第58页
- 第1页
- 第2页
- 第3页
- 第4页
- 第5页
- 第6页
- 第7页
- 第8页
- 第9页
- 第10页
- 第11页
- 第12页
- 第13页
- 第14页
- 第15页
- 第16页
- 第17页
- 第18页
- 第19页
- 第20页
- 第21页
- 第22页
- 第23页
- 第24页
- 第25页
- 第26页
- 第27页
- 第28页
- 第29页
- 第30页
- 第31页
- 第32页
- 第33页
- 第34页
- 第35页
- 第36页
- 第37页
- 第38页
- 第39页
- 第40页
- 第41页
- 第42页
- 第43页
- 第44页
- 第45页
- 第46页
- 第47页
- 第48页
- 第49页
- 第50页
- 第51页
- 第52页
- 第53页
- 第54页
- 第55页
- 第56页
- 第57页
- 第58页
- 第59页
- 第60页
- 第61页
- 第62页
- 第63页
- 第64页
- 第65页
- 第66页
- 第67页
- 第68页
- 第69页
- 第70页
- 第71页
- 第72页
- 第73页
- 第74页
- 第75页
- 第76页
- 第77页
- 第78页
- 第79页
- 第80页
- 第81页
- 第82页
- 第83页
- 第84页
- 第85页
- 第86页
- 第87页
- 第88页
- 第89页
- 第90页
- 第91页
- 第92页
- 第93页
1. 已知 $ a = - 1$,$ b = - 2$,则 $ ab^{2}$ 的值为(
A.$\frac{1}{2}$
B.$2$
C.$- 4$
D.$\pm 4$
C
)A.$\frac{1}{2}$
B.$2$
C.$- 4$
D.$\pm 4$
答案:
C
2. 在一定条件下,若物体运动的路程 $ s(m)$ 与时间 $ t(s)$ 的关系式为 $ s = 5t^{2}+2t$,则当 $ t = 4s$ 时,该物体所经过的路程为(
A.$28 m$
B.$48 m$
C.$68 m$
D.$88 m$
D
)A.$28 m$
B.$48 m$
C.$68 m$
D.$88 m$
答案:
D
3. 已知 $ a$,$ b$ 互为相反数,$ m$,$ n$ 互为倒数,则 $ 2(a + b)+\frac{2}{mn}-1$ 的值为(
A.$3$
B.$- 1$
C.$1$
D.$0$
C
)A.$3$
B.$- 1$
C.$1$
D.$0$
答案:
C
4. 若 $ x = - 1$,则代数式 $ x^{3}-x^{2}+4$ 的值为
2
。
答案:
2
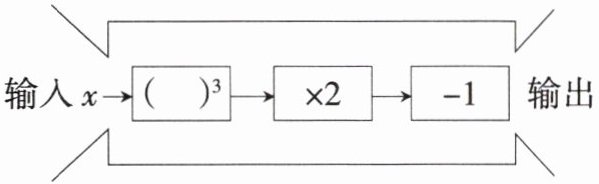
5. 如图是一个数值转换机的示意图。当输入 $ x$ 的值为$-2$ 时,则输出的数值为
]

-17
。]
答案:
-17
6. 某商店购进一批茶杯,每个 $ 1.5$ 元,购进 $ n$ 个茶杯,茶杯的零售价为每个 $ 2$ 元,当 $ n = 300$ 时,则售完茶杯该商店的利润为
150元
。
答案:
150元
7. 当 $ a = 1\frac{1}{2}$,$ b = 0.5$ 时,求代数式 $ a(b^{2}+ab)$ 的值。
答案:
解:当$a=\frac{3}{2},b=\frac{1}{2}$时,代入原式$=\frac{3}{2}×[(\frac{1}{2})^{2}+\frac{3}{2}×\frac{1}{2}]=\frac{3}{2}×(\frac{1}{4}+\frac{3}{4})=\frac{3}{2}×1=\frac{3}{2}$.
8. 已知 $ a = 1$,$ b = - 2$,求 $ a^{2}-2ab + b^{2}$ 和 $(a - b)^{2}$ 的值,并进行比较。
答案:
解:当$a=1,b=-2$时,代入$a^{2}-2ab+b^{2}=1^{2}-2×1×(-2)+(-2)^{2}=1+4+4=9$. 当$a=1,b=-2$时,代入$(a-b)^{2}=[1-(-2)]^{2}=(1+2)^{2}=3^{2}=9$.因此,$a^{2}-2ab+b^{2}=(a-b)^{2}$.
9. 某企业生产一批电视机,每天生产 $ m$ 台,计划生产 $ a$ 天,为适应市场需求,需要提前 $ 3$ 天完成,用代数式表示出实际每天要多生产多少台?并求出 $ m = 100$,$ a = 28$ 时每天多生产的台数。
答案:
解:生产总量$ma$台.提前3天完成,则实际生产$(a-3)$天,实际每天生产$(\frac{ma}{a-3})$台,实际每天多生产$(\frac{ma}{a-3}-m)$台.当$m=100,a=28$时,代入原式$=\frac{28×100}{28-3}-100=\frac{2800}{25}-100=112-100=12$台.因此,当$m=100,a=28$时,每天多生产12台.
10. 某计算装置有一数据入口 $ A$ 和运算出口 $ B$,下列是小颖输入一些数据后所得的结果。

(1)若输入的数为 $ 9$,则输出的数为
(2)若输出的数为 $ 900$,则输入的数为
(3)若输入的数为 $ x$,则输出的数为
(1)若输入的数为 $ 9$,则输出的数为
64
;(2)若输出的数为 $ 900$,则输入的数为
31
;(3)若输入的数为 $ x$,则输出的数为
$(x-1)^{2}$
。
答案:
(1)64
(2)31
(3)$(x-1)^{2}$
(1)64
(2)31
(3)$(x-1)^{2}$
1. 若 $ a = 3$,$ b = 1$,则 $\frac{2a - b}{2}$ 的值是(
A.$3$
B.$\frac{5}{2}$
C.$2$
D.$1$
B
)A.$3$
B.$\frac{5}{2}$
C.$2$
D.$1$
答案:
B
2. 若 $ x = 1$,$ y = \frac{1}{2}$,则 $ x^{2}+4xy + 4y^{2}$ 的值是(
A.$2$
B.$\frac{3}{2}$
C.$4$
D.$\frac{1}{2}$
C
)A.$2$
B.$\frac{3}{2}$
C.$4$
D.$\frac{1}{2}$
答案:
C
3. 若输入 $ a$ 为 $ 2$,则输出结果应为(

A.$2$
B.$- 2$
C.$0$
D.$- 1$
C
)A.$2$
B.$- 2$
C.$0$
D.$- 1$
答案:
C
查看更多完整答案,请扫码查看