2025年天利38套五年真题高考试题分类化学
注:目前有些书本章节名称可能整理的还不是很完善,但都是按照顺序排列的,请同学们按照顺序仔细查找。练习册 2025年天利38套五年真题高考试题分类化学 答案主要是用来给同学们做完题方便对答案用的,请勿直接抄袭。
第125页
- 第1页
- 第2页
- 第3页
- 第4页
- 第5页
- 第6页
- 第7页
- 第8页
- 第9页
- 第10页
- 第11页
- 第12页
- 第13页
- 第14页
- 第15页
- 第16页
- 第17页
- 第18页
- 第19页
- 第20页
- 第21页
- 第22页
- 第23页
- 第24页
- 第25页
- 第26页
- 第27页
- 第28页
- 第29页
- 第30页
- 第31页
- 第32页
- 第33页
- 第34页
- 第35页
- 第36页
- 第37页
- 第38页
- 第39页
- 第40页
- 第41页
- 第42页
- 第43页
- 第44页
- 第45页
- 第46页
- 第47页
- 第48页
- 第49页
- 第50页
- 第51页
- 第52页
- 第53页
- 第54页
- 第55页
- 第56页
- 第57页
- 第58页
- 第59页
- 第60页
- 第61页
- 第62页
- 第63页
- 第64页
- 第65页
- 第66页
- 第67页
- 第68页
- 第69页
- 第70页
- 第71页
- 第72页
- 第73页
- 第74页
- 第75页
- 第76页
- 第77页
- 第78页
- 第79页
- 第80页
- 第81页
- 第82页
- 第83页
- 第84页
- 第85页
- 第86页
- 第87页
- 第88页
- 第89页
- 第90页
- 第91页
- 第92页
- 第93页
- 第94页
- 第95页
- 第96页
- 第97页
- 第98页
- 第99页
- 第100页
- 第101页
- 第102页
- 第103页
- 第104页
- 第105页
- 第106页
- 第107页
- 第108页
- 第109页
- 第110页
- 第111页
- 第112页
- 第113页
- 第114页
- 第115页
- 第116页
- 第117页
- 第118页
- 第119页
- 第120页
- 第121页
- 第122页
- 第123页
- 第124页
- 第125页
- 第126页
- 第127页
- 第128页
- 第129页
- 第130页
- 第131页
- 第132页
1. (2025·辽吉黑内蒙古卷,14分)含呋喃骨架的芳香化合物在环境化学和材料化学领域具有重要价值。一种含呋喃骨架的芳香化合物合成路线如下:

回答下列问题:
(1)$\boldsymbol{{A\rightarrow B}}$的化学方程式为。
(2)$\boldsymbol{{C\rightarrow D}}$实现了由种。
(5)$\boldsymbol{{M\rightarrow N}}$的三键加成反应中,若参与成键的苯环及苯环的反应位置不变,则生成的与$\boldsymbol{{N}}$互为同分异构体的副产物结构简式为
。
(6)参考上述路线,设计如下转化。$\boldsymbol{{X}}$和$\boldsymbol{{Y}}$的结构简式分别为$O$和$Br$。

回答下列问题:
(1)$\boldsymbol{{A\rightarrow B}}$的化学方程式为。
(2)$\boldsymbol{{C\rightarrow D}}$实现了由种。
(5)$\boldsymbol{{M\rightarrow N}}$的三键加成反应中,若参与成键的苯环及苯环的反应位置不变,则生成的与$\boldsymbol{{N}}$互为同分异构体的副产物结构简式为
(6)参考上述路线,设计如下转化。$\boldsymbol{{X}}$和$\boldsymbol{{Y}}$的结构简式分别为$O$和$Br$。
答案:
1.(14分)
(1)
(2)羟基 醛基
(3)取代反应
(4)4
(5)
(6)
1.(14分)
(1)
(2)羟基 醛基
(3)取代反应
(4)4
(5)
(6)
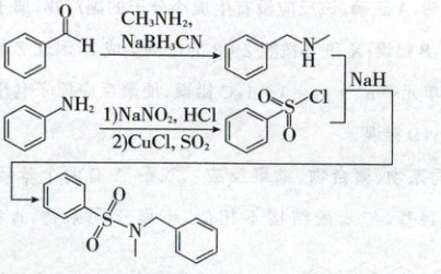
2. (2025·陕晋青宁卷,14分)我国某公司研发的治疗消化系统疾病的新药凯普拉生(化合物$\boldsymbol{{H}}$),合成路线如下(部分试剂、反应条件省略)。
已知:${\xlongequal[{\space\space}]{NH_{2}}\space \xrightarrow[{\space\space}]{NaNO_{2},HCl}\space \xlongequal[{\space\space}]{N_{2}Cl}}$。
回答下列问题:
(1)$\boldsymbol{{A}}$中官能团的名称是_______、_______。
(2)$\boldsymbol{{B}}$的结构简式为_______。
(3)由$\boldsymbol{{C}}$转变为$\boldsymbol{{D}}$的反应类型是_______。
(4)同时满足下列条件的$\boldsymbol{{B}}$的同分异构体有_______种(不考虑立体异构)。
①含有两个甲基;
②与钠反应产生氢气。
(5)由$\boldsymbol{{D}}$转变为$\boldsymbol{{E}}$的过程中经历了两步反应,第一步反应的化学方程式是_______(要求配平)。
(6)下列关于$\boldsymbol{{F}}$说法正确的有_______。
A. ${F}$能发生银镜反应
B. ${F}$不可能存在分子内氢键
C. 以上路线中${E + F\rightarrow G}$的反应产生了氢气
D. 已知醛基吸引电子能力较强,与
相比${F}$的${N—H}$键极性更小
(7)结合合成$\boldsymbol{{H}}$的相关信息,以
和含一个碳原子的有机物(无机试剂任选)为原料,设计化合物
的合成路线:_______。

已知:${\xlongequal[{\space\space}]{NH_{2}}\space \xrightarrow[{\space\space}]{NaNO_{2},HCl}\space \xlongequal[{\space\space}]{N_{2}Cl}}$。
回答下列问题:
(1)$\boldsymbol{{A}}$中官能团的名称是_______、_______。
(2)$\boldsymbol{{B}}$的结构简式为_______。
(3)由$\boldsymbol{{C}}$转变为$\boldsymbol{{D}}$的反应类型是_______。
(4)同时满足下列条件的$\boldsymbol{{B}}$的同分异构体有_______种(不考虑立体异构)。
①含有两个甲基;
②与钠反应产生氢气。
(5)由$\boldsymbol{{D}}$转变为$\boldsymbol{{E}}$的过程中经历了两步反应,第一步反应的化学方程式是_______(要求配平)。
(6)下列关于$\boldsymbol{{F}}$说法正确的有_______。
A. ${F}$能发生银镜反应
B. ${F}$不可能存在分子内氢键
C. 以上路线中${E + F\rightarrow G}$的反应产生了氢气
D. 已知醛基吸引电子能力较强,与
(7)结合合成$\boldsymbol{{H}}$的相关信息,以
答案:
2.(14分)
(1)羟基 硝基
(2)
(3)还原反应
(4)5
(5)

(6)AC
(7)
2.(14分)
(1)羟基 硝基
(2)
(3)还原反应
(4)5
(5)
(6)AC
(7)
查看更多完整答案,请扫码查看