2025年赢在暑假抢分计划八年级数学人教版
注:目前有些书本章节名称可能整理的还不是很完善,但都是按照顺序排列的,请同学们按照顺序仔细查找。练习册 2025年赢在暑假抢分计划八年级数学人教版 答案主要是用来给同学们做完题方便对答案用的,请勿直接抄袭。
第32页
- 第1页
- 第2页
- 第3页
- 第4页
- 第5页
- 第6页
- 第7页
- 第8页
- 第9页
- 第10页
- 第11页
- 第12页
- 第13页
- 第14页
- 第15页
- 第16页
- 第17页
- 第18页
- 第19页
- 第20页
- 第21页
- 第22页
- 第23页
- 第24页
- 第25页
- 第26页
- 第27页
- 第28页
- 第29页
- 第30页
- 第31页
- 第32页
- 第33页
- 第34页
- 第35页
- 第36页
- 第37页
- 第38页
- 第39页
- 第40页
- 第41页
- 第42页
- 第43页
- 第44页
- 第45页
- 第46页
- 第47页
- 第48页
- 第49页
- 第50页
- 第51页
- 第52页
- 第53页
- 第54页
- 第55页
- 第56页
- 第57页
- 第58页
- 第59页
- 第60页
- 第61页
- 第62页
- 第63页
- 第64页
- 第65页
- 第66页
- 第67页
- 第68页
- 第69页
- 第70页
- 第71页
- 第72页
- 第73页
- 第74页
17. (9分)(怀远县期中)如图,有一架秋千,当它静止时,踏板离地的垂直高度$DE = 1$ m,将它往前推送6 m(水平距离$BC = 6$ m)时,此时秋千的踏板离地的垂直高度$BF = 4$ m,秋千的绳索始终拉得很直,求绳索AD的长度。

答案:
解:设绳索AD的长度为$x$米。
因为秋千静止时踏板离地高度$DE = 1$米,推送后踏板离地高度$BF = 4$米,所以踏板上升的垂直距离为$4 - 1=3$米,即$CD = 3$米,那么$AC=AD - CD=x - 3$米。
在$Rt\triangle ACB$中,$AC$为垂直边,$BC = 6$米为水平边,$AB = AD=x$米为斜边,根据勾股定理可得:$AC^{2}+BC^{2}=AB^{2}$,即$(x - 3)^{2}+6^{2}=x^{2}$。
展开方程:$x^{2}-6x + 9+36=x^{2}$,化简得$-6x + 45=0$,解得$x = 7.5$。
答:绳索AD的长度是$7.5$米。
因为秋千静止时踏板离地高度$DE = 1$米,推送后踏板离地高度$BF = 4$米,所以踏板上升的垂直距离为$4 - 1=3$米,即$CD = 3$米,那么$AC=AD - CD=x - 3$米。
在$Rt\triangle ACB$中,$AC$为垂直边,$BC = 6$米为水平边,$AB = AD=x$米为斜边,根据勾股定理可得:$AC^{2}+BC^{2}=AB^{2}$,即$(x - 3)^{2}+6^{2}=x^{2}$。
展开方程:$x^{2}-6x + 9+36=x^{2}$,化简得$-6x + 45=0$,解得$x = 7.5$。
答:绳索AD的长度是$7.5$米。
18. (11分)如图,长方体盒子的长、宽、高分别是12 cm,8 cm,30 cm,在AB的中点C处有一滴蜜糖,一只小虫从E处沿盒子表面爬到C处去吃,求小虫爬行的最短路程。

答案:
解: 分为三种情况:
①如图 1, 连接 $EC$, 在 $Rt\triangle EBC$ 中, $EB=12+8=20$ cm, $BC=\frac{1}{2}× 30=15$ cm. 由勾股定理, 得 $EC=\sqrt{20^{2}+15^{2}}=25(cm)$;
②如图 2, 连接 $EC$. 根据勾股定理同理可求 $CE=\sqrt{12^{2}+(15+8)^{2}}=\sqrt{673}(cm)>25$ cm;
③如图 3, 连接 $EC$. 根据勾股定理同理可求 $CE=\sqrt{12^{2}+(30+8+15)^{2}}=\sqrt{2953}(cm)>25$ cm. 综上可知, 小虫爬行的最短路程是 25 cm.
①如图 1, 连接 $EC$, 在 $Rt\triangle EBC$ 中, $EB=12+8=20$ cm, $BC=\frac{1}{2}× 30=15$ cm. 由勾股定理, 得 $EC=\sqrt{20^{2}+15^{2}}=25(cm)$;
②如图 2, 连接 $EC$. 根据勾股定理同理可求 $CE=\sqrt{12^{2}+(15+8)^{2}}=\sqrt{673}(cm)>25$ cm;
③如图 3, 连接 $EC$. 根据勾股定理同理可求 $CE=\sqrt{12^{2}+(30+8+15)^{2}}=\sqrt{2953}(cm)>25$ cm. 综上可知, 小虫爬行的最短路程是 25 cm.
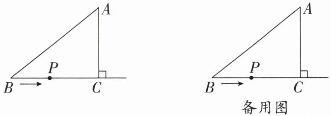
19. (14分)(宛城区校级期末)如图,在$Rt△ABC$中,$∠ACB = 90^{\circ}$,$AB = 5$ cm,$AC = 3$ cm,动点P从点B出发沿射线BC以2 cm/s的速度移动,设运动的时间为t s。
(1)求边BC的长;
(2)当$△ABP$为直角三角形时,求t的值。

(1)求边BC的长;
(2)当$△ABP$为直角三角形时,求t的值。
答案:
解:
(1) $\because \angle ACB=90^{\circ}, AB=5, AC=3, \therefore BC=\sqrt{5^{2}-3^{2}}=4$;
(2) 由题意知 $BP=2t$ cm.
①当 $\angle APB=90^{\circ}$ 时, 如图 1, 点 $P$ 与点 $C$ 重合, $BP=BC=4$ cm, $\therefore t=4÷ 2=2$;
②当 $\angle BAP=90^{\circ}$ 时, 如图 2, $CP=BP-BC=2t-4, AC=3$. 在 $Rt\triangle ACP$ 中, $AP^{2}=AC^{2}+CP^{2}=3^{2}+(2t-4)^{2}$, 在 $Rt\triangle BAP$ 中, $AP^{2}=BP^{2}-AB^{2}=(2t)^{2}-5^{2}$, 因此 $3^{2}+(2t-4)^{2}=(2t)^{2}-5^{2}$, 解得 $t=\frac{25}{8}$. 综上所述, $t$ 的值为 2 或 $\frac{25}{8}$.
(1) $\because \angle ACB=90^{\circ}, AB=5, AC=3, \therefore BC=\sqrt{5^{2}-3^{2}}=4$;
(2) 由题意知 $BP=2t$ cm.
①当 $\angle APB=90^{\circ}$ 时, 如图 1, 点 $P$ 与点 $C$ 重合, $BP=BC=4$ cm, $\therefore t=4÷ 2=2$;
②当 $\angle BAP=90^{\circ}$ 时, 如图 2, $CP=BP-BC=2t-4, AC=3$. 在 $Rt\triangle ACP$ 中, $AP^{2}=AC^{2}+CP^{2}=3^{2}+(2t-4)^{2}$, 在 $Rt\triangle BAP$ 中, $AP^{2}=BP^{2}-AB^{2}=(2t)^{2}-5^{2}$, 因此 $3^{2}+(2t-4)^{2}=(2t)^{2}-5^{2}$, 解得 $t=\frac{25}{8}$. 综上所述, $t$ 的值为 2 或 $\frac{25}{8}$.
查看更多完整答案,请扫码查看