2025年金版新学案高中数学必修第一册北师大版
注:目前有些书本章节名称可能整理的还不是很完善,但都是按照顺序排列的,请同学们按照顺序仔细查找。练习册 2025年金版新学案高中数学必修第一册北师大版 答案主要是用来给同学们做完题方便对答案用的,请勿直接抄袭。
第68页
- 第1页
- 第2页
- 第3页
- 第4页
- 第5页
- 第6页
- 第7页
- 第8页
- 第9页
- 第10页
- 第11页
- 第12页
- 第13页
- 第14页
- 第15页
- 第16页
- 第17页
- 第18页
- 第19页
- 第20页
- 第21页
- 第22页
- 第23页
- 第24页
- 第25页
- 第26页
- 第27页
- 第28页
- 第29页
- 第30页
- 第31页
- 第32页
- 第33页
- 第34页
- 第35页
- 第36页
- 第37页
- 第38页
- 第39页
- 第40页
- 第41页
- 第42页
- 第43页
- 第44页
- 第45页
- 第46页
- 第47页
- 第48页
- 第49页
- 第50页
- 第51页
- 第52页
- 第53页
- 第54页
- 第55页
- 第56页
- 第57页
- 第58页
- 第59页
- 第60页
- 第61页
- 第62页
- 第63页
- 第64页
- 第65页
- 第66页
- 第67页
- 第68页
- 第69页
- 第70页
- 第71页
- 第72页
- 第73页
- 第74页
- 第75页
- 第76页
- 第77页
- 第78页
- 第79页
- 第80页
- 第81页
- 第82页
- 第83页
- 第84页
- 第85页
- 第86页
- 第87页
- 第88页
- 第89页
- 第90页
- 第91页
- 第92页
- 第93页
- 第94页
- 第95页
- 第96页
- 第97页
- 第98页
- 第99页
- 第100页
- 第101页
- 第102页
- 第103页
- 第104页
- 第105页
- 第106页
- 第107页
- 第108页
- 第109页
- 第110页
- 第111页
- 第112页
- 第113页
- 第114页
- 第115页
- 第116页
- 第117页
- 第118页
- 第119页
- 第120页
- 第121页
- 第122页
- 第123页
- 第124页
- 第125页
- 第126页
- 第127页
- 第128页
- 第129页
- 第130页
- 第131页
- 第132页
- 第133页
- 第134页
- 第135页
- 第136页
- 第137页
- 第138页
- 第139页
- 第140页
- 第141页
- 第142页
- 第143页
- 第144页
- 第145页
- 第146页
- 第147页
- 第148页
- 第149页
- 第150页
- 第151页
- 第152页
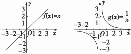
问题 1. 观察函数 $ f(x) = x $ 和 $ g(x) = \frac{1}{x} $ 的图象,你能发现这两个函数图象有什么共同特征吗?你能用符号语言精确地描述这一特征吗?

答案:
两个函数图象的共同特征是都关于原点对称。
用符号语言描述如下:
对于函数$f(x) = x$,有$f(-x) = -x = -f(x)$,所以$f(x)$是奇函数。
对于函数$g(x) = \frac{1}{x}$,有$g(-x) = \frac{1}{-x} = -\frac{1}{x} = -g(x)$,所以$g(x)$是奇函数。
用符号语言描述如下:
对于函数$f(x) = x$,有$f(-x) = -x = -f(x)$,所以$f(x)$是奇函数。
对于函数$g(x) = \frac{1}{x}$,有$g(-x) = \frac{1}{-x} = -\frac{1}{x} = -g(x)$,所以$g(x)$是奇函数。
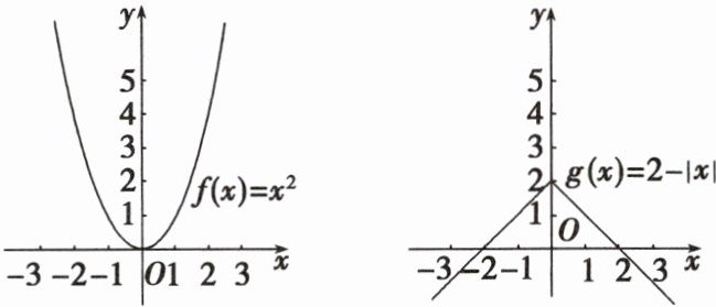
问题 2. 观察下列函数图象,你能发现这两个函数图象有什么共同特征吗?你能用符号语言精确地描述这一特征吗?

答案:
这两个函数图象的共同特征是关于$y$轴对称。
对于函数$f(x)=x^2$,定义域为$R$,关于原点对称,且$f(-x)=(-x)^2 = x^2=f(x)$。
对于函数$g(x)=2 - |x|$,定义域为$R$,关于原点对称,且$g(-x)=2 - |-x| = 2 - |x|=g(x)$。
用符号语言精确描述为:对于其定义域内的任意$x$,都有$f(-x)=f(x)$($g(-x)=g(x)$),即函数$f(x)$($g(x)$)是偶函数。
对于函数$f(x)=x^2$,定义域为$R$,关于原点对称,且$f(-x)=(-x)^2 = x^2=f(x)$。
对于函数$g(x)=2 - |x|$,定义域为$R$,关于原点对称,且$g(-x)=2 - |-x| = 2 - |x|=g(x)$。
用符号语言精确描述为:对于其定义域内的任意$x$,都有$f(-x)=f(x)$($g(-x)=g(x)$),即函数$f(x)$($g(x)$)是偶函数。
1. 奇函数、偶函数的定义

答案:
1. 对于奇函数:
定义:$f(-x)=-f(x)$;
图象特征:原点。
2. 对于偶函数:
定义:$f(-x)=f(x)$;
图象特征:$y$轴。
故答案依次为:$f(-x)=-f(x)$;$f(-x)=f(x)$;原点;$y$轴。
定义:$f(-x)=-f(x)$;
图象特征:原点。
2. 对于偶函数:
定义:$f(-x)=f(x)$;
图象特征:$y$轴。
故答案依次为:$f(-x)=-f(x)$;$f(-x)=f(x)$;原点;$y$轴。
微思考
1. 奇、偶函数的定义域有什么特点?
2. 若奇函数 $ f(x) $ 在 $ x = 0 $ 处有定义,则 $ f(0) $ 的值是多少?
3. 若函数 $ y = f(x) $ 与 $ y = g(x) $ 的图象关于 $ y $ 轴对称,则 $ f(x) $,$ g(x) $ 是偶函数吗?
1. 奇、偶函数的定义域有什么特点?
2. 若奇函数 $ f(x) $ 在 $ x = 0 $ 处有定义,则 $ f(0) $ 的值是多少?
3. 若函数 $ y = f(x) $ 与 $ y = g(x) $ 的图象关于 $ y $ 轴对称,则 $ f(x) $,$ g(x) $ 是偶函数吗?
答案:
1. 关于原点对称;2. 0;3. 不一定
查看更多完整答案,请扫码查看