第33页
- 第1页
- 第2页
- 第3页
- 第4页
- 第5页
- 第6页
- 第7页
- 第8页
- 第9页
- 第10页
- 第11页
- 第12页
- 第13页
- 第14页
- 第15页
- 第16页
- 第17页
- 第18页
- 第19页
- 第20页
- 第21页
- 第22页
- 第23页
- 第24页
- 第25页
- 第26页
- 第27页
- 第28页
- 第29页
- 第30页
- 第31页
- 第32页
- 第33页
- 第34页
- 第35页
- 第36页
- 第37页
- 第38页
- 第39页
- 第40页
- 第41页
- 第42页
- 第43页
- 第44页
- 第45页
- 第46页
- 第47页
- 第48页
- 第49页
- 第50页
- 第51页
- 第52页
- 第53页
- 第54页
- 第55页
- 第56页
- 第57页
- 第58页
- 第59页
- 第60页
- 第61页
- 第62页
- 第63页
- 第64页
- 第65页
- 第66页
- 第67页
- 第68页
- 第69页
- 第70页
- 第71页
- 第72页
- 第73页
- 第74页
- 第75页
- 第76页
- 第77页
- 第78页
- 第79页
- 第80页
- 第81页
- 第82页
- 第83页
- 第84页
- 第85页
- 第86页
- 第87页
- 第88页
- 第89页
- 第90页
- 第91页
- 第92页
- 第93页
- 第94页
- 第95页
1. 下列函数中, 不属于一次函数的是 ( ).
A. $y=3x$
B. $y=3x-2$
C. $y=2x^2+3$
D. $y=2-3x$
A. $y=3x$
B. $y=3x-2$
C. $y=2x^2+3$
D. $y=2-3x$
答案:
C
2. 某种弹簧原长 10 cm, 在一定的弹性限度内, 每挂重物 1 kg, 弹簧就伸长 0.2 cm, 挂上重物后弹簧的长度 $y$ (cm) 与所挂上的重物 $x$ (kg) 之间的函数表达式为 ___________.
答案:
$y = 0.2x + 10$
3. 已知关于 $x$ 的函数 $y=(m-3)x+m$, 当 $m$ ________ 时, 它是正比例函数; 当 $m$ ________ 时, 它是一次函数.
答案:
$=0$@@$\neq3$
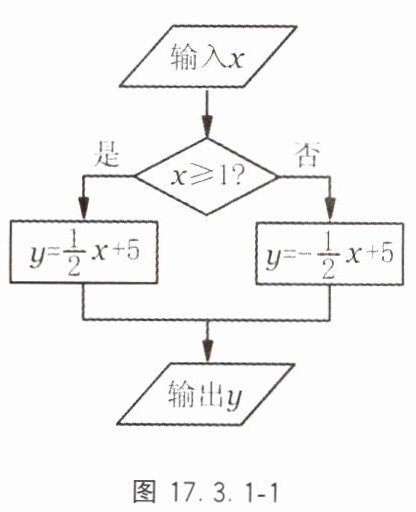
4. 根据图 17.3.1-1 中的程序, 当输入的数值 $x$ 为 -2 时, 输出的数值 $y$ 为 ___________.

答案:
6
5. 某市为了鼓励居民节约用水, 对自来水用户按如下收费标准: 若每户每月用水不超过 12 m³, 按 1.5 元/m³ 收费; 若超过 12 m³, 则超过的部分按 2.5 元/m³ 收费. 若某用户用水量为 $x$ (m³), 请分别写出当 $0 \leqslant x \leqslant 12$ 和 $x > 12$ 时, 交纳水费 $y$ (元) 与 $x$ 之间的函数表达式, 并指出它们分别属于哪类函数.
答案:
略
查看更多完整答案,请扫码查看