第111页
- 第1页
- 第2页
- 第3页
- 第4页
- 第5页
- 第6页
- 第7页
- 第8页
- 第9页
- 第10页
- 第11页
- 第12页
- 第13页
- 第14页
- 第15页
- 第16页
- 第17页
- 第18页
- 第19页
- 第20页
- 第21页
- 第22页
- 第23页
- 第24页
- 第25页
- 第26页
- 第27页
- 第28页
- 第29页
- 第30页
- 第31页
- 第32页
- 第33页
- 第34页
- 第35页
- 第36页
- 第37页
- 第38页
- 第39页
- 第40页
- 第41页
- 第42页
- 第43页
- 第44页
- 第45页
- 第46页
- 第47页
- 第48页
- 第49页
- 第50页
- 第51页
- 第52页
- 第53页
- 第54页
- 第55页
- 第56页
- 第57页
- 第58页
- 第59页
- 第60页
- 第61页
- 第62页
- 第63页
- 第64页
- 第65页
- 第66页
- 第67页
- 第68页
- 第69页
- 第70页
- 第71页
- 第72页
- 第73页
- 第74页
- 第75页
- 第76页
- 第77页
- 第78页
- 第79页
- 第80页
- 第81页
- 第82页
- 第83页
- 第84页
- 第85页
- 第86页
- 第87页
- 第88页
- 第89页
- 第90页
- 第91页
- 第92页
- 第93页
- 第94页
- 第95页
- 第96页
- 第97页
- 第98页
- 第99页
- 第100页
- 第101页
- 第102页
- 第103页
- 第104页
- 第105页
- 第106页
- 第107页
- 第108页
- 第109页
- 第110页
- 第111页
- 第112页
- 第113页
- 第114页
- 第115页
- 第116页
- 第117页
- 第118页
- 第119页
- 第120页
- 第121页
- 第122页
- 第123页
- 第124页
- 第125页
- 第126页
- 第127页
- 第128页
- 第129页
- 第130页
- 第131页
- 第132页
- 第133页
- 第134页
- 第135页
- 第136页
- 第137页
- 第138页
- 第139页
- 第140页
- 第141页
- 第142页
- 第143页
- 第144页
- 第145页
- 第146页
- 第147页
- 第148页
- 第149页
- 第150页
- 第151页
- 第152页
- 第153页
- 第154页
- 第155页
- 第156页
- 第157页
- 第158页
- 第159页
- 第160页
- 第161页
- 第162页
- 第163页
- 第164页
- 第165页
- 第166页
- 第167页
- 第168页
- 第169页
- 第170页
- 第171页
- 第172页
- 第173页
- 第174页
- 第175页
- 第176页
- 第177页
- 第178页
- 第179页
- 第180页
- 第181页
- 第182页
- 第183页
- 第184页
- 第185页
- 第186页
1. 一位司机驾驶汽车从甲地前往乙地,以80km/h的平均速度用了4h到达目的地。当他按原路返回时,汽车的平均速度v(km/h)与所用时间t(h)之间的函数关系式是
v=320/t
。
答案:
v=320/t
2. 已知圆柱的体积是$100cm^3,$它的底面积$S(cm^2)$与高h(cm)之间的函数关系式是
$S=\frac{100}{h}$
,自变量h的取值范围是$h>0$
。
答案:
$S=\frac{100}{h}$;$h>0$
3. 在某一电路中,保持电压不变,电流I(A)与电阻R(Ω)成反比例,当电阻R= 5Ω时,电流I= 2A,则I与R之间的函数关系式是
I=10/R
,当电流I= 0.5A时,电阻R= 20
Ω。
答案:
I=10/R;20
1. 一个三角形的面积为$8cm^2,$底边上的高y(cm)与底边x(cm)之间的函数关系图象大致是(

D
)。
答案:
D
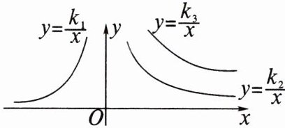
2. 反比例函数$ y = \frac{k_1}{x} $,$ y = \frac{k_2}{x} $,$ y = \frac{k_3}{x} $在x轴上方的图象如图所示,由此观察得到$ k_1 $,$ k_2 $,$ k_3 $的大小关系为(

A.$ k_1 > k_2 > k_3 $
B.$ k_2 > k_3 > k_1 $
C.$ k_3 > k_2 > k_1 $
D.$ k_3 > k_1 > k_2 $
C
)。A.$ k_1 > k_2 > k_3 $
B.$ k_2 > k_3 > k_1 $
C.$ k_3 > k_2 > k_1 $
D.$ k_3 > k_1 > k_2 $
答案:
C
3. 气球内充满了一定质量的气体,当温度不变时,气球内气体的气压p(kPa)是气体体积$V(m^3)$的反比例函数,图象如图所示。当气球内的气压大于140kPa时,气球将爆炸。为了安全起见,气体体积应(

A.不大于$ \frac{24}{35} m^3 $
B.不小于$ \frac{24}{35} m^3 $
C.不大于$ \frac{24}{37} m^3 $
D.不小于$ \frac{24}{37} m^3 $
B
)。A.不大于$ \frac{24}{35} m^3 $
B.不小于$ \frac{24}{35} m^3 $
C.不大于$ \frac{24}{37} m^3 $
D.不小于$ \frac{24}{37} m^3 $
答案:
B
4. 如图①,将一长方体放置于一水平玻璃桌面上,按不同的方式摆放,记录桌面所受压强与受力面积的关系如下表所示:

(1)根据表中数据求出压强p(Pa)关于受力面积$S(m^2)$的函数表达式。
(2)如图②,将另一个长、宽、高分别为60cm,20cm,10cm,且与原长方体重量相同的长方体放在该水平玻璃桌面上。若玻璃桌面承受的最大压强为2000Pa,这种摆放方式是否安全?请说明理由。

(1)根据表中数据求出压强p(Pa)关于受力面积$S(m^2)$的函数表达式。
(2)如图②,将另一个长、宽、高分别为60cm,20cm,10cm,且与原长方体重量相同的长方体放在该水平玻璃桌面上。若玻璃桌面承受的最大压强为2000Pa,这种摆放方式是否安全?请说明理由。
答案:
解:
(1)
∵400×0.5=500×0.4=800×0.25=100×0.2=1250×0.16=200,
∴压强p(Pa)与受力面积S(m²)满足反比例函数关系.设压强p(Pa)与受力面积S(m²)的函数表达式为$ p=\frac{k}{S} $,则k=pS=200,
∴压强p(Pa)与受力面积S(m²)的函数表达式为$ p=\frac{200}{S} $.
(2)不安全,理由如下:由
(1)知$ p=\frac{200}{S} $,按图②所示放置方式可得$ S=\frac{20}{100}×\frac{10}{100}=0.02 $(m²),
∵$ p=\frac{200}{0.02}=10000>2000 $,
∴这种摆放方式不安全.
(1)
∵400×0.5=500×0.4=800×0.25=100×0.2=1250×0.16=200,
∴压强p(Pa)与受力面积S(m²)满足反比例函数关系.设压强p(Pa)与受力面积S(m²)的函数表达式为$ p=\frac{k}{S} $,则k=pS=200,
∴压强p(Pa)与受力面积S(m²)的函数表达式为$ p=\frac{200}{S} $.
(2)不安全,理由如下:由
(1)知$ p=\frac{200}{S} $,按图②所示放置方式可得$ S=\frac{20}{100}×\frac{10}{100}=0.02 $(m²),
∵$ p=\frac{200}{0.02}=10000>2000 $,
∴这种摆放方式不安全.
查看更多完整答案,请扫码查看