{\circ}$
C.$30^{\circ}$
D.$60^{\circ}$
A.$135^{\circ}$
B.$45^{\circ}$
C.$30^{\circ}$
D.$60^{\circ}$
答案:
B 解析 $k_{PQ} = \frac{a + 1 - b}{b - 1 - a} = -1$,$k_{PQ}·k_{l} = -1$,所以$l$的斜率为1,倾斜角为$45^{\circ}$。
3.已知点$A(2,3)$,$B(1,-1)$,$C(-1,-2)$,点$D$在$x$轴上,则当点$D$坐标为________时,$AB\perp CD$。
答案:
$(-9,0)$ 解析 设点$D(x,0)$,因为$k_{AB} = \frac{-1 - 3}{1 - 2} = 4 \neq 0$,所以直线$CD$的斜率存在。则由$AB\perp CD$,知$k_{AB}·k_{CD} = -1$,所以$4·\frac{-2 - 0}{-1 - x} = -1$,解得$x = -9$。
4.直线$l$的倾斜角为$30^{\circ}$,点$P(2,1)$在直线$l$上,直线$l$绕点$P(2,1)$按逆时针方向旋转$30^{\circ}$后到达直线$l_1$的位置,若直线$l_1$与$l_2$平行,且$l_2$是线段$AB$的垂直平分线,其中$A(1,m - 1)$,$B(m,2)$,则实数$m$的值是________。
答案:
$4 + \sqrt{3}$ 解析 由题意知直线$l_1$的倾斜角为$30^{\circ} + 30^{\circ} = 60^{\circ}$,所以直线$l_1$的斜率$k_1 = \tan 60^{\circ} = \sqrt{3}$。当$m = 1$时,直线$AB$的斜率不存在,此时$l_2$的斜率为0,不满足$l_1// l_2$。当$m = 3$时,直线$AB$的斜率为0,此时$l_2$的斜率不存在,不满足$l_1// l_2$。当$m\neq1$且$m\neq3$时,直线$AB$的斜率为$\frac{m - 1 - 2}{1 - m} = \frac{m - 3}{1 - m}$,所以线段$AB$的垂直平分线$l_2$的斜率$k_2 = \frac{m - 1}{m - 3}$。因为$l_1// l_2$,所以$k_1 = k_2$,即$\sqrt{3} = \frac{m - 1}{m - 3}$,解得$m = 4 + \sqrt{3}$。
5.已知四边形$MNPQ$的顶点$M(1,1)$,$N(3,-1)$,$P(4,0)$,$Q(2,2)$,求证:四边形$MNPQ$为矩形。
答案:
证明 因为$k_{MN} = \frac{1 + 1}{1 - 3} = -1$,$k_{PQ} = \frac{2 - 0}{2 - 4} = -1$,所以$MN// PQ$。又因为$k_{MQ} = \frac{2 - 1}{2 - 1} = 1$,$k_{NP} = \frac{0 + 1}{4 - 3} = 1$,所以$MQ// NP$,所以四边形$MNPQ$为平行四边形。又$k_{MN}·k_{MQ} = -1$,所以$MN\perp MQ$,所以四边形$MNPQ$为矩形。
1. 直线的点斜式方程
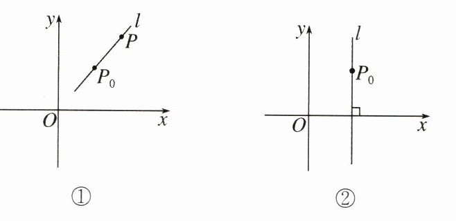
(1)定义:如图①所示,直线 $l$ 经过点 $P_0(x_0,y_0)$,且斜率为 $k$,则方程_______________叫做直线 $l$ 的点斜式方程,简称点斜式。
(2)如图②所示,过点 $P_0(x_0,y_0)$,倾斜角是 $90^{\circ}$的直线没有点斜式,其方程是 $x - x_0 = 0$,即______

(1)定义:如图①所示,直线 $l$ 经过点 $P_0(x_0,y_0)$,且斜率为 $k$,则方程_______________叫做直线 $l$ 的点斜式方程,简称点斜式。
(2)如图②所示,过点 $P_0(x_0,y_0)$,倾斜角是 $90^{\circ}$的直线没有点斜式,其方程是 $x - x_0 = 0$,即______
答案:
$y - y_0 = k(x - x_0)$@@$x = x_0$@@
2. 直线的斜截式方程
定义:如图所示,直线 $l$ 的斜率为 $k$,且与 $y$ 轴的交点为 $P_0(0,b)$,其中纵坐标 $b$ 叫做直线 $l$ 在 $y$ 轴上的______。则方程______叫做直线 $l$ 的斜截式方程,简称斜截式。

当倾斜角是______的直线没有斜截式方程。
定义:如图所示,直线 $l$ 的斜率为 $k$,且与 $y$ 轴的交点为 $P_0(0,b)$,其中纵坐标 $b$ 叫做直线 $l$ 在 $y$ 轴上的______。则方程______叫做直线 $l$ 的斜截式方程,简称斜截式。
当倾斜角是______的直线没有斜截式方程。
答案:
截距@@$y = kx + b$@@直角@@
微思考
1. 直线的点斜式方程能表示坐标平面上的所有直线呢?
2. 直线在 $y$ 轴上的截距和直线与 $y$ 轴交点到原点的距离是一回事吗?
1. 直线的点斜式方程能表示坐标平面上的所有直线呢?
2. 直线在 $y$ 轴上的截距和直线与 $y$ 轴交点到原点的距离是一回事吗?
答案:
提示:不能。有斜率的直线才能写成点斜式方程,凡是垂直于 $x$ 轴的直线,其方程都不能用点斜式表示。@@提示:不是,直线在 $y$ 轴上的截距是它与 $y$ 轴交点的纵坐标,截距是一个实数,可正、可负、可为0。当截距非负时,它等于直线与 $y$ 轴交点到原点的距离;当截距为负时,它等于直线与 $y$ 轴交点到原点距离的相反数。
查看更多完整答案,请扫码查看