第45页
- 第1页
- 第2页
- 第3页
- 第4页
- 第5页
- 第6页
- 第7页
- 第8页
- 第9页
- 第10页
- 第11页
- 第12页
- 第13页
- 第14页
- 第15页
- 第16页
- 第17页
- 第18页
- 第19页
- 第20页
- 第21页
- 第22页
- 第23页
- 第24页
- 第25页
- 第26页
- 第27页
- 第28页
- 第29页
- 第30页
- 第31页
- 第32页
- 第33页
- 第34页
- 第35页
- 第36页
- 第37页
- 第38页
- 第39页
- 第40页
- 第41页
- 第42页
- 第43页
- 第44页
- 第45页
- 第46页
- 第47页
- 第48页
- 第49页
- 第50页
- 第51页
- 第52页
- 第53页
- 第54页
- 第55页
- 第56页
- 第57页
- 第58页
- 第59页
- 第60页
- 第61页
- 第62页
- 第63页
- 第64页
- 第65页
- 第66页
- 第67页
- 第68页
- 第69页
- 第70页
- 第71页
- 第72页
- 第73页
- 第74页
- 第75页
- 第76页
- 第77页
- 第78页
- 第79页
- 第80页
- 第81页
- 第82页
- 第83页
- 第84页
- 第85页
- 第86页
- 第87页
- 第88页
- 第89页
- 第90页
- 第91页
- 第92页
- 第93页
- 第94页
- 第95页
7. 一辆汽车在某次行驶过程中,油箱中的剩余油量$y$(L)与行驶路程$x$(km)之间是一次函数关系,其部分图象如图17.3 - 4 - 1所示.

(1) 求$y$关于$x$的函数表达式(不必写自变量的取值范围);
(2) 已知当油箱中的剩余油量为8 L时,该汽车会亮黄灯提示加油. 在一次加满油的行驶过程中,当行驶了500 km时,司机发现离前方最近的加油站有30 km的路程,在开往该加油站的途中,汽车亮黄灯提示加油,这时离加油站的路程是多少千米?
(1) 求$y$关于$x$的函数表达式(不必写自变量的取值范围);
(2) 已知当油箱中的剩余油量为8 L时,该汽车会亮黄灯提示加油. 在一次加满油的行驶过程中,当行驶了500 km时,司机发现离前方最近的加油站有30 km的路程,在开往该加油站的途中,汽车亮黄灯提示加油,这时离加油站的路程是多少千米?
答案:
(1) $y=-\frac{1}{10}x + 60$
(2) 10 km
(1) $y=-\frac{1}{10}x + 60$
(2) 10 km
8. 若直线$y = ax + 2$与直线$y = bx - 3$的交点在$x$轴上,则$\frac{a}{b}$的值为( ).
A. $\frac{2}{3}$
B. $-\frac{2}{3}$
C. $\frac{3}{2}$
D. $-\frac{3}{2}$
A. $\frac{2}{3}$
B. $-\frac{2}{3}$
C. $\frac{3}{2}$
D. $-\frac{3}{2}$
答案:
B
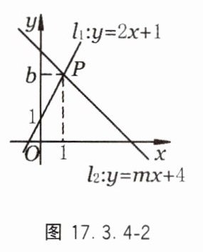
9. 如图17.3.4 - 2,直线$l_{1}$:$y = 2x + 1$与直线$l_{2}$:$y = mx + 4$相交于点$P(1,b)$.

(1) 求$b$、$m$的值;
(2) 垂直于$x$轴的直线$x = a$与直线$l_{1}$、$l_{2}$分别交于点$C$、$D$,若线段$CD$的长为2,求$a$的值.
(1) 求$b$、$m$的值;
(2) 垂直于$x$轴的直线$x = a$与直线$l_{1}$、$l_{2}$分别交于点$C$、$D$,若线段$CD$的长为2,求$a$的值.
答案:
(1) $b = 3$,$m=-1$
(2) $\frac{1}{3}$或$\frac{5}{3}$
(1) $b = 3$,$m=-1$
(2) $\frac{1}{3}$或$\frac{5}{3}$
10. 【问题背景】“刻漏”是我国古代的一种利用水流计时的工具. 如图17.3.4 - 3,综合实践小组准备用甲、乙两个透明的竖直放置的容器和一根带节流阀(控制水的流速大小)的软管制作简易计时装置.
【实验操作】综合实践小组设计了如下的实验:先在甲容器里加满水,此时水面高度为30 cm,开始放水后每隔10 min观察一次甲容器中的水面高度,获得的数据大致如下表格所示.

任务1:分别计算表格中每隔10 min水面高度观察值的变化,你能得出什么结论?
【建立模型】
小组讨论发现:“$t = 0$,$h = 30$”是初始状态下的准确数据,水面高度$h$和流水时间$t$满足一次函数关系.
任务2:请根据表格中的数据求水面高度$h$与流水时间$t$的函数解析式.
【模型应用】综合实践小组利用建立的模型,预测了后续的水面高度.
任务3:当流水时间为100 min时,求水面高度$h$的值.
任务4:当甲容器中的水全部流入乙容器时,实验结束,求实验结束的时间.

【实验操作】综合实践小组设计了如下的实验:先在甲容器里加满水,此时水面高度为30 cm,开始放水后每隔10 min观察一次甲容器中的水面高度,获得的数据大致如下表格所示.
任务1:分别计算表格中每隔10 min水面高度观察值的变化,你能得出什么结论?
【建立模型】
小组讨论发现:“$t = 0$,$h = 30$”是初始状态下的准确数据,水面高度$h$和流水时间$t$满足一次函数关系.
任务2:请根据表格中的数据求水面高度$h$与流水时间$t$的函数解析式.
【模型应用】综合实践小组利用建立的模型,预测了后续的水面高度.
任务3:当流水时间为100 min时,求水面高度$h$的值.
任务4:当甲容器中的水全部流入乙容器时,实验结束,求实验结束的时间.
答案:
任务1:每隔10 min,水面高度减少1 cm 任务2:$h=-0.1t + 30$ 任务3:20 cm 任务4:300 min
查看更多完整答案,请扫码查看