2025年5年高考3年模拟高中物理必修第二册人教版江苏专版
注:目前有些书本章节名称可能整理的还不是很完善,但都是按照顺序排列的,请同学们按照顺序仔细查找。练习册 2025年5年高考3年模拟高中物理必修第二册人教版江苏专版 答案主要是用来给同学们做完题方便对答案用的,请勿直接抄袭。
第20页
- 第1页
- 第2页
- 第3页
- 第4页
- 第5页
- 第6页
- 第7页
- 第8页
- 第9页
- 第10页
- 第11页
- 第12页
- 第13页
- 第14页
- 第15页
- 第16页
- 第17页
- 第18页
- 第19页
- 第20页
- 第21页
- 第22页
- 第23页
- 第24页
- 第25页
- 第26页
- 第27页
- 第28页
- 第29页
- 第30页
- 第31页
- 第32页
- 第33页
- 第34页
- 第35页
- 第36页
- 第37页
- 第38页
- 第39页
- 第40页
- 第41页
- 第42页
- 第43页
- 第44页
- 第45页
- 第46页
- 第47页
- 第48页
- 第49页
- 第50页
- 第51页
- 第52页
- 第53页
- 第54页
- 第55页
- 第56页
- 第57页
- 第58页
- 第59页
- 第60页
- 第61页
- 第62页
- 第63页
- 第64页
- 第65页
- 第66页
- 第67页
- 第68页
- 第69页
- 第70页
- 第71页
- 第72页
- 第73页
- 第74页
- 第75页
- 第76页
- 第77页
- 第78页
- 第79页
- 第80页
- 第81页
- 第82页
- 第83页
- 第84页
- 第85页
- 第86页
- 第87页
- 第88页
- 第89页
- 第90页
1. (2025 黑龙江辽蒙,6) 如图,趣味运动会的“聚力建高塔”活动中,两段长度相等的细绳一端系在同一塔块上$^①$,两名同学分别握住绳的另一端,保持手在同一水平面以相同速率$v$相向运动。为使塔块沿竖直方向匀速下落,则$v$ (

A.一直减小
B.一直增大
C.先减小后增大
D.先增大后减小
B
)A.一直减小
B.一直增大
C.先减小后增大
D.先增大后减小
答案:
1.B
模型建构。
两同学手握住绳一端,绳的另一端与塔块连接,可构建绳关联模型,手沿绳方向的分速度等于塔块沿绳方向的分速度,
某一时刻设绳与竖直方向的夹角为$\theta$,将手的速度$v$分解为沿绳方向的分速度$v_{绳}$和垂直于绳方向的分速度,将塔块的速度$v_{0}$分解为其中一根绳方向的分速度和垂直于这根绳方向的分速度,手与塔块沿绳方向的分速度相等,则有$v_{绳}=v\sin\theta=v_{0}\cos\theta$,联立可得$v=\frac{v_{0}}{\tan\theta}$。由题意知$v_{0}$是定值,塔块下落,$\theta$减小,$v$增大,B正确。
1.B
模型建构。
两同学手握住绳一端,绳的另一端与塔块连接,可构建绳关联模型,手沿绳方向的分速度等于塔块沿绳方向的分速度,
某一时刻设绳与竖直方向的夹角为$\theta$,将手的速度$v$分解为沿绳方向的分速度$v_{绳}$和垂直于绳方向的分速度,将塔块的速度$v_{0}$分解为其中一根绳方向的分速度和垂直于这根绳方向的分速度,手与塔块沿绳方向的分速度相等,则有$v_{绳}=v\sin\theta=v_{0}\cos\theta$,联立可得$v=\frac{v_{0}}{\tan\theta}$。由题意知$v_{0}$是定值,塔块下落,$\theta$减小,$v$增大,B正确。
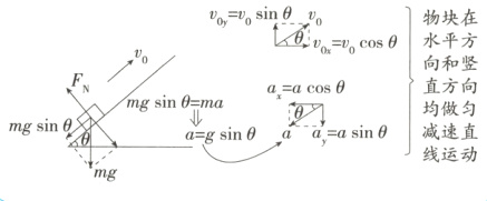
2. (2025 湖南,2) 如图,物块以某一初速度滑上足够长的固定斜面,物块的水平位移、竖直位移、水平速度、竖直速度分别用$x、y、v_x、v_y$表示,物块向上运动过程中,下列图像可能正确的是 (


C
)
答案:
2.C
模型建构。
物块以某一初速度沿光滑斜面上滑,将物块的初速度、加速度沿水平方向与竖直方向分解,构建两个方向的匀变速直线运动模型,
根据题意可知,物块沿斜面向上做匀减速直线运动,设斜面倾角为$\theta$,物块初速度为$v_{0}$,加速度大小为$a$,物块在水平方向上做匀减速直线运动,初速度为$v_{0x}=v_{0}\cos\theta$,加速度大小为$a_{x}=a\cos\theta$,则有$v_{x}^{2}-v_{0x}^{2}=-2a_{x}x$,整理可得$v_{x}=\sqrt{(v_{0}\cos\theta)^{2}-2a\cos\theta· x}$,可知,$v_{x}-x$图像为抛物线的一部分,A、B错误;物块在竖直方向上做匀减速直线运动,初速度为$v_{0y}=v_{0}\sin\theta$,加速度大小为$a_{y}=a\sin\theta$,则有$v_{y}^{2}-v_{0y}^{2}=-2a_{y}y$,整理可得$v_{y}=\sqrt{(v_{0}\sin\theta)^{2}-2a\sin\theta· y}$,可知,$v_{y}-y$图像为抛物线的一部分,C正确,D错误。
小题速解
物块沿光滑斜面做匀减速直线运动,速度随时间均匀变化,速度与位移关系则不是线性关系,故可快速判断A、B、D错误,C正确。根据$v^{2}-v_{0}^{2}=2ax$可知速度的二次方与位移成线性关系,速度与位移不是一次函数关系。
2.C
模型建构。
物块以某一初速度沿光滑斜面上滑,将物块的初速度、加速度沿水平方向与竖直方向分解,构建两个方向的匀变速直线运动模型,
根据题意可知,物块沿斜面向上做匀减速直线运动,设斜面倾角为$\theta$,物块初速度为$v_{0}$,加速度大小为$a$,物块在水平方向上做匀减速直线运动,初速度为$v_{0x}=v_{0}\cos\theta$,加速度大小为$a_{x}=a\cos\theta$,则有$v_{x}^{2}-v_{0x}^{2}=-2a_{x}x$,整理可得$v_{x}=\sqrt{(v_{0}\cos\theta)^{2}-2a\cos\theta· x}$,可知,$v_{x}-x$图像为抛物线的一部分,A、B错误;物块在竖直方向上做匀减速直线运动,初速度为$v_{0y}=v_{0}\sin\theta$,加速度大小为$a_{y}=a\sin\theta$,则有$v_{y}^{2}-v_{0y}^{2}=-2a_{y}y$,整理可得$v_{y}=\sqrt{(v_{0}\sin\theta)^{2}-2a\sin\theta· y}$,可知,$v_{y}-y$图像为抛物线的一部分,C正确,D错误。
小题速解
物块沿光滑斜面做匀减速直线运动,速度随时间均匀变化,速度与位移关系则不是线性关系,故可快速判断A、B、D错误,C正确。根据$v^{2}-v_{0}^{2}=2ax$可知速度的二次方与位移成线性关系,速度与位移不是一次函数关系。
3. (2023 浙江 1 月选考,5) 如图所示,在考虑空气阻力的情况下,一小球从$O$点抛出沿轨迹$OPQ$运动,其中$P$是最高点。若空气阻力大小与瞬时速度大小成正比,则小球在竖直方向运动的加速度大小 (

A.$O$点最大
B.$P$点最大
C.$Q$点最大
D.整个运动过程保持不变
A
)A.$O$点最大
B.$P$点最大
C.$Q$点最大
D.整个运动过程保持不变
答案:
3.A 根据题意可知,小石子运动过程中所受的空气阻力$f=kv$($k$是比例系数)。设小石子运动到某点时的速度方向与竖直方向的夹角为$\theta$,由牛顿第二定律得,上升过程中,在竖直方向有$mg+kv\cos\theta=ma$,$v$减小、$\theta$增大,故加速度减小;下落过程中,在竖直方向有$mg-kv\cos\theta=ma$,$v$增大、$\theta$减小,故加速度减小。综上可知,小石子竖直方向分运动的加速度在$O$点时最大,A正确,B、C、D错误。
速解
在竖直方向上,全过程受竖直向下的重力,上升过程阻力方向向下,下降过程阻力方向向上,故上升过程的加速度大于下降过程的加速度,因为空气阻力大小与瞬时速度大小成正比,小石子在$O$点速度最大,所受阻力最大,加速度最大,A正确。
速解
在竖直方向上,全过程受竖直向下的重力,上升过程阻力方向向下,下降过程阻力方向向上,故上升过程的加速度大于下降过程的加速度,因为空气阻力大小与瞬时速度大小成正比,小石子在$O$点速度最大,所受阻力最大,加速度最大,A正确。
4. (2025 云南,3) 如图所示,某同学将两颗鸟食从$O$点水平抛出,两只小鸟分别在图中的$M$点和$N$点同时接到鸟食。鸟食的运动视为平抛运动,两运动轨迹在同一竖直平面内,则 (

A.两颗鸟食同时抛出
B.在$N$点接到的鸟食后抛出
C.两颗鸟食平抛的初速度相同
D.在$M$点接到的鸟食平抛的初速度较大
D
)A.两颗鸟食同时抛出
B.在$N$点接到的鸟食后抛出
C.两颗鸟食平抛的初速度相同
D.在$M$点接到的鸟食平抛的初速度较大
答案:
4.D 鸟食的运动可视为平抛运动,则在竖直方向有$h=\frac{1}{2}gt^{2}$,由于$h_{M}<h_{N}$,则$t_{M}<t_{N}$,要同时接到鸟食,则在$N$点接到的鸟食先抛出,A、B错误;在水平方向有$x=v_{0}t$,
过$M$点作一水平面,可看出在相同高度处,在$M$点接到的鸟食的水平位移大,则在$M$点接到的鸟食平抛的初速度较大,C错误,D正确。
一题多解
对于C、D项,根据$x=v_{0}t$,$y=\frac{1}{2}gt^{2}$,解得$y=\frac{gx^{2}}{2v_{0}^{2}}$。如果初速度相等,则两轨迹应重合,C错误;因$y=\frac{gx^{2}}{2v_{0}^{2}}$,当水平位移相等时,由图可知$y_{N}>y_{M}$,$y$越大,初速度$v_{0}$越小,则在$M$点接到的鸟食平抛的初速度较大,D正确。
4.D 鸟食的运动可视为平抛运动,则在竖直方向有$h=\frac{1}{2}gt^{2}$,由于$h_{M}<h_{N}$,则$t_{M}<t_{N}$,要同时接到鸟食,则在$N$点接到的鸟食先抛出,A、B错误;在水平方向有$x=v_{0}t$,
过$M$点作一水平面,可看出在相同高度处,在$M$点接到的鸟食的水平位移大,则在$M$点接到的鸟食平抛的初速度较大,C错误,D正确。
一题多解
对于C、D项,根据$x=v_{0}t$,$y=\frac{1}{2}gt^{2}$,解得$y=\frac{gx^{2}}{2v_{0}^{2}}$。如果初速度相等,则两轨迹应重合,C错误;因$y=\frac{gx^{2}}{2v_{0}^{2}}$,当水平位移相等时,由图可知$y_{N}>y_{M}$,$y$越大,初速度$v_{0}$越小,则在$M$点接到的鸟食平抛的初速度较大,D正确。
5. (2024 浙江 1 月选考,8) 如图所示,小明取山泉水时发现水平细水管到水桶地面的距离为水桶高的两倍,在地面上平移水桶,水恰好从桶口中心无阻挡地落到桶底边沿$A$。已知桶高为$h$,直径为$D$,重力加速度为$g$,则水离开出水口的速度大小为 (

A.$\dfrac{D}{4}\sqrt{\dfrac{g}{h}}$
B.$\dfrac{D}{2}\sqrt{\dfrac{g}{2h}}$
C.$\dfrac{(\sqrt{2}+1)D}{2}\sqrt{\dfrac{g}{2h}}$
D.$(\sqrt{2}+1)D\sqrt{\dfrac{g}{2h}}$
C
)A.$\dfrac{D}{4}\sqrt{\dfrac{g}{h}}$
B.$\dfrac{D}{2}\sqrt{\dfrac{g}{2h}}$
C.$\dfrac{(\sqrt{2}+1)D}{2}\sqrt{\dfrac{g}{2h}}$
D.$(\sqrt{2}+1)D\sqrt{\dfrac{g}{2h}}$
答案:
5.C

细水管$v_{0}$
$x=v_{0}t$
$h=\frac{1}{2}gt^{2}$
$\to x=v_{0}\sqrt{\frac{2h}{g}}$
$h+\frac{h}{2}=v_{0}t_{2}$
$x=2v_{0}\sqrt{\frac{h}{g}}$
$\frac{h}{2}=\frac{1}{2}gt_{1}^{2}$
$\to v_{0}=\frac{\sqrt{2}+1}{2}\sqrt{\frac{g}{2h}}D$
选项C正确
5.C
细水管$v_{0}$
$x=v_{0}t$
$h=\frac{1}{2}gt^{2}$
$\to x=v_{0}\sqrt{\frac{2h}{g}}$
$h+\frac{h}{2}=v_{0}t_{2}$
$x=2v_{0}\sqrt{\frac{h}{g}}$
$\frac{h}{2}=\frac{1}{2}gt_{1}^{2}$
$\to v_{0}=\frac{\sqrt{2}+1}{2}\sqrt{\frac{g}{2h}}D$
选项C正确
6. (2023 新课标,24) 将扁平的石子向水面快速抛出,石子可能会在水面上一跳一跳地飞向远方,俗称“打水漂”。要使石子能“打水漂”,石子接触水面时的速度方向与水面的夹角不能大于$\theta^①$。为了观察到“打水漂”,一同学将一石子从距水面高度为$h$处水平抛出,抛出速度的最小值为多少? (不计石子在空中飞行时的空气阻力,重力加速度大小为$g$)
①关键点拨 即满足$\dfrac{v_y}{v_0}\leq \tan\theta$。
①关键点拨 即满足$\dfrac{v_y}{v_0}\leq \tan\theta$。
答案:
6.答案 $\frac{\sqrt{2gh}}{\tan\theta}$
模型建构。
建构平抛运动模型,
水平方向:$v_{x}=v_{0}$
竖直方向:$v_{y}=\sqrt{2gh}$
$v$一定时,$\alpha$最大,则$v_{0}$最小
石子在空中做平抛运动,由平抛运动规律,竖直方向有$v_{y}^{2}=2gh$,要产生“水漂”效果,石子接触水面时速度方向与水面的夹角不能大于$\theta$,设抛出速度的最小值为$v_{0}$,则$\tan\theta=\frac{v_{y}}{v_{0}}$,联立可得$v_{0}=\frac{\sqrt{2gh}}{\tan\theta}$
6.答案 $\frac{\sqrt{2gh}}{\tan\theta}$
模型建构。
建构平抛运动模型,
水平方向:$v_{x}=v_{0}$
竖直方向:$v_{y}=\sqrt{2gh}$
$v$一定时,$\alpha$最大,则$v_{0}$最小
石子在空中做平抛运动,由平抛运动规律,竖直方向有$v_{y}^{2}=2gh$,要产生“水漂”效果,石子接触水面时速度方向与水面的夹角不能大于$\theta$,设抛出速度的最小值为$v_{0}$,则$\tan\theta=\frac{v_{y}}{v_{0}}$,联立可得$v_{0}=\frac{\sqrt{2gh}}{\tan\theta}$
查看更多完整答案,请扫码查看