第76页
- 第1页
- 第2页
- 第3页
- 第4页
- 第5页
- 第6页
- 第7页
- 第8页
- 第9页
- 第10页
- 第11页
- 第12页
- 第13页
- 第14页
- 第15页
- 第16页
- 第17页
- 第18页
- 第19页
- 第20页
- 第21页
- 第22页
- 第23页
- 第24页
- 第25页
- 第26页
- 第27页
- 第28页
- 第29页
- 第30页
- 第31页
- 第32页
- 第33页
- 第34页
- 第35页
- 第36页
- 第37页
- 第38页
- 第39页
- 第40页
- 第41页
- 第42页
- 第43页
- 第44页
- 第45页
- 第46页
- 第47页
- 第48页
- 第49页
- 第50页
- 第51页
- 第52页
- 第53页
- 第54页
- 第55页
- 第56页
- 第57页
- 第58页
- 第59页
- 第60页
- 第61页
- 第62页
- 第63页
- 第64页
- 第65页
- 第66页
- 第67页
- 第68页
- 第69页
- 第70页
- 第71页
- 第72页
- 第73页
- 第74页
- 第75页
- 第76页
- 第77页
- 第78页
- 第79页
- 第80页
- 第81页
- 第82页
- 第83页
- 第84页
- 第85页
- 第86页
- 第87页
- 第88页
- 第89页
- 第90页
- 第91页
- 第92页
- 第93页
- 第94页
- 第95页
- 第96页
- 第97页
- 第98页
- 第99页
- 第100页
- 第101页
- 第102页
- 第103页
- 第104页
- 第105页
- 第106页
- 第107页
- 第108页
- 第109页
- 第110页
- 第111页
- 第112页
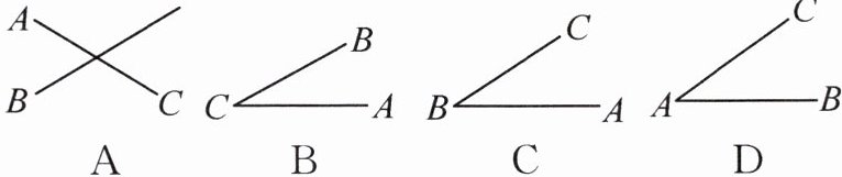
1. 下列各图中,可表示为∠ABC的是 (

C
)
答案:
C
2. 下列图形中,能用∠1,∠AOB,∠O三种方法表示同一个角的图形是 (

B
)
答案:
B
3. 下列说法中,正确的是 (
A.角可以看作是由一条线段绕着它的端点旋转而形成的图形
B.两条有公共点的射线组成的图形叫作角
C.角的大小与角两边的长短无关
D.一个周角就是一条射线
C
)A.角可以看作是由一条线段绕着它的端点旋转而形成的图形
B.两条有公共点的射线组成的图形叫作角
C.角的大小与角两边的长短无关
D.一个周角就是一条射线
答案:
C
4. 根据图中信息填写下表,将表中的角用其他方法表示出来.


∠2 ∠B ∠4 ∠BAC ∠ADC
答案:
∠2 ∠B ∠4 ∠BAC ∠ADC
5. 如图,写出符合下列条件的角(图中所有的角均指小于平角的角).

(1)能用一个大写字母表示的角.
(2)以点A为顶点的角.
(3)图中所有的角(可用简便的方法表示).
(1)能用一个大写字母表示的角.
(2)以点A为顶点的角.
(3)图中所有的角(可用简便的方法表示).
答案:
解:
(1)∠B,∠C.
(2)∠CAD,∠BAD,∠BAC.
(3)∠C,∠B,∠1,∠2,∠3,∠4,∠CAB.
(1)∠B,∠C.
(2)∠CAD,∠BAD,∠BAC.
(3)∠C,∠B,∠1,∠2,∠3,∠4,∠CAB.
6. 下列各角中,一定是钝角的为 (
A.$\frac{1}{4}$周角
B.$\frac{5}{6}$平角
C.$\frac{1}{3}$平角
D.$\frac{2}{3}$直角
B
)A.$\frac{1}{4}$周角
B.$\frac{5}{6}$平角
C.$\frac{1}{3}$平角
D.$\frac{2}{3}$直角
答案:
B
7. 计算:
(1)$6300''=$
(2)$(\frac{3}{4})^{\circ}=$
(3)$15^{\circ}30'=$
(4)$25.35^{\circ}=$
(1)$6300''=$
105
$'=$1.75
$^{\circ}$.(2)$(\frac{3}{4})^{\circ}=$
45
$'=$2700
$''$.(3)$15^{\circ}30'=$
15.5
$^{\circ}$.(4)$25.35^{\circ}=$
25
$^{\circ}$21
$'$.
答案:
(1)105 1.75
(2)45 2 700
(3)15.5
(4)25 21
(1)105 1.75
(2)45 2 700
(3)15.5
(4)25 21
8. (1)时针每小时转
(2)分针每小时转
30
$^{\circ}$,每分钟转0.5
$^{\circ}$.(2)分针每小时转
360
$^{\circ}$,每分钟转6
$^{\circ}$.
答案:
(1)30 0.5
(2)360 6
(1)30 0.5
(2)360 6
9. 如图,分别写出四个钟表上的时针与分针所成的较小角的度数.

30°
180°
120°
120°
答案:
30° 180° 120° 120°
查看更多完整答案,请扫码查看