第5页
- 第1页
- 第2页
- 第3页
- 第4页
- 第5页
- 第6页
- 第7页
- 第8页
- 第9页
- 第10页
- 第11页
- 第12页
- 第13页
- 第14页
- 第15页
- 第16页
- 第17页
- 第18页
- 第19页
- 第20页
- 第21页
- 第22页
- 第23页
- 第24页
- 第25页
- 第26页
- 第27页
- 第28页
- 第29页
- 第30页
- 第31页
- 第32页
- 第33页
- 第34页
- 第35页
- 第36页
- 第37页
- 第38页
- 第39页
- 第40页
- 第41页
- 第42页
- 第43页
- 第44页
- 第45页
- 第46页
- 第47页
- 第48页
- 第49页
- 第50页
- 第51页
- 第52页
- 第53页
- 第54页
- 第55页
- 第56页
- 第57页
- 第58页
- 第59页
- 第60页
- 第61页
- 第62页
- 第63页
- 第64页
- 第65页
- 第66页
- 第67页
- 第68页
- 第69页
- 第70页
- 第71页
- 第72页
- 第73页
- 第74页
- 第75页
- 第76页
- 第77页
- 第78页
- 第79页
- 第80页
1. 下列代数式的书写格式正确的是( )
A.$1\frac{1}{2}bc$
B.$a×b×c÷2$
C.$3x·y÷2$
D.$\frac{5}{2}xy$
A.$1\frac{1}{2}bc$
B.$a×b×c÷2$
C.$3x·y÷2$
D.$\frac{5}{2}xy$
答案:
D
2. 下列说法中,正确的是( )
A.$-2$是代数式,也是整式
B.$0$不是整式
C.$\frac{3xy^{2}}{2π}的系数是\frac{3}{2}$
D.$-\frac{1}{2}mx的次数是1$
A.$-2$是代数式,也是整式
B.$0$不是整式
C.$\frac{3xy^{2}}{2π}的系数是\frac{3}{2}$
D.$-\frac{1}{2}mx的次数是1$
答案:
A
3. 若$-\frac{1}{2}x^{m + 3}y与2x^{4}y^{n + 3}$是同类项,则$(m + n)^{365}= $( )
A.$-1$
B.$0$
C.$1$
D.$2^{365}$
A.$-1$
B.$0$
C.$1$
D.$2^{365}$
答案:
A
4. 下面去括号正确的是( )
A.$x^{2}-(3x - 2)= x^{2}-3x - 2$
B.$7a+(5b - 1)= 7a + 5b + 1$
C.$2m^{2}-(3m + 5)= 2m^{2}-3m - 5$
D.$-(a - b)+(ab - 1)= a - b + ab - 1$
A.$x^{2}-(3x - 2)= x^{2}-3x - 2$
B.$7a+(5b - 1)= 7a + 5b + 1$
C.$2m^{2}-(3m + 5)= 2m^{2}-3m - 5$
D.$-(a - b)+(ab - 1)= a - b + ab - 1$
答案:
C
5. 三角形的一边长为$a + 3$,另一边长为$a + 7$,它的周长是$2a + b + 23$,则第三边长为( )
A.$b - 13$
B.$2a + 13$
C.$b + 13$
D.$a + b - 13$
A.$b - 13$
B.$2a + 13$
C.$b + 13$
D.$a + b - 13$
答案:
C
6. 如图,在长方形$ABCD中放入正方形AEFG$、正方形$MNRH$、正方形$CPQN$,点$E在AB$上,点$M$,$N在BC$上,若$AE = 7$,$MN = 5$,$CN = 3$,则图中右上角阴影部分的周长与左下角阴影部分的周长的差为( )

A.$8$
B.$10$
C.$12$
D.$14$
A.$8$
B.$10$
C.$12$
D.$14$
答案:
B
7. 若多项式$2(x^{2}-3xy - y^{3})-(2mxy + 2y^{2})中不含xy$项,则$m$的值为( )
A.$-2$
B.$-3$
C.$3$
D.$4$
A.$-2$
B.$-3$
C.$3$
D.$4$
答案:
B
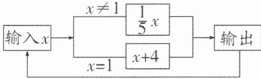
8. 如图是一个运算程序的示意图,若开始输入$x的值为125$,则第$2025$次输出的结果为( )

A.$5$
B.$25$
C.$1$
D.$125$
A.$5$
B.$25$
C.$1$
D.$125$
答案:
C
9. 计算:$3(2x + 1)-6x= $______。
答案:
3
10. 某商品原价为$a$元,如果按原价的八折销售,那么售价是______元。(用含字母$a$的代数式表示)
答案:
0.8a
11. 多项式$1 + 2xy - 3xy^{2}$的次数及最高次项的系数分别是______。
答案:
3,-3
查看更多完整答案,请扫码查看