2025年天利38套五年真题高考试题分类化学
注:目前有些书本章节名称可能整理的还不是很完善,但都是按照顺序排列的,请同学们按照顺序仔细查找。练习册 2025年天利38套五年真题高考试题分类化学 答案主要是用来给同学们做完题方便对答案用的,请勿直接抄袭。
第118页
- 第1页
- 第2页
- 第3页
- 第4页
- 第5页
- 第6页
- 第7页
- 第8页
- 第9页
- 第10页
- 第11页
- 第12页
- 第13页
- 第14页
- 第15页
- 第16页
- 第17页
- 第18页
- 第19页
- 第20页
- 第21页
- 第22页
- 第23页
- 第24页
- 第25页
- 第26页
- 第27页
- 第28页
- 第29页
- 第30页
- 第31页
- 第32页
- 第33页
- 第34页
- 第35页
- 第36页
- 第37页
- 第38页
- 第39页
- 第40页
- 第41页
- 第42页
- 第43页
- 第44页
- 第45页
- 第46页
- 第47页
- 第48页
- 第49页
- 第50页
- 第51页
- 第52页
- 第53页
- 第54页
- 第55页
- 第56页
- 第57页
- 第58页
- 第59页
- 第60页
- 第61页
- 第62页
- 第63页
- 第64页
- 第65页
- 第66页
- 第67页
- 第68页
- 第69页
- 第70页
- 第71页
- 第72页
- 第73页
- 第74页
- 第75页
- 第76页
- 第77页
- 第78页
- 第79页
- 第80页
- 第81页
- 第82页
- 第83页
- 第84页
- 第85页
- 第86页
- 第87页
- 第88页
- 第89页
- 第90页
- 第91页
- 第92页
- 第93页
- 第94页
- 第95页
- 第96页
- 第97页
- 第98页
- 第99页
- 第100页
- 第101页
- 第102页
- 第103页
- 第104页
- 第105页
- 第106页
- 第107页
- 第108页
- 第109页
- 第110页
- 第111页
- 第112页
- 第113页
- 第114页
- 第115页
- 第116页
- 第117页
- 第118页
- 第119页
- 第120页
- 第121页
- 第122页
- 第123页
- 第124页
- 第125页
- 第126页
- 第127页
- 第128页
- 第129页
- 第130页
- 第131页
- 第132页
1.(2025 · 山东卷,4 分,不定项)以异丁醛(M)为原料制备化合物 Q 的合成路线如下,下列说法错误的是 (

A.M 系统命名为 2 - 甲基丙醛
B.若 M+X→N 原子利用率为 100%,则 X 是甲醛
C.用酸性 KMnO₄ 溶液可鉴别 N 和 Q
D.P→Q 过程中有 CH₃COOH 生成
CD
)A.M 系统命名为 2 - 甲基丙醛
B.若 M+X→N 原子利用率为 100%,则 X 是甲醛
C.用酸性 KMnO₄ 溶液可鉴别 N 和 Q
D.P→Q 过程中有 CH₃COOH 生成
答案:
1.CD 有机物的结构与性质 由M的结构可知,其系统命名为2 - 甲基丙醛,A正确;X为甲醛时,M与X发生加成反应生成N,原子利用率为100%,B正确;N含有羟基和醛基,Q结构中含有碳碳双键,这些官能团都能使酸性KMnO₄溶液褪色,C错误;有机物P先发生水解反应(脱去C₂H₅OH),再酸化形成羧基,再经过脱羧和酯化反应生成Q和CO₂、H₂O,D错误。
知识拓展
脱羧反应是有机化学中的重要反应,一般脱去羧基生成CO₂。
知识拓展
脱羧反应是有机化学中的重要反应,一般脱去羧基生成CO₂。
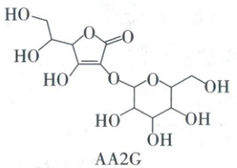
2.(2025 · 陕晋青宁卷,3 分)抗坏血酸葡萄糖苷(AA2G)具有抗氧化功能。下列关于 AA2G 的说法正确的是 (

A.不能使溴水褪色
B.能与乙酸发生酯化反应
C.不能与 NaOH 溶液反应
D.含有 3 个手性碳原子
B
)A.不能使溴水褪色
B.能与乙酸发生酯化反应
C.不能与 NaOH 溶液反应
D.含有 3 个手性碳原子
答案:
2.B 有机物的结构与性质 AA2G分子结构中含有碳碳双键,能与溴水发生加成反应使其褪色,A错误;AA2G分子结构中含有多个羟基,能与乙酸发生酯化反应,B正确;AA2G分子结构中含有酯基,能与NaOH溶液反应,C错误;AA2G分子结构中含有7个手性碳原子,D错误。
3.(2025 · 云南卷,3 分)化合物 Z 是某真菌的成分之一,结构如图。下列有关该物质说法错误的是 (

A.可形成分子间氢键
B.与乙酸、乙醇均能发生酯化反应
C.能与 NaHCO₃ 溶液反应生成 CO₂
D.1 mol Z 与 Br₂ 的 CCl₄ 溶液反应消耗 5 mol Br₂
D
)A.可形成分子间氢键
B.与乙酸、乙醇均能发生酯化反应
C.能与 NaHCO₃ 溶液反应生成 CO₂
D.1 mol Z 与 Br₂ 的 CCl₄ 溶液反应消耗 5 mol Br₂
答案:
3.D 有机物的结构与性质 分子中含有羟基、羧基,可以形成分子间氢键,A正确;分子中既含有羟基又含有羧基,与乙酸、乙醇均能发生酯化反应,B正确;分子中含有羧基,可与碳酸氢钠溶液反应生成二氧化碳,C正确;分子中只有碳碳双键可与溴单质反应,1molZ最多消耗2molBr₂,D错误。
4.【日常生活】(2024 · 广东卷,2 分)我国饮食注重营养均衡,讲究“色香味形”。下列说法不正确的是 (
A.烹饪糖醋排骨用蔗糖炒出焦糖色,蔗糖属于二糖
B.新鲜榨得的花生油具有独特油香,油脂属于芳香烃
C.凉拌黄瓜加醋使其具有可口酸味,食醋中含有极性分子
D.端午时节用粽叶将糯米包裹成形,糯米中的淀粉可水解
B
)A.烹饪糖醋排骨用蔗糖炒出焦糖色,蔗糖属于二糖
B.新鲜榨得的花生油具有独特油香,油脂属于芳香烃
C.凉拌黄瓜加醋使其具有可口酸味,食醋中含有极性分子
D.端午时节用粽叶将糯米包裹成形,糯米中的淀粉可水解
答案:
4.B 基本营养物质 蔗糖属于二糖,A正确;油脂是高级脂肪酸甘油酯,属于酯类,不属于芳香烃,B错误;食醋中含有的H₂O和CH₃COOH均为极性分子,C正确;淀粉在一定条件下可水解得到葡萄糖,D正确。
5.(2024 · 山东卷,2 分)植物提取物阿魏萜宁具有抗菌活性,其结构简式如图所示。下列关于阿魏萜宁的说法错误的是 (

A.可与 Na₂CO₃ 溶液反应
B.消去反应产物最多有 2 种
C.酸性条件下的水解产物均可生成高聚物
D.与 Br₂ 反应时可发生取代和加成两种反应
B
)A.可与 Na₂CO₃ 溶液反应
B.消去反应产物最多有 2 种
C.酸性条件下的水解产物均可生成高聚物
D.与 Br₂ 反应时可发生取代和加成两种反应
答案:
5.B 有机物的结构与性质 酚羟基可与Na₂CO₃溶液反应,A项正确;羟基有3种不同的邻位H原子,消去产物最多有3种,B项错误;酸性条件下水解产物结构如图,A( ),B( ),A中有2个羟基,1个碳碳双键,B中既含有羧基,也含有羟基,均可生成高聚物,C项正确;碳碳双键可与Br₂发生加成反应,酚羟基的邻位可与Br₂发生取代反应,D项正确。
6.(2024 · 江苏卷,3 分)化合物 Z 是一种药物的重要中间体,部分合成路线如下:

下列说法正确的是 (
A.X 分子中所有碳原子共平面
B.1 mol Y 最多能与 1 mol H₂ 发生加成反应
C.Z 不能与 Br₂ 的 CCl₄ 溶液反应
D.Y、Z 均能使酸性 KMnO₄ 溶液褪色
下列说法正确的是 (
D
)A.X 分子中所有碳原子共平面
B.1 mol Y 最多能与 1 mol H₂ 发生加成反应
C.Z 不能与 Br₂ 的 CCl₄ 溶液反应
D.Y、Z 均能使酸性 KMnO₄ 溶液褪色
答案:
6.D 有机物的结构与性质 X中有连接3个C和1个H的饱和碳原子,所有碳原子不可能共平面,A错误;Y中碳碳双键、酮羰基均可以与H₂发生加成反应,酯基不能与H₂发生加成反应,故1molY最多能与2molH₂发生加成反应,B错误;Z中有碳碳双键,可以与Br₂发生加成反应,C错误;Y和Z中均含有碳碳双键,可以与酸性KMnO₄溶液发生氧化还原反应,使酸性KMnO₄溶液褪色,D正确。
查看更多完整答案,请扫码查看