2025年练习生高中数学必修第二册人教B版
注:目前有些书本章节名称可能整理的还不是很完善,但都是按照顺序排列的,请同学们按照顺序仔细查找。练习册 2025年练习生高中数学必修第二册人教B版 答案主要是用来给同学们做完题方便对答案用的,请勿直接抄袭。
第4页
- 第1页
- 第2页
- 第3页
- 第4页
- 第5页
- 第6页
- 第7页
- 第8页
- 第9页
- 第10页
- 第11页
- 第12页
- 第13页
- 第14页
- 第15页
- 第16页
- 第17页
- 第18页
- 第19页
- 第20页
- 第21页
- 第22页
- 第23页
- 第24页
- 第25页
- 第26页
- 第27页
- 第28页
- 第29页
- 第30页
- 第31页
- 第32页
- 第33页
- 第34页
- 第35页
- 第36页
- 第37页
- 第38页
- 第39页
- 第40页
- 第41页
- 第42页
- 第43页
- 第44页
- 第45页
- 第46页
- 第47页
- 第48页
- 第49页
- 第50页
- 第51页
- 第52页
- 第53页
- 第54页
- 第55页
- 第56页
- 第57页
- 第58页
- 第59页
- 第60页
- 第61页
- 第62页
- 第63页
- 第64页
- 第65页
- 第66页
- 第67页
- 第68页
- 第69页
- 第70页
- 第71页
- 第72页
- 第73页
- 第74页
- 第75页
- 第76页
- 第77页
- 第78页
- 第79页
- 第80页
- 第81页
- 第82页
- 第83页
- 第84页
- 第85页
- 第86页
- 第87页
- 第88页
- 第89页
- 第90页
- 第91页
- 第92页
- 第93页
- 第94页
- 第95页
- 第96页
19. 化简 $(1 + 2^{-\frac{1}{32}})(1 + 2^{-\frac{1}{16}})(1 + 2^{-\frac{1}{8}})(1 + 2^{-\frac{1}{4}}) · (1 + 2^{-\frac{1}{2}})$ 的结果为 (
A.$\frac{1}{2}(1 - 2^{-\frac{1}{32}})$
B.$\frac{1}{2}(1 - 2^{-\frac{1}{32}})^{-1}$
C.$(1 + 2^{-\frac{1}{32}})^{-1}$
D.$\frac{1}{2}$
B
)A.$\frac{1}{2}(1 - 2^{-\frac{1}{32}})$
B.$\frac{1}{2}(1 - 2^{-\frac{1}{32}})^{-1}$
C.$(1 + 2^{-\frac{1}{32}})^{-1}$
D.$\frac{1}{2}$
答案:
19. B 思维路径:原式乘$\frac{1}{1 - 2^{-\frac{1}{32}}}\left(1 - 2^{-\frac{1}{32}}\right)$→逐步利用平方差化简。
[解析]原式$=\frac{1}{1 - 2^{-\frac{1}{32}}}\left(1 - 2^{-\frac{1}{32}}\right)\left(1 + 2^{-\frac{1}{32}}\right)\left(1 + 2^{-\frac{1}{16}}\right)×\left(1 + 2^{-\frac{1}{8}}\right)\left(1 + 2^{-\frac{1}{4}}\right)\left(1 + 2^{-\frac{1}{2}}\right)=\frac{1}{1 - 2^{-\frac{1}{32}}}\left(1 - 2^{-\frac{1}{16}}\right)×\left(1 + 2^{-\frac{1}{16}}\right)\left(1 + 2^{-\frac{1}{8}}\right)\left(1 + 2^{-\frac{1}{4}}\right)\left(1 + 2^{-\frac{1}{2}}\right)=\frac{1}{1 - 2^{-\frac{1}{32}}}×\left(1 - 2^{-\frac{1}{8}}\right)\left(1 + 2^{-\frac{1}{8}}\right)\left(1 + 2^{-\frac{1}{4}}\right)\left(1 + 2^{-\frac{1}{2}}\right)=\frac{1}{1 - 2^{-\frac{1}{32}}}×\left(1 - 2^{-\frac{1}{4}}\right)\left(1 + 2^{-\frac{1}{4}}\right)\left(1 + 2^{-\frac{1}{2}}\right)=\frac{1}{1 - 2^{-\frac{1}{32}}}\left(1 - 2^{-\frac{1}{2}}\right)×\left(1 + 2^{-\frac{1}{2}}\right)=\frac{1}{1 - 2^{-\frac{1}{32}}}×\frac{1}{2}=\frac{1}{2}\left(1 - 2^{-\frac{1}{32}}\right)^{-1}$。故选B。
方法总结:$(1 + a^x)(1 + a^{2x})=\frac{1}{1 - a^x}(1 - a^x)(1 + a^x)(1 + a^{2x})=\frac{1 - a^{4x}}{1 - a^x}$。
[解析]原式$=\frac{1}{1 - 2^{-\frac{1}{32}}}\left(1 - 2^{-\frac{1}{32}}\right)\left(1 + 2^{-\frac{1}{32}}\right)\left(1 + 2^{-\frac{1}{16}}\right)×\left(1 + 2^{-\frac{1}{8}}\right)\left(1 + 2^{-\frac{1}{4}}\right)\left(1 + 2^{-\frac{1}{2}}\right)=\frac{1}{1 - 2^{-\frac{1}{32}}}\left(1 - 2^{-\frac{1}{16}}\right)×\left(1 + 2^{-\frac{1}{16}}\right)\left(1 + 2^{-\frac{1}{8}}\right)\left(1 + 2^{-\frac{1}{4}}\right)\left(1 + 2^{-\frac{1}{2}}\right)=\frac{1}{1 - 2^{-\frac{1}{32}}}×\left(1 - 2^{-\frac{1}{8}}\right)\left(1 + 2^{-\frac{1}{8}}\right)\left(1 + 2^{-\frac{1}{4}}\right)\left(1 + 2^{-\frac{1}{2}}\right)=\frac{1}{1 - 2^{-\frac{1}{32}}}×\left(1 - 2^{-\frac{1}{4}}\right)\left(1 + 2^{-\frac{1}{4}}\right)\left(1 + 2^{-\frac{1}{2}}\right)=\frac{1}{1 - 2^{-\frac{1}{32}}}\left(1 - 2^{-\frac{1}{2}}\right)×\left(1 + 2^{-\frac{1}{2}}\right)=\frac{1}{1 - 2^{-\frac{1}{32}}}×\frac{1}{2}=\frac{1}{2}\left(1 - 2^{-\frac{1}{32}}\right)^{-1}$。故选B。
方法总结:$(1 + a^x)(1 + a^{2x})=\frac{1}{1 - a^x}(1 - a^x)(1 + a^x)(1 + a^{2x})=\frac{1 - a^{4x}}{1 - a^x}$。
20. 已知 $a = \frac{2021^4 + 1}{2021^3 + 1},b = \frac{2021^5 + 1}{2021^4 + 1}$,则 $a$ 与 $b$ 之间的大小关系是 (
A.$a > b$
B.$a < b$
C.$a = b$
D.无法比较
B
)A.$a > b$
B.$a < b$
C.$a = b$
D.无法比较
答案:
20. B [解析]$\because a=\frac{2021^4 + 1}{2021^3 + 1}=1+\frac{2021^4 - 2021^3}{2021^3 + 1}=1+\frac{2020×2021^3}{2021^3 + 1}$(裂项分离常数),$\therefore a - 1=\frac{2020×2021^3}{2021^3 + 1}$。同理$b - 1=\frac{2020×2021^4}{2021^4 + 1}$。$\because \frac{2020×2021^4}{2021^4 + 1}\gt\frac{2020×2021^4}{2021^4 + 2021}=\frac{2020×2021^3}{2021^3 + 1}$,$\therefore b - 1\gt a - 1$,$\therefore a\lt b$。故选B。
21. [2022·福建莆田第四中学高一期中]$8^{\frac{2}{3}} + \sqrt{(1 - \sqrt{3})^2} + \sqrt[3]{(1 - \sqrt{3})^3} + (\sqrt[3]{3} × \sqrt{3})^6 =$
247
.
答案:
21. 247 [解析]$8^{\frac{2}{3}}+\sqrt{(1 - \sqrt{3})^2}+\sqrt[3]{(1 - \sqrt{3})^3}+(\sqrt[3]{3}×\sqrt{3})^6=4+\sqrt{3}-1+1-\sqrt{3}+\left(3^{\frac{1}{3}}×3^{\frac{1}{2}}\right)^6=4+243=247$。
22. 若代数式 $\sqrt{2x - 1} + \sqrt{2 - x}$ 有意义,则 $\sqrt{4x^2 - 4x + 1} + 2x\sqrt[4]{(x - 2)^4} =$
3
.
答案:
22. 3 [解析]由题意得$\begin{cases}2x - 1\geq0\\2 - x\geq0\end{cases}$,解得$\frac{1}{2}\leq x\leq2$。$\sqrt{4x^2 - 4x + 1}+2x\sqrt[4]{(x - 2)^4}=\sqrt{(2x - 1)^2}+2x\sqrt[4]{(x - 2)^4}=|2x - 1|+2|x - 2|=2x - 1+4 - 2x=3$。
23. 已知 $x > 0,r \in \mathbf{N}^*,r \leq 5$,若式子 $(\sqrt[3]{x})^{5 - r}(-\frac{3}{\sqrt{x}})^r$ 表示一个常数,则 $r =$
2
.
答案:
23. 2 [解析]因为$(\sqrt[3]{x^5})^{-r}·\left(-\frac{3}{\sqrt{x}}\right)^r=(-3)^r x^{\frac{5r}{3}}· x^{-\frac{r}{2}}=(-3)^r x^{\frac{5r}{3}-\frac{r}{2}}=(-3)^r x^{\frac{10r - 5r}{6}}$(分别按常数与未知数进行计算整理)表示一个常数,所以$\frac{10r - 5r}{6}=0$,解得$r = 2$。方法总结:一个含有未知数的代数式要为常数,有两种可能:
(1)若代数式的未知数为字母的系数,则可考虑字母系数为$0$;
(2)若代数式的未知数为字母的指数,则可考虑字母的指数为$0$。
(1)若代数式的未知数为字母的系数,则可考虑字母系数为$0$;
(2)若代数式的未知数为字母的指数,则可考虑字母的指数为$0$。
24. 设 $x = \sqrt{10},y$ 是 $x$ 的小数部分,求 $(\frac{1}{y} - x + y)^{\frac{2}{3}}$ 的值.
答案:
24. [解]由已知条件得$y=\sqrt{10}-3$。$\left(\frac{1}{y}-x+y\right)^{\frac{2}{3}}=\left(\frac{1}{\sqrt{10}-3}-\sqrt{10}+\sqrt{10}-3\right)^{\frac{2}{3}}=\left(\frac{\sqrt{10}+3}{10 - 9}-3\right)^{\frac{2}{3}}=(\sqrt{10})^{\frac{2}{3}}=10^{\frac{1}{2}×\frac{2}{3}}=\sqrt[3]{10}$。
25. [2022·江西高一联考]已知 $a,b(a > b)$ 是方程 $x^2 - 5x + 5 = 0$ 的两根,求 $\frac{\sqrt{a} - \sqrt{b}}{\sqrt{a} + \sqrt{b}} + \frac{\sqrt{a} + \sqrt{b}}{\sqrt{a} - \sqrt{b}}$ 的值.
答案:
25. [解]由根与系数的关系,得$a + b = 5$,$ab = 5$。$(a - b)^2=(a + b)^2-4ab=5^2-4×5=5$。$\because a\gt b$,$\therefore a - b=\sqrt{5}$,$\therefore\frac{\sqrt{a}-\sqrt{b}}{\sqrt{a}+\sqrt{b}}+\frac{\sqrt{a}+\sqrt{b}}{\sqrt{a}-\sqrt{b}}=\frac{(\sqrt{a}-\sqrt{b})^2+(\sqrt{a}+\sqrt{b})^2}{(\sqrt{a}+\sqrt{b})(\sqrt{a}-\sqrt{b})}=\frac{a - 2\sqrt{ab}+b+a + 2\sqrt{ab}+b}{a - b}$(分母互为有理化因式的两个分母通常采取通分化简)$=\frac{2(a + b)}{\sqrt{5}}=\frac{10}{\sqrt{5}}=2\sqrt{5}$。
26. [2022·江苏徐州高一期中]已知 $a > 0$,且 $a^{2x} = \sqrt{2} - 1$,求下列代数式的值.
(1)$(a^x + a^{-x})(a^x - a^{-x})$;
(2)$\frac{a^x + a^{-x}}{a^x - a^{-x}}$;
(3)$\frac{a^{3x} + a^{-3x}}{a^x + a^{-x}}$.
(1)$(a^x + a^{-x})(a^x - a^{-x})$;
(2)$\frac{a^x + a^{-x}}{a^x - a^{-x}}$;
(3)$\frac{a^{3x} + a^{-3x}}{a^x + a^{-x}}$.
答案:
26. [解]
(1)原式$=a^{2x}-a^{-2x}=(\sqrt{2}-1)-\frac{1}{\sqrt{2}-1}=(\sqrt{2}-1)-(\sqrt{2}+1)=-2$。
(2)原式$=\frac{(a^x+a^{-x})(a^x+a^{-x})}{(a^x-a^{-x})(a^x+a^{-x})}=\frac{(a^x+a^{-x})^2}{a^{2x}-a^{-2x}}=\frac{a^{2x}+a^{-2x}+2}{-2}=\frac{2\sqrt{2}+2}{-2}=-\sqrt{2}-1$(对所求代数式进行变换的目标,就是用$a^{2x}$来表示)。
(3)原式$=\frac{(a^x+a^{-x})(a^{2x}-a^x· a^{-x}+a^{-2x})}{a^x+a^{-x}}$[立方和公式$a^3+b^3=(a+b)(a^2-ab+b^2)$的应用]$=a^{2x}+a^{-2x}-1=\sqrt{2}-1+\frac{1}{\sqrt{2}-1}-1=2\sqrt{2}-1$。
方法总结:掌握以下公式:$(a^x+a^{-x})^2=a^{2x}+a^{-2x}+2$,$(a^x-a^{-x})^2=a^{2x}+a^{-2x}-2$。这两个公式中涉及三个代数式:$a^x+a^{-x}$,$a^x-a^{-x}$,$a^{2x}+a^{-2x}$,只要知道其中一个代数式的值,就可以求得其他两个代数式的值。
(1)原式$=a^{2x}-a^{-2x}=(\sqrt{2}-1)-\frac{1}{\sqrt{2}-1}=(\sqrt{2}-1)-(\sqrt{2}+1)=-2$。
(2)原式$=\frac{(a^x+a^{-x})(a^x+a^{-x})}{(a^x-a^{-x})(a^x+a^{-x})}=\frac{(a^x+a^{-x})^2}{a^{2x}-a^{-2x}}=\frac{a^{2x}+a^{-2x}+2}{-2}=\frac{2\sqrt{2}+2}{-2}=-\sqrt{2}-1$(对所求代数式进行变换的目标,就是用$a^{2x}$来表示)。
(3)原式$=\frac{(a^x+a^{-x})(a^{2x}-a^x· a^{-x}+a^{-2x})}{a^x+a^{-x}}$[立方和公式$a^3+b^3=(a+b)(a^2-ab+b^2)$的应用]$=a^{2x}+a^{-2x}-1=\sqrt{2}-1+\frac{1}{\sqrt{2}-1}-1=2\sqrt{2}-1$。
方法总结:掌握以下公式:$(a^x+a^{-x})^2=a^{2x}+a^{-2x}+2$,$(a^x-a^{-x})^2=a^{2x}+a^{-2x}-2$。这两个公式中涉及三个代数式:$a^x+a^{-x}$,$a^x-a^{-x}$,$a^{2x}+a^{-2x}$,只要知道其中一个代数式的值,就可以求得其他两个代数式的值。
27. (1)已知 $2^x + 2^{-x} = 3$,求 $8^x + 8^{-x}$ 的值;
(2)已知 $a = -\frac{8}{27},b = \frac{17}{71}$,求 $\frac{a^{\frac{2}{3}} + 3a^{\frac{1}{3}}b^{\frac{1}{3}} + (3\sqrt[3]{b})^2}{a^{\frac{4}{3}} - 27a^{\frac{1}{3}}b} ÷ \frac{a^{\frac{1}{3}}}{\sqrt[3]{a} - 3\sqrt[3]{b}}$ 的值.
(2)已知 $a = -\frac{8}{27},b = \frac{17}{71}$,求 $\frac{a^{\frac{2}{3}} + 3a^{\frac{1}{3}}b^{\frac{1}{3}} + (3\sqrt[3]{b})^2}{a^{\frac{4}{3}} - 27a^{\frac{1}{3}}b} ÷ \frac{a^{\frac{1}{3}}}{\sqrt[3]{a} - 3\sqrt[3]{b}}$ 的值.
答案:
27. [解]
(1)$8^x+8^{-x}=(2^x)^3+(2^{-x})^3=(2^x+2^{-x})[(2^x)^2-2^x×2^{-x}+(2^{-x})^2]=3[(2^x+2^{-x})^2-3×2^x×2^{-x}]=3×(3^2-3)=18$。
(2)$\because a\neq0$,$a - 27b\neq0$,$a = -\frac{8}{27}$,
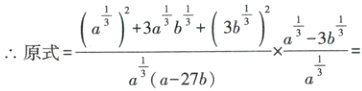
$\therefore$原式$=\frac{\left(a^{\frac{1}{3}}\right)^2+3a^{\frac{1}{3}}b^{\frac{1}{3}}+\left(3b^{\frac{1}{3}}\right)^2}{a^{\frac{1}{3}}(a - 27b)}×\frac{a^{\frac{1}{3}}-3b^{\frac{1}{3}}}{a^{\frac{1}{3}}}=\frac{\left(a^{\frac{1}{3}}\right)^3-\left(3b^{\frac{1}{3}}\right)^3}{a^{\frac{2}{3}}(a - 27b)}=a^{-\frac{2}{3}}=\left(-\frac{8}{27}\right)^{-\frac{2}{3}}=\left(-\frac{2}{3}\right)^{-2}=\frac{9}{4}$。
27. [解]
(1)$8^x+8^{-x}=(2^x)^3+(2^{-x})^3=(2^x+2^{-x})[(2^x)^2-2^x×2^{-x}+(2^{-x})^2]=3[(2^x+2^{-x})^2-3×2^x×2^{-x}]=3×(3^2-3)=18$。
(2)$\because a\neq0$,$a - 27b\neq0$,$a = -\frac{8}{27}$,
$\therefore$原式$=\frac{\left(a^{\frac{1}{3}}\right)^2+3a^{\frac{1}{3}}b^{\frac{1}{3}}+\left(3b^{\frac{1}{3}}\right)^2}{a^{\frac{1}{3}}(a - 27b)}×\frac{a^{\frac{1}{3}}-3b^{\frac{1}{3}}}{a^{\frac{1}{3}}}=\frac{\left(a^{\frac{1}{3}}\right)^3-\left(3b^{\frac{1}{3}}\right)^3}{a^{\frac{2}{3}}(a - 27b)}=a^{-\frac{2}{3}}=\left(-\frac{8}{27}\right)^{-\frac{2}{3}}=\left(-\frac{2}{3}\right)^{-2}=\frac{9}{4}$。
28. 已知 $b > a > 0,n > 1,n \in \mathbf{N}^*$,化简 $\sqrt[n]{(a - b)^n} + (\sqrt[n]{a + b})^n$.
答案:
28. [解]当$n = 2k + 1(k\in\mathbf{N}^*)$时,原式$=a - b + a + b = 2a$;当$n = 2k(k\in\mathbf{N}^*)$时,原式$=|a - b|+a + b = b - a + a + b = 2b$。综上所述,$\sqrt[n]{(a - b)^n}+(\sqrt[n]{a + b})^n=\begin{cases}2a,n = 2k + 1,k\in\mathbf{N}^*\\2b,n = 2k,k\in\mathbf{N}^*\end{cases}$易错规避:注意区分$\sqrt[n]{a^n}=\begin{cases}a,n 为奇数\\|a|,n 为偶数\end{cases}$与$(\sqrt[n]{a})^n=a$。
查看更多完整答案,请扫码查看