2025年金版新学案高中数学必修第一册北师大版
注:目前有些书本章节名称可能整理的还不是很完善,但都是按照顺序排列的,请同学们按照顺序仔细查找。练习册 2025年金版新学案高中数学必修第一册北师大版 答案主要是用来给同学们做完题方便对答案用的,请勿直接抄袭。
第107页
- 第1页
- 第2页
- 第3页
- 第4页
- 第5页
- 第6页
- 第7页
- 第8页
- 第9页
- 第10页
- 第11页
- 第12页
- 第13页
- 第14页
- 第15页
- 第16页
- 第17页
- 第18页
- 第19页
- 第20页
- 第21页
- 第22页
- 第23页
- 第24页
- 第25页
- 第26页
- 第27页
- 第28页
- 第29页
- 第30页
- 第31页
- 第32页
- 第33页
- 第34页
- 第35页
- 第36页
- 第37页
- 第38页
- 第39页
- 第40页
- 第41页
- 第42页
- 第43页
- 第44页
- 第45页
- 第46页
- 第47页
- 第48页
- 第49页
- 第50页
- 第51页
- 第52页
- 第53页
- 第54页
- 第55页
- 第56页
- 第57页
- 第58页
- 第59页
- 第60页
- 第61页
- 第62页
- 第63页
- 第64页
- 第65页
- 第66页
- 第67页
- 第68页
- 第69页
- 第70页
- 第71页
- 第72页
- 第73页
- 第74页
- 第75页
- 第76页
- 第77页
- 第78页
- 第79页
- 第80页
- 第81页
- 第82页
- 第83页
- 第84页
- 第85页
- 第86页
- 第87页
- 第88页
- 第89页
- 第90页
- 第91页
- 第92页
- 第93页
- 第94页
- 第95页
- 第96页
- 第97页
- 第98页
- 第99页
- 第100页
- 第101页
- 第102页
- 第103页
- 第104页
- 第105页
- 第106页
- 第107页
- 第108页
- 第109页
- 第110页
- 第111页
- 第112页
- 第113页
- 第114页
- 第115页
- 第116页
- 第117页
- 第118页
- 第119页
- 第120页
- 第121页
- 第122页
- 第123页
- 第124页
- 第125页
- 第126页
- 第127页
- 第128页
- 第129页
- 第130页
- 第131页
- 第132页
- 第133页
- 第134页
- 第135页
- 第136页
- 第137页
- 第138页
- 第139页
- 第140页
- 第141页
- 第142页
- 第143页
- 第144页
- 第145页
- 第146页
- 第147页
- 第148页
- 第149页
- 第150页
- 第151页
- 第152页
1. (多选题)下列函数为对数函数的是( )
A.$ f(x) = \log_{(m - 1)}x $($ m > 1 $,且 $ m \neq 2 $)
B.$ f(x) = \lg x^{3} $
C.$ f(x) = \ln x $
D.$ f(x) = \ln x + e $
A.$ f(x) = \log_{(m - 1)}x $($ m > 1 $,且 $ m \neq 2 $)
B.$ f(x) = \lg x^{3} $
C.$ f(x) = \ln x $
D.$ f(x) = \ln x + e $
答案:
1.AC 形如$y = \log_{a}x(a>0$,且$a \neq 1)$的函数为对数函数,对于A,由$m > 1$,且$m \neq 2$,可知$m - 1 > 0$,且$m - 1 \neq 1$,故A符合题意;对于B,不符合题意;对于C,符合题意;对于D,不符合题意. 故选AC.
2. $ f(x) = \log_{2}x $ 的反函数是( )
A.$ y = a^{x} $
B.$ y = 2^{x} $
C.$ y = \log_{x}2 $
D.$ y = 4^{x} $
A.$ y = a^{x} $
B.$ y = 2^{x} $
C.$ y = \log_{x}2 $
D.$ y = 4^{x} $
答案:
2.B 根据指数函数与对数函数的关系,可得函数$f(x) = \log_{2}x$的反函数为$y = 2^{x}$. 故选B.
3. 设 $ a = 3^{-0.2} $,$ b = \log_{2}0.2 $,$ c = \log_{2}3 $,则( )
A.$ a > b > c $
B.$ c > b > a $
C.$ a > c > b $
D.$ c > a > b $
A.$ a > b > c $
B.$ c > b > a $
C.$ a > c > b $
D.$ c > a > b $
答案:
3.D 因为$0 < a = 3^{-0.2} < 3^{0} = 1$,$b = \log_{2}0.2 < \log_{2}1 = 0$,$c = \log_{2}3 > \log_{2}2 = 1$,所以$c > a > b$. 故选D.
4. 若 $ \log_{2}(x + 1) \leq 0 $,则实数 $ x $ 的取值范围是______。
答案:
4.$(-1,0$ 由$\log_{2}(x + 1) \leqslant 0$可得$0 < x + 1 \leqslant 1$,解得$-1 < x \leqslant 0$,故实数$x$的取值范围为$(-1,0$.
问题. 在同一坐标系内画出函数 $ y = \log_{2}x $,$ y = \log_{\frac{1}{2}}x $,$ y = \log_{\frac{1}{3}}x $ 和 $ y = \log_{3}x $ 的图象,并说出函数图象从左到右的变化趋势和函数图象的共同特征.
答案:
问题.同一坐标系中函数的图象如图.
①$y=\log_2x$与$y=\log_3x$的图象从左到右是上升的,函数$y=\log_{\frac{1}{2}}x$和$y=\log_{\frac{1}{3}}x$的图象从左到右是下降的.
②图象都过定点$(1,0)$,函数的图象都在$y$轴的右侧,且向上向下无限延伸.
问题.同一坐标系中函数的图象如图.
①$y=\log_2x$与$y=\log_3x$的图象从左到右是上升的,函数$y=\log_{\frac{1}{2}}x$和$y=\log_{\frac{1}{3}}x$的图象从左到右是下降的.
②图象都过定点$(1,0)$,函数的图象都在$y$轴的右侧,且向上向下无限延伸.
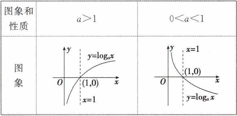
对数函数 $ y = \log_{a}x $($ a > 0 $,且 $ a \neq 1 $)的图象和性质


答案:
1. 定义域:
对于对数函数$y = \log_{a}x(a\gt0,a\neq1)$,根据对数函数的定义,真数$x\gt0$,所以定义域为$(0,+\infty)$。
2. 过定点:
令$x = 1$,则$y=\log_{a}1 = 0$(根据对数的性质$\log_{a}1 = 0(a\gt0,a\neq1)$),所以过定点$(1,0)$。
3. 函数值的正负:
当$a\gt1$时:
若$x\gt1$,根据对数函数$y = \log_{a}x(a\gt1)$的单调性(单调递增),$y=\log_{a}x\gt\log_{a}1 = 0$;
若$0\lt x\lt1$,$y=\log_{a}x\lt\log_{a}1 = 0$。
当$0\lt a\lt1$时:
若$x\gt1$,根据对数函数$y = \log_{a}x(0\lt a\lt1)$的单调性(单调递减),$y=\log_{a}x\lt\log_{a}1 = 0$;
若$0\lt x\lt1$,$y=\log_{a}x\gt\log_{a}1 = 0$。
4. 单调性:
当$a\gt1$时,在定义域$(0,+\infty)$上,对于任意的$x_{1}\lt x_{2}$,$y_{1}=\log_{a}x_{1}$,$y_{2}=\log_{a}x_{2}$,有$y_{1}\lt y_{2}$,所以$y = \log_{a}x(a\gt1)$是增函数;
当$0\lt a\lt1$时,在定义域$(0,+\infty)$上,对于任意的$x_{1}\lt x_{2}$,$y_{1}=\log_{a}x_{1}$,$y_{2}=\log_{a}x_{2}$,有$y_{1}\gt y_{2}$,所以$y = \log_{a}x(0\lt a\lt1)$是减函数。
故答案依次为:$(0,+\infty)$;$(1,0)$;$0$,$0$;$0$,$0$;增;减。
对于对数函数$y = \log_{a}x(a\gt0,a\neq1)$,根据对数函数的定义,真数$x\gt0$,所以定义域为$(0,+\infty)$。
2. 过定点:
令$x = 1$,则$y=\log_{a}1 = 0$(根据对数的性质$\log_{a}1 = 0(a\gt0,a\neq1)$),所以过定点$(1,0)$。
3. 函数值的正负:
当$a\gt1$时:
若$x\gt1$,根据对数函数$y = \log_{a}x(a\gt1)$的单调性(单调递增),$y=\log_{a}x\gt\log_{a}1 = 0$;
若$0\lt x\lt1$,$y=\log_{a}x\lt\log_{a}1 = 0$。
当$0\lt a\lt1$时:
若$x\gt1$,根据对数函数$y = \log_{a}x(0\lt a\lt1)$的单调性(单调递减),$y=\log_{a}x\lt\log_{a}1 = 0$;
若$0\lt x\lt1$,$y=\log_{a}x\gt\log_{a}1 = 0$。
4. 单调性:
当$a\gt1$时,在定义域$(0,+\infty)$上,对于任意的$x_{1}\lt x_{2}$,$y_{1}=\log_{a}x_{1}$,$y_{2}=\log_{a}x_{2}$,有$y_{1}\lt y_{2}$,所以$y = \log_{a}x(a\gt1)$是增函数;
当$0\lt a\lt1$时,在定义域$(0,+\infty)$上,对于任意的$x_{1}\lt x_{2}$,$y_{1}=\log_{a}x_{1}$,$y_{2}=\log_{a}x_{2}$,有$y_{1}\gt y_{2}$,所以$y = \log_{a}x(0\lt a\lt1)$是减函数。
故答案依次为:$(0,+\infty)$;$(1,0)$;$0$,$0$;$0$,$0$;增;减。
微思考
(1)底数 $ a $ 的取值与对数函数 $ y = \log_{a}x $($ a > 0 $,且 $ a \neq 1 $)的图象有什么关系?
(2)对数函数 $ y = \log_{a}x $($ a > 0 $,且 $ a \neq 1 $)与 $ y = \log_{\frac{1}{a}}x $($ a > 0 $,且 $ a \neq 1 $)有什么关系?
(1)底数 $ a $ 的取值与对数函数 $ y = \log_{a}x $($ a > 0 $,且 $ a \neq 1 $)的图象有什么关系?
(2)对数函数 $ y = \log_{a}x $($ a > 0 $,且 $ a \neq 1 $)与 $ y = \log_{\frac{1}{a}}x $($ a > 0 $,且 $ a \neq 1 $)有什么关系?
答案:
[微思考]
(1)底数$a$与$1$的大小关系决定了对数函数图象的“升降”:当$a>1$时,对数函数的图象“上升”;当$0<a<1$时,对数函数的图象“下降”.
(2)在同一坐标系内,$y=\log_ax(a>0$,且$a\neq1)$的图象与$y=\log_{\frac{1}{a}}x(a>0$,且$a\neq1)$的图象关于$x$轴(即直线$y=0$)对称.
(1)底数$a$与$1$的大小关系决定了对数函数图象的“升降”:当$a>1$时,对数函数的图象“上升”;当$0<a<1$时,对数函数的图象“下降”.
(2)在同一坐标系内,$y=\log_ax(a>0$,且$a\neq1)$的图象与$y=\log_{\frac{1}{a}}x(a>0$,且$a\neq1)$的图象关于$x$轴(即直线$y=0$)对称.
查看更多完整答案,请扫码查看