2025年天利38套五年真题高考试题分类化学
注:目前有些书本章节名称可能整理的还不是很完善,但都是按照顺序排列的,请同学们按照顺序仔细查找。练习册 2025年天利38套五年真题高考试题分类化学 答案主要是用来给同学们做完题方便对答案用的,请勿直接抄袭。
第114页
- 第1页
- 第2页
- 第3页
- 第4页
- 第5页
- 第6页
- 第7页
- 第8页
- 第9页
- 第10页
- 第11页
- 第12页
- 第13页
- 第14页
- 第15页
- 第16页
- 第17页
- 第18页
- 第19页
- 第20页
- 第21页
- 第22页
- 第23页
- 第24页
- 第25页
- 第26页
- 第27页
- 第28页
- 第29页
- 第30页
- 第31页
- 第32页
- 第33页
- 第34页
- 第35页
- 第36页
- 第37页
- 第38页
- 第39页
- 第40页
- 第41页
- 第42页
- 第43页
- 第44页
- 第45页
- 第46页
- 第47页
- 第48页
- 第49页
- 第50页
- 第51页
- 第52页
- 第53页
- 第54页
- 第55页
- 第56页
- 第57页
- 第58页
- 第59页
- 第60页
- 第61页
- 第62页
- 第63页
- 第64页
- 第65页
- 第66页
- 第67页
- 第68页
- 第69页
- 第70页
- 第71页
- 第72页
- 第73页
- 第74页
- 第75页
- 第76页
- 第77页
- 第78页
- 第79页
- 第80页
- 第81页
- 第82页
- 第83页
- 第84页
- 第85页
- 第86页
- 第87页
- 第88页
- 第89页
- 第90页
- 第91页
- 第92页
- 第93页
- 第94页
- 第95页
- 第96页
- 第97页
- 第98页
- 第99页
- 第100页
- 第101页
- 第102页
- 第103页
- 第104页
- 第105页
- 第106页
- 第107页
- 第108页
- 第109页
- 第110页
- 第111页
- 第112页
- 第113页
- 第114页
- 第115页
- 第116页
- 第117页
- 第118页
- 第119页
- 第120页
- 第121页
- 第122页
- 第123页
- 第124页
- 第125页
- 第126页
- 第127页
- 第128页
- 第129页
- 第130页
- 第131页
- 第132页
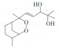
7. (2024·湖北卷,3分)鹰爪甲素(如图)可从治疗疟疾的有效药物鹰爪根中分离得到。下列说法错误的是(

A.有5个手性碳
B.在$ 120° C $条件下干燥样品
C.同分异构体的结构中不可能含有苯环
D.红外光谱中出现了$ 3000 \, cm^{-1} $以上的吸收峰
B
)A.有5个手性碳
B.在$ 120° C $条件下干燥样品
C.同分异构体的结构中不可能含有苯环
D.红外光谱中出现了$ 3000 \, cm^{-1} $以上的吸收峰
答案:
7.B 有机物的结构和性质 分子中含有5个手性碳:A正确;分子中含有过氧键,受热不稳定,不能在120℃下干燥,B错误;该分子结构具有3个不饱和度,若要形成1个苯环至少需要4个不饱和度,因此不存在含有苯环的同分异构体,C正确;该分子含有多个官能团,在红外光谱中会出现特征吸收峰,其中—OH吸收峰在3000$\mathrm{cm^{-1}}$以上,D正确。
8. (2024·河北卷,3分)化合物X是由细菌与真菌共培养得到的一种天然产物,结构简式如图。下列相关表述错误的是(

A.可与$ Br_2 $发生加成反应和取代反应
B.可与$ FeCl_3 $溶液发生显色反应
C.含有4种含氧官能团
D.存在顺反异构
D
)A.可与$ Br_2 $发生加成反应和取代反应
B.可与$ FeCl_3 $溶液发生显色反应
C.含有4种含氧官能团
D.存在顺反异构
答案:
8.D 多官能团有机物的性质、顺反异构 化合物X含碳碳双键,可与$\mathrm{Br_2}$发生加成反应,酚羟基邻位碳上有氢,可与$\mathrm{Br_2}$发生取代反应,A正确;X中含酚羟基,可与$\mathrm{FeCl_3}$溶液发生显色反应,B正确;X中含有羟基、醛基、羰基、醚键4种含氧官能团,C正确;X中只含1个碳碳双键,且双键一侧碳原子上连有两个相同的甲基,故不存在顺反异构,D错误。
9. (2023·辽宁卷,3分)在光照下,螺吡喃发生开、闭环转换而变色,过程如下。下列关于开、闭环螺吡喃说法正确的是(

A.均有手性
B.互为同分异构体
C.N原子杂化方式相同
D.闭环螺吡喃亲水性更好
B
)A.均有手性
B.互为同分异构体
C.N原子杂化方式相同
D.闭环螺吡喃亲水性更好
答案:
9.B 有机化合物的结构与性质 如图所示,闭环螺吡喃含有1个手性碳原子
(标“*”的为手性碳原子),而开环螺吡喃不含有手性碳原子,A错误;闭环螺吡喃与开环螺吡喃的分子式相同而结构不同,互为同分异构体,B正确;闭环螺吡喃中N原子采用$\mathrm{sp^3}$杂化,开环螺吡喃中N原子采用$\mathrm{sp^2}$杂化,C错误;开环螺吡喃中N和O分别带有正电荷和负电荷,亲水性强于闭环螺吡喃,D错误。
9.B 有机化合物的结构与性质 如图所示,闭环螺吡喃含有1个手性碳原子
(标“*”的为手性碳原子),而开环螺吡喃不含有手性碳原子,A错误;闭环螺吡喃与开环螺吡喃的分子式相同而结构不同,互为同分异构体,B正确;闭环螺吡喃中N原子采用$\mathrm{sp^3}$杂化,开环螺吡喃中N原子采用$\mathrm{sp^2}$杂化,C错误;开环螺吡喃中N和O分别带有正电荷和负电荷,亲水性强于闭环螺吡喃,D错误。
10. (2023·山东卷,2分)抗生素克拉维酸的结构简式如图所示,下列关于克拉维酸的说法错误的是(

A.存在顺反异构
B.含有5种官能团
C.可形成分子内氢键和分子间氢键
D.1 mol该物质最多可与1 mol $ NaOH $反应
D
)A.存在顺反异构
B.含有5种官能团
C.可形成分子内氢键和分子间氢键
D.1 mol该物质最多可与1 mol $ NaOH $反应
答案:
10.D 有机化合物的结构与性质 克拉维酸形成碳碳双键的两个碳原子连接的4个基团均不相同,存在顺反异构,A正确;克拉维酸分子中存在碳碳双键、羧基、羟基、酰胺基和醚键共5种官能团,B正确;克拉维酸分子中存在羧基和羟基等结构,且两者距离比较近,可形成分子内氢键和分子间氢键,C正确;克拉维酸中羧基和酰胺基能与$\mathrm{NaOH}$溶液发生反应,1mol克拉维酸最多可与2mol$\mathrm{NaOH}$发生反应,D错误。
11. (2023·海南卷,4分,不定项)闭花耳草是海南传统药材,具有消炎功效。车叶草苷酸是其活性成分之一,结构简式如图所示。下列关于车叶草苷酸的说法正确的是(

A.分子中含有平面环状结构
B.分子中含有5个手性碳原子
C.其钠盐在水中的溶解度小于在甲苯中的溶解度
D.其在弱碱性介质中可与某些过渡金属离子形成配合物
D
)A.分子中含有平面环状结构
B.分子中含有5个手性碳原子
C.其钠盐在水中的溶解度小于在甲苯中的溶解度
D.其在弱碱性介质中可与某些过渡金属离子形成配合物
答案:
11.D 有机物的结构与性质 环状结构中的饱和碳原子为四面体结构,所以该分子中一定不含有平面环状结构,故A错误;分子中含有手性碳原子如图标“*”所示:
,共9个,故B错误;其钠盐是离子化合物,在水中的溶解度大于在甲苯中的溶解度,故C错误;羟基、羧基、酯基中氧原子含有孤对电子,在弱碱性介质中可与某些过渡金属离子形成配合物,故D正确。
11.D 有机物的结构与性质 环状结构中的饱和碳原子为四面体结构,所以该分子中一定不含有平面环状结构,故A错误;分子中含有手性碳原子如图标“*”所示:
,共9个,故B错误;其钠盐是离子化合物,在水中的溶解度大于在甲苯中的溶解度,故C错误;羟基、羧基、酯基中氧原子含有孤对电子,在弱碱性介质中可与某些过渡金属离子形成配合物,故D正确。
12. (2022·北京卷,3分)我国科学家提出的聚集诱导发光机制已成为研究热点之一。一种具有聚集诱导发光性能的物质,其分子结构如图所示。下列说法不正确的是(

A.分子中N原子有$ sp^2 $、$ sp^3 $两种杂化方式
B.分子中含有手性碳原子
C.该物质既有酸性又有碱性
D.该物质可发生取代反应、加成反应
B
)A.分子中N原子有$ sp^2 $、$ sp^3 $两种杂化方式
B.分子中含有手性碳原子
C.该物质既有酸性又有碱性
D.该物质可发生取代反应、加成反应
答案:
12.B 有机物的结构与性质 单键氮原子杂化方式为$\mathrm{sp^3}$、双键氮原子杂化方式为$\mathrm{sp^2}$,A不符合题意;分子中没有连有四个不同的原子或基团的碳原子,所以没有手性碳原子,B符合题意;分子中含有羧基具有酸性、分子中含有的次氨基具有碱性,C不符合题意;羧基能发生取代反应、苯环能发生加成反应,D不符合题意。
查看更多完整答案,请扫码查看