第26页
- 第1页
- 第2页
- 第3页
- 第4页
- 第5页
- 第6页
- 第7页
- 第8页
- 第9页
- 第10页
- 第11页
- 第12页
- 第13页
- 第14页
- 第15页
- 第16页
- 第17页
- 第18页
- 第19页
- 第20页
- 第21页
- 第22页
- 第23页
- 第24页
- 第25页
- 第26页
- 第27页
- 第28页
- 第29页
- 第30页
- 第31页
- 第32页
- 第33页
- 第34页
- 第35页
- 第36页
- 第37页
- 第38页
- 第39页
- 第40页
- 第41页
- 第42页
- 第43页
- 第44页
- 第45页
- 第46页
- 第47页
- 第48页
- 第49页
- 第50页
- 第51页
- 第52页
- 第53页
- 第54页
- 第55页
- 第56页
- 第57页
- 第58页
- 第59页
- 第60页
- 第61页
- 第62页
- 第63页
- 第64页
- 第65页
- 第66页
- 第67页
- 第68页
- 第69页
- 第70页
- 第71页
- 第72页
- 第73页
- 第74页
- 第75页
- 第76页
- 第77页
- 第78页
- 第79页
- 第80页
8. 如图,直线$ AC // BD $,AO,BO分别是$ \angle BAC $,$ \angle ABD $的平分线,那么$ \angle BAO 与 \angle ABO $之间的大小关系一定为( )

A.互余
B.相等
C.互补
D.不等
A.互余
B.相等
C.互补
D.不等
答案:
【解析】:根据题目已知条件,直线$AC$平行于$BD$,$AO$是$\angle BAC$的平分线,$BO$是$\angle ABD$的平分线。
根据平行线的性质,当两直线平行时,它们之间的交替内角是相等的。所以,$\angle BAC + \angle ABD = 180^\circ$。
由于$AO$是$\angle BAC$的平分线,根据角的平分线的性质,可得$\angle BAO = \frac{1}{2} \angle BAC$。
同理,由于$BO$是$\angle ABD$的平分线,可得$\angle ABO = \frac{1}{2} \angle ABD$。
因此,$\angle BAO + \angle ABO = \frac{1}{2} \angle BAC + \frac{1}{2} \angle ABD = \frac{1}{2} (\angle BAC + \angle ABD) = \frac{1}{2} × 180^\circ = 90^\circ$。
由于$\angle BAO$和$\angle ABO$的和为$90^\circ$,根据互余角的定义(两个角的和为$90^\circ$),可以得出$\angle BAO$与$\angle ABO$是互余的。
【答案】:A
根据平行线的性质,当两直线平行时,它们之间的交替内角是相等的。所以,$\angle BAC + \angle ABD = 180^\circ$。
由于$AO$是$\angle BAC$的平分线,根据角的平分线的性质,可得$\angle BAO = \frac{1}{2} \angle BAC$。
同理,由于$BO$是$\angle ABD$的平分线,可得$\angle ABO = \frac{1}{2} \angle ABD$。
因此,$\angle BAO + \angle ABO = \frac{1}{2} \angle BAC + \frac{1}{2} \angle ABD = \frac{1}{2} (\angle BAC + \angle ABD) = \frac{1}{2} × 180^\circ = 90^\circ$。
由于$\angle BAO$和$\angle ABO$的和为$90^\circ$,根据互余角的定义(两个角的和为$90^\circ$),可以得出$\angle BAO$与$\angle ABO$是互余的。
【答案】:A
9. 如图,当剪刀口$ \angle AOB 增大 15^{\circ} $时,则$ \angle COD $增大______.

答案:
【解析】:
由题目的描述和图示可知,$\angle AOB$和$\angle COD$是对顶角,对顶角相等,并且它们同时变化。
因此,当$\angle AOB$增大$15^{\circ}$时,$\angle COD$也增大同样的度数,即$15^{\circ}$。
【答案】:
$15^{\circ}$
由题目的描述和图示可知,$\angle AOB$和$\angle COD$是对顶角,对顶角相等,并且它们同时变化。
因此,当$\angle AOB$增大$15^{\circ}$时,$\angle COD$也增大同样的度数,即$15^{\circ}$。
【答案】:
$15^{\circ}$
10. 已知$ \angle \alpha $是它的余角的2倍,则$ \angle \alpha = $______.
答案:
【解析】:
本题主要考查余角的概念及线性方程的解法。
余角是指两个角的和为$90^\circ$。
根据题意,设角$\alpha$的余角为$90^\circ - \alpha$,则有$\alpha = 2(90^\circ - \alpha)$。
现在,解这个方程以找出$\alpha$的值。
【答案】:
解:
根据余角的定义和题目条件,可以列出方程:
$\alpha = 2(90^\circ - \alpha)$,
展开方程得:
$\alpha = 180^\circ - 2\alpha$,
移项并合并同类项:
$3\alpha = 180^\circ$,
解得:
$\alpha = 60^\circ$。
故答案为:$60^\circ$。
本题主要考查余角的概念及线性方程的解法。
余角是指两个角的和为$90^\circ$。
根据题意,设角$\alpha$的余角为$90^\circ - \alpha$,则有$\alpha = 2(90^\circ - \alpha)$。
现在,解这个方程以找出$\alpha$的值。
【答案】:
解:
根据余角的定义和题目条件,可以列出方程:
$\alpha = 2(90^\circ - \alpha)$,
展开方程得:
$\alpha = 180^\circ - 2\alpha$,
移项并合并同类项:
$3\alpha = 180^\circ$,
解得:
$\alpha = 60^\circ$。
故答案为:$60^\circ$。
11. 如图,$ AB \perp AC $,$ AD \perp BC $,能表示点到直线的距离的线段有______条.

答案:
解:4
12. 如图,$ \angle A = 70^{\circ} $,O是AB上一点,直线OD与AB所夹的$ \angle AOD = 100^{\circ} $,要使$ OD // AC $,直线OD绕点O按逆时针方向至少旋转______.

答案:
解:要使 $ OD // AC $,根据两直线平行,同旁内角互补,可得 $ \angle AOD' + \angle A = 180^{\circ} $(设旋转后OD的位置为OD')。
已知 $ \angle A = 70^{\circ} $,则 $ \angle AOD' = 180^{\circ} - 70^{\circ} = 110^{\circ} $。
原来 $ \angle AOD = 100^{\circ} $,所以旋转的角度为 $ 110^{\circ} - 100^{\circ} = 10^{\circ} $。
10°
已知 $ \angle A = 70^{\circ} $,则 $ \angle AOD' = 180^{\circ} - 70^{\circ} = 110^{\circ} $。
原来 $ \angle AOD = 100^{\circ} $,所以旋转的角度为 $ 110^{\circ} - 100^{\circ} = 10^{\circ} $。
10°
13. 如图,直线AB,CD,EF相交于点O,$ \angle AOE = 30^{\circ} $,$ \angle BOC = 2 \angle AOC $,则$ \angle DOF = $______.

答案:
解:设∠AOC = x,则∠BOC = 2x。
因为∠AOC + ∠BOC = 180°,
所以x + 2x = 180°,解得x = 60°,即∠AOC = 60°。
因为∠AOE = 30°,
所以∠COE = ∠AOC - ∠AOE = 60° - 30° = 30°。
因为∠DOF与∠COE是对顶角,
所以∠DOF = ∠COE = 30°。
30°
因为∠AOC + ∠BOC = 180°,
所以x + 2x = 180°,解得x = 60°,即∠AOC = 60°。
因为∠AOE = 30°,
所以∠COE = ∠AOC - ∠AOE = 60° - 30° = 30°。
因为∠DOF与∠COE是对顶角,
所以∠DOF = ∠COE = 30°。
30°
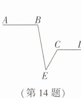
14. 如图,已知$ AB // CD $,$ \angle ABE = 100^{\circ} $,$ \angle BEC = 40^{\circ} $,则$ \angle ECD $的度数为______.

答案:
解:过点E作EF//AB。
因为AB//CD,所以EF//CD。
因为AB//EF,∠ABE=100°,所以∠BEF=180°-∠ABE=180°-100°=80°。
因为∠BEC=40°,所以∠FEC=∠BEF-∠BEC=80°-40°=40°。
因为EF//CD,所以∠ECD=∠FEC=40°。
40°
因为AB//CD,所以EF//CD。
因为AB//EF,∠ABE=100°,所以∠BEF=180°-∠ABE=180°-100°=80°。
因为∠BEC=40°,所以∠FEC=∠BEF-∠BEC=80°-40°=40°。
因为EF//CD,所以∠ECD=∠FEC=40°。
40°
15. 一大门的栏杆如图所示,BA垂直地面AE于点A,CD平行于地面AE,则$ \angle ABC + \angle BCD = $______度.

答案:
【解析】:本题可根据平行线的性质以及四边形内角和定理来求解$\angle ABC + \angle BCD$的度数。
步骤一:过点$B$作$BF// AE$
因为$CD// AE$,$BF// AE$,根据平行公理的推论:平行于同一条直线的两条直线互相平行,所以$CD// BF$。
步骤二:利用平行线的性质得到相关角的关系
因为$BA\perp AE$,$BF// AE$,所以$\angle ABF = 90^{\circ}$(两直线平行,同旁内角互补)。
由于$CD// BF$,根据两直线平行,同旁内角互补,可得$\angle BCD + \angle CBF = 180^{\circ}$。
步骤三:求$\angle ABC + \angle BCD$的度数
$\angle ABC + \angle BCD = \angle ABF + \angle FBC + \angle BCD$,将$\angle ABF = 90^{\circ}$,$\angle BCD + \angle CBF = 180^{\circ}$代入可得:
$\angle ABC + \angle BCD = 90^{\circ} + 180^{\circ} = 270^{\circ}$。
【答案】:$270$
步骤一:过点$B$作$BF// AE$
因为$CD// AE$,$BF// AE$,根据平行公理的推论:平行于同一条直线的两条直线互相平行,所以$CD// BF$。
步骤二:利用平行线的性质得到相关角的关系
因为$BA\perp AE$,$BF// AE$,所以$\angle ABF = 90^{\circ}$(两直线平行,同旁内角互补)。
由于$CD// BF$,根据两直线平行,同旁内角互补,可得$\angle BCD + \angle CBF = 180^{\circ}$。
步骤三:求$\angle ABC + \angle BCD$的度数
$\angle ABC + \angle BCD = \angle ABF + \angle FBC + \angle BCD$,将$\angle ABF = 90^{\circ}$,$\angle BCD + \angle CBF = 180^{\circ}$代入可得:
$\angle ABC + \angle BCD = 90^{\circ} + 180^{\circ} = 270^{\circ}$。
【答案】:$270$
16. 如图,把一张长方形纸条ABCD沿EF折叠,若$ \angle 1 = 58^{\circ} $,则$ \angle AEG = $______.

答案:
解:
∵四边形ABCD是长方形,
∴AD//BC,
∴∠DEF=∠1=58°,
由折叠的性质得:∠GEF=∠DEF=58°,
∵∠AEG+∠GEF+∠DEF=180°,
∴∠AEG=180°-∠GEF-∠DEF=180°-58°-58°=64°。
故答案为:64°。
∵四边形ABCD是长方形,
∴AD//BC,
∴∠DEF=∠1=58°,
由折叠的性质得:∠GEF=∠DEF=58°,
∵∠AEG+∠GEF+∠DEF=180°,
∴∠AEG=180°-∠GEF-∠DEF=180°-58°-58°=64°。
故答案为:64°。
17. (6分)如图,已知$ \angle \alpha 和 \angle \beta $.利用尺规作图,求作$ \angle AOC $,使$ \angle AOC = \angle \alpha - \angle \beta $.

答案:
【解析】:
本题考查尺规作图作一个角等于已知角以及角的和差关系,需要先作出一个角等于$\angle\alpha$,再在其内部以这个角的一边为边作一个角等于$\angle\beta$,两角的差即为所求$\angle AOC$。
【答案】:
解:
1. 作$\angle AOB = \angle\alpha$。
以点$O$为圆心,任意长为半径画弧,分别交$\angle\alpha$的两边于点$M$、$N$。
以点$O$为圆心,同样长为半径画弧,交$OA$于点$P$。
以点$P$为圆心,$MN$长为半径画弧,与前弧交于点$Q$,连接$OQ$并延长,则$\angle AOB = \angle\alpha$。
2. 在$\angle AOB$内部,以$OB$为一边作$\angle BOC = \angle\beta$。
以点$O$为圆心,任意长为半径画弧,交$\angle\beta$的两边于点$S$、$T$。
以点$O$为圆心,同样长为半径画弧,交$OB$于点$R$。
以点$R$为圆心,$ST$长为半径画弧,与前弧交于点$U$,连接$OU$并延长,则$\angle BOC = \angle\beta$。
3. 此时$\angle AOC = \angle AOB - \angle BOC = \angle\alpha - \angle\beta$。
图略。
本题考查尺规作图作一个角等于已知角以及角的和差关系,需要先作出一个角等于$\angle\alpha$,再在其内部以这个角的一边为边作一个角等于$\angle\beta$,两角的差即为所求$\angle AOC$。
【答案】:
解:
1. 作$\angle AOB = \angle\alpha$。
以点$O$为圆心,任意长为半径画弧,分别交$\angle\alpha$的两边于点$M$、$N$。
以点$O$为圆心,同样长为半径画弧,交$OA$于点$P$。
以点$P$为圆心,$MN$长为半径画弧,与前弧交于点$Q$,连接$OQ$并延长,则$\angle AOB = \angle\alpha$。
2. 在$\angle AOB$内部,以$OB$为一边作$\angle BOC = \angle\beta$。
以点$O$为圆心,任意长为半径画弧,交$\angle\beta$的两边于点$S$、$T$。
以点$O$为圆心,同样长为半径画弧,交$OB$于点$R$。
以点$R$为圆心,$ST$长为半径画弧,与前弧交于点$U$,连接$OU$并延长,则$\angle BOC = \angle\beta$。
3. 此时$\angle AOC = \angle AOB - \angle BOC = \angle\alpha - \angle\beta$。
图略。
查看更多完整答案,请扫码查看