第70页
- 第1页
- 第2页
- 第3页
- 第4页
- 第5页
- 第6页
- 第7页
- 第8页
- 第9页
- 第10页
- 第11页
- 第12页
- 第13页
- 第14页
- 第15页
- 第16页
- 第17页
- 第18页
- 第19页
- 第20页
- 第21页
- 第22页
- 第23页
- 第24页
- 第25页
- 第26页
- 第27页
- 第28页
- 第29页
- 第30页
- 第31页
- 第32页
- 第33页
- 第34页
- 第35页
- 第36页
- 第37页
- 第38页
- 第39页
- 第40页
- 第41页
- 第42页
- 第43页
- 第44页
- 第45页
- 第46页
- 第47页
- 第48页
- 第49页
- 第50页
- 第51页
- 第52页
- 第53页
- 第54页
- 第55页
- 第56页
- 第57页
- 第58页
- 第59页
- 第60页
- 第61页
- 第62页
- 第63页
- 第64页
- 第65页
- 第66页
- 第67页
- 第68页
- 第69页
- 第70页
- 第71页
- 第72页
- 第73页
- 第74页
- 第75页
- 第76页
- 第77页
- 第78页
- 第79页
- 第80页
- 第81页
- 第82页
- 第83页
- 第84页
- 第85页
- 第86页
- 第87页
- 第88页
- 第89页
- 第90页
- 第91页
- 第92页
- 第93页
1. 人行道常用同样大小的灰、白两种小正方形地砖铺设而成,如图的每一个小正方形表示一块地砖.如果按图1、图2、图3……的次序铺设地砖,把第n个图形用图n表示,回答下列问题:

(1)完成表格中的填空:

(2)若设第n个图形中白色小正方形地砖的块数为s,直接写出s与n之间的数量关系.
(1)完成表格中的填空:
(2)若设第n个图形中白色小正方形地砖的块数为s,直接写出s与n之间的数量关系.
(1)26 33 (2)s=7n+5
答案:
1.
(1)26 33
(2)解:第n个图形白色小正方形地砖的块数是s=7n+5.
(1)26 33
(2)解:第n个图形白色小正方形地砖的块数是s=7n+5.
2. 观察下列算式,回答下列问题:
$2+3= 5,2^2+3^2= 13,2^3+3^3= 35,2^4+3^4= $
(1)请完成题干中的填空;
$(2)2^2⁰^2^4+3^2⁰^2^4$的个位数字是
(3)求$2+2^2+…+2^2⁰^2^4+3+3^2+…+3^2⁰^2^4$的个位数字.
$2+3= 5,2^2+3^2= 13,2^3+3^3= 35,2^4+3^4= $
97
$,2^5+3^5= 275,2^6+3^6= $793
$,2^7+3^7= 2315,……$(1)请完成题干中的填空;
$(2)2^2⁰^2^4+3^2⁰^2^4$的个位数字是
7
;(3)求$2+2^2+…+2^2⁰^2^4+3+3^2+…+3^2⁰^2^4$的个位数字.
每4组个位数字之和为0,共506组,则结果个位数字为0.
答案:
(1)97 793
(2)根据上述计算结果可知,每4组算式结果个位数字按照5、3、5、7循环,2024÷4=506,则2²⁰²⁴+3²⁰²⁴的个位数字是7.
(3)每4组个位数字之和为0,共506组,则结果个位数字为0.
(1)97 793
(2)根据上述计算结果可知,每4组算式结果个位数字按照5、3、5、7循环,2024÷4=506,则2²⁰²⁴+3²⁰²⁴的个位数字是7.
(3)每4组个位数字之和为0,共506组,则结果个位数字为0.
乐高是开发动手能力的一门课,思睿同学用乐高玩具搭建了一些边长为1的小正方形和等边三角形的“城堡”图形. 观察图形,回答下列问题:
(1)我们把小正方形和等边三角形统称为“基本图形”,图1有6个基本图形,图2有12个基本图形,图3有20个基本图形,猜想:图5有
(2)图1的周长为12,图2的周长为19,图3的周长为26,图4的周长为

(1)我们把小正方形和等边三角形统称为“基本图形”,图1有6个基本图形,图2有12个基本图形,图3有20个基本图形,猜想:图5有
42
个基本图形.(2)图1的周长为12,图2的周长为19,图3的周长为26,图4的周长为
33
……图n的周长为7n+5
.
答案:
(1)42
(2)33 7n+5
(1)42
(2)33 7n+5
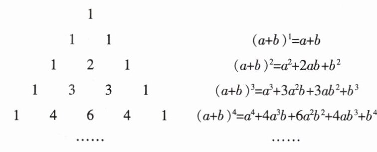
1261年,我国宋朝数学家杨辉在其著作《详解九章算法》中提到了如图所示的数表,人们将这个数表称为“杨辉三角”.

观察“杨辉三角”与右侧的等式图,记第一个展开式中各项系数的和为C_1= 1+1= 2,第二个展开式中各项系数的和为C_2= 1+2+1= 4,第三个展开式中各项系数的和为C_3= 1+3+3+1= 8,第四个展开式中各项系数的和为C_4= 1+4+6+4+1= 16,……第n个展开式中各项系数的和为Cₙ,根据图中各式的规律.
(1)(a+b)^5=
(2)求$\frac{C_{2024}}{C_{2023}}$的值.
观察“杨辉三角”与右侧的等式图,记第一个展开式中各项系数的和为C_1= 1+1= 2,第二个展开式中各项系数的和为C_2= 1+2+1= 4,第三个展开式中各项系数的和为C_3= 1+3+3+1= 8,第四个展开式中各项系数的和为C_4= 1+4+6+4+1= 16,……第n个展开式中各项系数的和为Cₙ,根据图中各式的规律.
(1)(a+b)^5=
a⁵+5a⁴b+10a³b²+10a²b³+5ab⁴+b⁵
;(2)求$\frac{C_{2024}}{C_{2023}}$的值.
(2)解:根据前几项规律Cₙ=2ⁿ,则C₂₀₂₄=2²⁰²⁴,C₂₀₂₃=2²⁰²³,所以C₂₀₂₄/C₂₀₂₃=2
答案:
(1)a⁵+5a⁴b+10a³b²+10a²b³+5ab⁴+b⁵
(2)解:根据前几项规律Cₙ=2ⁿ,则C₂₀₂₄=2²⁰²⁴,C₂₀₂₃=2²⁰²³,所以C₂₀₂₄/C₂₀₂₃=2
(1)a⁵+5a⁴b+10a³b²+10a²b³+5ab⁴+b⁵
(2)解:根据前几项规律Cₙ=2ⁿ,则C₂₀₂₄=2²⁰²⁴,C₂₀₂₃=2²⁰²³,所以C₂₀₂₄/C₂₀₂₃=2
查看更多完整答案,请扫码查看