2025年天利38套五年真题高考试题分类化学
注:目前有些书本章节名称可能整理的还不是很完善,但都是按照顺序排列的,请同学们按照顺序仔细查找。练习册 2025年天利38套五年真题高考试题分类化学 答案主要是用来给同学们做完题方便对答案用的,请勿直接抄袭。
第127页
- 第1页
- 第2页
- 第3页
- 第4页
- 第5页
- 第6页
- 第7页
- 第8页
- 第9页
- 第10页
- 第11页
- 第12页
- 第13页
- 第14页
- 第15页
- 第16页
- 第17页
- 第18页
- 第19页
- 第20页
- 第21页
- 第22页
- 第23页
- 第24页
- 第25页
- 第26页
- 第27页
- 第28页
- 第29页
- 第30页
- 第31页
- 第32页
- 第33页
- 第34页
- 第35页
- 第36页
- 第37页
- 第38页
- 第39页
- 第40页
- 第41页
- 第42页
- 第43页
- 第44页
- 第45页
- 第46页
- 第47页
- 第48页
- 第49页
- 第50页
- 第51页
- 第52页
- 第53页
- 第54页
- 第55页
- 第56页
- 第57页
- 第58页
- 第59页
- 第60页
- 第61页
- 第62页
- 第63页
- 第64页
- 第65页
- 第66页
- 第67页
- 第68页
- 第69页
- 第70页
- 第71页
- 第72页
- 第73页
- 第74页
- 第75页
- 第76页
- 第77页
- 第78页
- 第79页
- 第80页
- 第81页
- 第82页
- 第83页
- 第84页
- 第85页
- 第86页
- 第87页
- 第88页
- 第89页
- 第90页
- 第91页
- 第92页
- 第93页
- 第94页
- 第95页
- 第96页
- 第97页
- 第98页
- 第99页
- 第100页
- 第101页
- 第102页
- 第103页
- 第104页
- 第105页
- 第106页
- 第107页
- 第108页
- 第109页
- 第110页
- 第111页
- 第112页
- 第113页
- 第114页
- 第115页
- 第116页
- 第117页
- 第118页
- 第119页
- 第120页
- 第121页
- 第122页
- 第123页
- 第124页
- 第125页
- 第126页
- 第127页
- 第128页
- 第129页
- 第130页
- 第131页
- 第132页
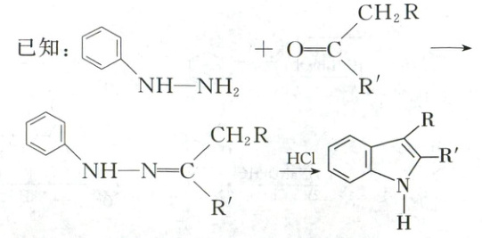
4. (2024·6月浙江卷,12分)某研究小组按下列路线合成抗炎镇痛药“消炎痛”。(部分反应条件已简化)


请回答:
(1)化合物$\boldsymbol{{F}}$的官能团名称是_______。
(2)化合物$\boldsymbol{{G}}$的结构简式是_______。
(3)下列说法不正确的是_______。
A. 化合物${A}$的碱性弱于
B. ${A + B\rightarrow C}$的反应涉及加成反应和消去反应
C. ${D\rightarrow E}$的反应中,试剂可用${Cl_{2}/FeCl_{3}}$
D. “消炎痛”的分子式为${C_{18}H_{16}ClNO_{4}}$
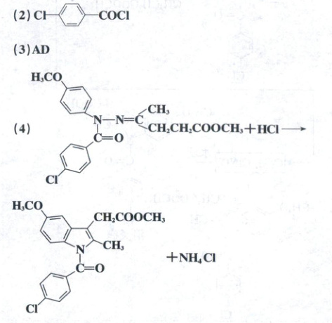
(4)写出$\boldsymbol{{H\rightarrow I}}$的化学方程式_______。
(5)吲哚-2-甲酸
是一种医药中间体,设计以
和${CH_{3}CHO}$为原料合成吲哚-2-甲酸的路线_______(用流程图表示,无机试剂任选)。
(6)写出4种同时符合下列条件的化合物$\boldsymbol{{B}}$的同分异构体的结构简式_______。
①分子中有2种不同化学环境的氢原子;
②有甲氧基(${—OCH_{3}}$),无三元环。
请回答:
(1)化合物$\boldsymbol{{F}}$的官能团名称是_______。
(2)化合物$\boldsymbol{{G}}$的结构简式是_______。
(3)下列说法不正确的是_______。
A. 化合物${A}$的碱性弱于
B. ${A + B\rightarrow C}$的反应涉及加成反应和消去反应
C. ${D\rightarrow E}$的反应中,试剂可用${Cl_{2}/FeCl_{3}}$
D. “消炎痛”的分子式为${C_{18}H_{16}ClNO_{4}}$
(4)写出$\boldsymbol{{H\rightarrow I}}$的化学方程式_______。
(5)吲哚-2-甲酸
(6)写出4种同时符合下列条件的化合物$\boldsymbol{{B}}$的同分异构体的结构简式_______。
①分子中有2种不同化学环境的氢原子;
②有甲氧基(${—OCH_{3}}$),无三元环。
答案:
4.(12分)
(1)羧基、碳氯键(或氯原子)


4.(12分)
(1)羧基、碳氯键(或氯原子)
查看更多完整答案,请扫码查看