2025年赢在暑假抢分计划八年级数学人教版
注:目前有些书本章节名称可能整理的还不是很完善,但都是按照顺序排列的,请同学们按照顺序仔细查找。练习册 2025年赢在暑假抢分计划八年级数学人教版 答案主要是用来给同学们做完题方便对答案用的,请勿直接抄袭。
第8页
- 第1页
- 第2页
- 第3页
- 第4页
- 第5页
- 第6页
- 第7页
- 第8页
- 第9页
- 第10页
- 第11页
- 第12页
- 第13页
- 第14页
- 第15页
- 第16页
- 第17页
- 第18页
- 第19页
- 第20页
- 第21页
- 第22页
- 第23页
- 第24页
- 第25页
- 第26页
- 第27页
- 第28页
- 第29页
- 第30页
- 第31页
- 第32页
- 第33页
- 第34页
- 第35页
- 第36页
- 第37页
- 第38页
- 第39页
- 第40页
- 第41页
- 第42页
- 第43页
- 第44页
- 第45页
- 第46页
- 第47页
- 第48页
- 第49页
- 第50页
- 第51页
- 第52页
- 第53页
- 第54页
- 第55页
- 第56页
- 第57页
- 第58页
- 第59页
- 第60页
- 第61页
- 第62页
- 第63页
- 第64页
- 第65页
- 第66页
- 第67页
- 第68页
- 第69页
- 第70页
- 第71页
- 第72页
- 第73页
- 第74页
17. (8分)如图,把一个长为10 m的梯子$AB$斜靠在墙上,测得$BM = 6\ m$,梯子沿墙下滑到$CD$位置,测得$\angle ABM = \angle DCM$,$DM = 8\ m$,求梯子下滑的高度。

答案:
解:在△ABM与△DCM中,
$\begin{cases}∠AMB = ∠DMC,\\∠ABM = ∠DCM,\\AB = DC.\end{cases}$
∴△ABM≌△DCM(AAS),
∴BM = CM = 6m,AM = DM = 8m,
∴AC = AM - CM = 2m.即梯子下滑的高度是2m.
$\begin{cases}∠AMB = ∠DMC,\\∠ABM = ∠DCM,\\AB = DC.\end{cases}$
∴△ABM≌△DCM(AAS),
∴BM = CM = 6m,AM = DM = 8m,
∴AC = AM - CM = 2m.即梯子下滑的高度是2m.
18. (8分)如图,在$Rt\triangle ABC$中,$\angle BAC = 90^{\circ}$,$AC = 2AB$,点$D是边AC$的中点,将一块含$45^{\circ}$角的直角三角板如图放置,使三角板斜边的两个端点分别与点$A$,$D$重合,连接$BE$,$EC$。试猜想线段$BE和EC$的数量及位置关系,并证明你的猜想。

答案:
解:BE=EC,BE⊥EC。
证明:
∵AC=2AB,点D是AC的中点,
∴AB=AD=CD。
∵∠EAD=∠EDA=45°,
∴∠EAB=∠BAC+∠EAD=90°+45°=135°,∠EDC=180°-∠EDA=180°-45°=135°,
∴∠EAB=∠EDC。
∵EA=ED,
∴△EAB≌△EDC(SAS),
∴BE=EC,∠AEB=∠DEC。
∵∠AED=90°,
∴∠BEC=∠AEB+∠BED=∠DEC+∠BED=∠AED=90°,
∴BE⊥EC。
综上,BE=EC且BE⊥EC。
证明:
∵AC=2AB,点D是AC的中点,
∴AB=AD=CD。
∵∠EAD=∠EDA=45°,
∴∠EAB=∠BAC+∠EAD=90°+45°=135°,∠EDC=180°-∠EDA=180°-45°=135°,
∴∠EAB=∠EDC。
∵EA=ED,
∴△EAB≌△EDC(SAS),
∴BE=EC,∠AEB=∠DEC。
∵∠AED=90°,
∴∠BEC=∠AEB+∠BED=∠DEC+∠BED=∠AED=90°,
∴BE⊥EC。
综上,BE=EC且BE⊥EC。
19. (9分)如图,在$\triangle ABC$中,$AC > AB$,$D是BA$延长线上一点,点$E是\angle CAD$平分线上一点,$EB = EC$。过点$E作EF \perp AC于点F$,$EG \perp AD于点G$。
(1)请你在不添加辅助线的情况下找出一对你认为全等的三角形,并加以证明;
(2)若$AB = 3$,$AC = 5$,求$AF$的长。

(1)请你在不添加辅助线的情况下找出一对你认为全等的三角形,并加以证明;
(2)若$AB = 3$,$AC = 5$,求$AF$的长。
答案:
解:
(1)△EGA≌△EFA(或△EGB≌△EFC).证明:
∵AE平分∠CAD,
∴∠EAG = ∠EAF.又
∵EF⊥AC,EG⊥AD,
∴∠EGA = ∠EFA = 90°.在△AEG和△AEF中,
$\begin{cases}∠EAG = ∠EAF,\\AE = AE,\\∠EGA = ∠EFA = 90°.\end{cases}$
∴△EGA≌△EFA(AAS);
(2)
∵AE平分∠CAD且EF⊥AC,EG⊥AD,
∴EG = EF,∠EGB = ∠EFC = 90°.在Rt△EGB和Rt△EFC中,
$\begin{cases}EG = EF,\\EB = EC.\end{cases}$
∴Rt△EGB≌Rt△EFC(HL).
∴BG = CF.又
∵BG = AB + AG,CF = AC - AF,
∴AB + AG = AC - AF.又
∵△EGA≌△EFA,
∴AG = AF.
∴2AF = AC - AB = 5 - 3 = 2.
∴AF = 1.
(1)△EGA≌△EFA(或△EGB≌△EFC).证明:
∵AE平分∠CAD,
∴∠EAG = ∠EAF.又
∵EF⊥AC,EG⊥AD,
∴∠EGA = ∠EFA = 90°.在△AEG和△AEF中,
$\begin{cases}∠EAG = ∠EAF,\\AE = AE,\\∠EGA = ∠EFA = 90°.\end{cases}$
∴△EGA≌△EFA(AAS);
(2)
∵AE平分∠CAD且EF⊥AC,EG⊥AD,
∴EG = EF,∠EGB = ∠EFC = 90°.在Rt△EGB和Rt△EFC中,
$\begin{cases}EG = EF,\\EB = EC.\end{cases}$
∴Rt△EGB≌Rt△EFC(HL).
∴BG = CF.又
∵BG = AB + AG,CF = AC - AF,
∴AB + AG = AC - AF.又
∵△EGA≌△EFA,
∴AG = AF.
∴2AF = AC - AB = 5 - 3 = 2.
∴AF = 1.
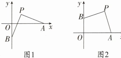
20. (12分)如图1,在平面直角坐标系中,$P(3,3)$,点$A$,$B分别在x轴正半轴和y$轴负半轴上,且$PA = PB$。
(1)求证:$PA \perp PB$;
(2)若点$A(9,0)$,则点$B$的坐标为
(3)当点$B在y$轴负半轴上运动时,求$OA - OB$的值;
(4)如图2,若点$B在y$轴正半轴上运动时,则$OA + OB$的值为

(1)求证:$PA \perp PB$;
(2)若点$A(9,0)$,则点$B$的坐标为
(0,-3)
;(3)当点$B在y$轴负半轴上运动时,求$OA - OB$的值;
(4)如图2,若点$B在y$轴正半轴上运动时,则$OA + OB$的值为
6
。
答案:
解:
(1)如图,过点P作PE⊥x轴于点E,作PF⊥y轴于点F.
∵P(3,3),
∴PE = PF = 3.在Rt△APE和Rt△BPF中,
$\begin{cases}PA = PB,\\PE = PF.\end{cases}$
∴Rt△APE≌Rt△BPF(HL),
∴∠APE = ∠BPF,
∴∠APB = ∠APE + ∠BPE = ∠BPF + ∠BPE = ∠EPF = 90°,
∴PA⊥PB;
(2)(0,-3)
(3)
∵Rt△APE≌Rt△BPF,
∴AE = BF.
∵AE = OA - OE = OA - 3,BF = OB + OF = OB + 3,
∴OA - 3 = OB + 3,
∴OA - OB = 6;
(4)6.
(1)如图,过点P作PE⊥x轴于点E,作PF⊥y轴于点F.
∵P(3,3),
∴PE = PF = 3.在Rt△APE和Rt△BPF中,
$\begin{cases}PA = PB,\\PE = PF.\end{cases}$
∴Rt△APE≌Rt△BPF(HL),
∴∠APE = ∠BPF,
∴∠APB = ∠APE + ∠BPE = ∠BPF + ∠BPE = ∠EPF = 90°,
∴PA⊥PB;
(2)(0,-3)
(3)
∵Rt△APE≌Rt△BPF,
∴AE = BF.
∵AE = OA - OE = OA - 3,BF = OB + OF = OB + 3,
∴OA - 3 = OB + 3,
∴OA - OB = 6;
(4)6.
查看更多完整答案,请扫码查看