2025年天利38套五年真题高考试题分类化学
注:目前有些书本章节名称可能整理的还不是很完善,但都是按照顺序排列的,请同学们按照顺序仔细查找。练习册 2025年天利38套五年真题高考试题分类化学 答案主要是用来给同学们做完题方便对答案用的,请勿直接抄袭。
第122页
- 第1页
- 第2页
- 第3页
- 第4页
- 第5页
- 第6页
- 第7页
- 第8页
- 第9页
- 第10页
- 第11页
- 第12页
- 第13页
- 第14页
- 第15页
- 第16页
- 第17页
- 第18页
- 第19页
- 第20页
- 第21页
- 第22页
- 第23页
- 第24页
- 第25页
- 第26页
- 第27页
- 第28页
- 第29页
- 第30页
- 第31页
- 第32页
- 第33页
- 第34页
- 第35页
- 第36页
- 第37页
- 第38页
- 第39页
- 第40页
- 第41页
- 第42页
- 第43页
- 第44页
- 第45页
- 第46页
- 第47页
- 第48页
- 第49页
- 第50页
- 第51页
- 第52页
- 第53页
- 第54页
- 第55页
- 第56页
- 第57页
- 第58页
- 第59页
- 第60页
- 第61页
- 第62页
- 第63页
- 第64页
- 第65页
- 第66页
- 第67页
- 第68页
- 第69页
- 第70页
- 第71页
- 第72页
- 第73页
- 第74页
- 第75页
- 第76页
- 第77页
- 第78页
- 第79页
- 第80页
- 第81页
- 第82页
- 第83页
- 第84页
- 第85页
- 第86页
- 第87页
- 第88页
- 第89页
- 第90页
- 第91页
- 第92页
- 第93页
- 第94页
- 第95页
- 第96页
- 第97页
- 第98页
- 第99页
- 第100页
- 第101页
- 第102页
- 第103页
- 第104页
- 第105页
- 第106页
- 第107页
- 第108页
- 第109页
- 第110页
- 第111页
- 第112页
- 第113页
- 第114页
- 第115页
- 第116页
- 第117页
- 第118页
- 第119页
- 第120页
- 第121页
- 第122页
- 第123页
- 第124页
- 第125页
- 第126页
- 第127页
- 第128页
- 第129页
- 第130页
- 第131页
- 第132页
1. (2025·北京卷,3分)下列说法不正确的是 (
A.糖类、蛋白质和油脂均为天然高分子
B.蔗糖发生水解反应所得产物互为同分异构体
C.蛋白质在酶的作用下水解可得到氨基酸
D.不饱和液态植物油通过催化加氢可提高饱和度
A
)A.糖类、蛋白质和油脂均为天然高分子
B.蔗糖发生水解反应所得产物互为同分异构体
C.蛋白质在酶的作用下水解可得到氨基酸
D.不饱和液态植物油通过催化加氢可提高饱和度
答案:
1.A 化学与生活 油脂为小分子化合物,糖类中的单糖、寡糖等也为小分子化合物,A错误。
2. (2025·河北卷,3分)高分子材料在生产、生活中得到广泛应用。下列说法错误的是 (
A.ABS高韧性工程塑料用于制造汽车零配件
B.聚氯乙烯微孔薄膜用于制造饮用水分离膜
C.聚苯乙烯泡沫用于制造建筑工程保温材料
D.热固性酚醛树脂用于制造集成电路的底板
B
)A.ABS高韧性工程塑料用于制造汽车零配件
B.聚氯乙烯微孔薄膜用于制造饮用水分离膜
C.聚苯乙烯泡沫用于制造建筑工程保温材料
D.热固性酚醛树脂用于制造集成电路的底板
答案:
2.B 高分子材料 聚氯乙烯材料中的某些增塑剂有一定毒性,不可用作饮用水分离膜,B项错误。
3. (2025·北京卷,3分)一种生物基可降解高分子P合成路线如下。

下列说法正确的是 (
A.反应物A中有手性碳原子
B.反应物A与B的化学计量比是$1:2$
C.反应物D与E生成P的反应类型为加聚反应
D.高分子P可降解是由于${C-O}$键断裂
下列说法正确的是 (
A
)A.反应物A中有手性碳原子
B.反应物A与B的化学计量比是$1:2$
C.反应物D与E生成P的反应类型为加聚反应
D.高分子P可降解是由于${C-O}$键断裂
答案:
3.A 高分子材料 反应物A的结构可能是
二者均含有手性碳原子(标*的为碳原子),A正确;A与B的化学计量比是2:1,B错误;D与E生成P的反应中脱去了水分子,属于缩聚反应,C错误;P可降解是由于酰胺基中的C—N键断裂,D错误。
方法点拨
可降解的高分子通常含有能水解的官能团,如酯基、酰胺基 ,通过这些官能团水解使高分子降解为小分子。
3.A 高分子材料 反应物A的结构可能是
方法点拨
可降解的高分子通常含有能水解的官能团,如酯基、酰胺基 ,通过这些官能团水解使高分子降解为小分子。
4. (2025·辽吉黑内蒙古卷,3分)一种强力胶的黏合原理如下图所示。下列说法正确的是 (

A.Ⅰ有2种官能团
B.Ⅱ可遇水溶解使黏合物分离
C.常温下Ⅱ为固态
D.该反应为缩聚反应
C
)A.Ⅰ有2种官能团
B.Ⅱ可遇水溶解使黏合物分离
C.常温下Ⅱ为固态
D.该反应为缩聚反应
答案:
4.C 有机物的结构与性质 I中含有碳碳双键、氰基、酯基共3种官能团,A错误;II不溶于水,B错误;常温下Ⅱ为固态,C正确;该反应为加聚反应,D错误。
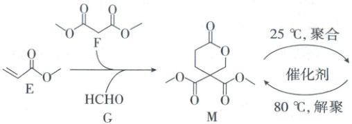
5. (2025·河南卷,3分)可持续高分子材料在纺织、生物医用等领域具有广阔的应用前景。一种在温和条件下制备高性能可持续聚酯P的路线如图所示。


下列说法错误的是 (
A.E能使溴的四氯化碳溶液褪色
B.由E、F和G合成M时,有${HCOOH}$生成
C.P在碱性条件下能够发生水解反应而降解
D.P解聚生成M的过程中,存在${C-O}$键的断裂与形成
下列说法错误的是 (
B
)A.E能使溴的四氯化碳溶液褪色
B.由E、F和G合成M时,有${HCOOH}$生成
C.P在碱性条件下能够发生水解反应而降解
D.P解聚生成M的过程中,存在${C-O}$键的断裂与形成
答案:
5.B 高分子材料 E中含有碳碳双键,可使溴的四氯化碳溶液褪色,A正确;E、F、G合成M的过程中会生成甲醇而不是甲酸,B错误;P的链节中含有酯基,碱性条件下能发生水解反应而降解,C正确;P解聚生成M的过程中,主链上断开C—O键,成环形成C—O键,D正确。
6. (2024·1月浙江卷,3分)根据材料的组成和结构变化可推测其性能变化,下列推测不合理的是 (

D
)
答案:
6.D 物质的结构与性质、有机高分子 较低的碳含量赋予材料更好的延展性和可塑性,A正确;晶体硅是半导体,若用碳原子取代部分硅原子,部分Si—Si变成C—Si,键长减小,键能增大,材料的硬度会提高,但导电性不会增加,B错误;纤维素接上带有强亲水基团的支链,可以提高吸水能力,C正确;在橡胶中加入硫化剂和促进剂等交联助剂,使线型结构转变为网状结构,网状结构相对线型结构具有更大的强度,D正确。
7. (2024·海南卷,2分)高分子物质与我们生活息息相关。下列说法错误的是 (
A.糖原(成分类似于淀粉)可转化为葡萄糖
B.聚合物${[CH_{2}-CH_{2}]_{n}}$是${H_{2}C=CH_{2}}$的加聚物
C.畜禽毛羽(主要成分为角蛋白)完全水解可以得到氨基酸
D.聚合物${HO[CO(CH_{2})_{4}COOCH_{2}CH_{2}O]_{n}H}$的单体是${HOOC(CH_{2})_{4}COOH}$和${CH_{3}CH_{2}OH}$
D
)A.糖原(成分类似于淀粉)可转化为葡萄糖
B.聚合物${[CH_{2}-CH_{2}]_{n}}$是${H_{2}C=CH_{2}}$的加聚物
C.畜禽毛羽(主要成分为角蛋白)完全水解可以得到氨基酸
D.聚合物${HO[CO(CH_{2})_{4}COOCH_{2}CH_{2}O]_{n}H}$的单体是${HOOC(CH_{2})_{4}COOH}$和${CH_{3}CH_{2}OH}$
答案:
7.D 高分子化合物 聚合物HO[CO(CH₂)₄COOCH₂CH₂O]ₙH的单体是HOOC(CH₂)₄COOH和HOCH₂CH₂OH,D项错误。
查看更多完整答案,请扫码查看