第61页
- 第1页
- 第2页
- 第3页
- 第4页
- 第5页
- 第6页
- 第7页
- 第8页
- 第9页
- 第10页
- 第11页
- 第12页
- 第13页
- 第14页
- 第15页
- 第16页
- 第17页
- 第18页
- 第19页
- 第20页
- 第21页
- 第22页
- 第23页
- 第24页
- 第25页
- 第26页
- 第27页
- 第28页
- 第29页
- 第30页
- 第31页
- 第32页
- 第33页
- 第34页
- 第35页
- 第36页
- 第37页
- 第38页
- 第39页
- 第40页
- 第41页
- 第42页
- 第43页
- 第44页
- 第45页
- 第46页
- 第47页
- 第48页
- 第49页
- 第50页
- 第51页
- 第52页
- 第53页
- 第54页
- 第55页
- 第56页
- 第57页
- 第58页
- 第59页
- 第60页
- 第61页
- 第62页
- 第63页
- 第64页
- 第65页
- 第66页
- 第67页
- 第68页
- 第69页
- 第70页
- 第71页
- 第72页
- 第73页
- 第74页
- 第75页
- 第76页
- 第77页
- 第78页
- 第79页
- 第80页
- 第81页
- 第82页
- 第83页
- 第84页
- 第85页
- 第86页
- 第87页
- 第88页
- 第89页
- 第90页
- 第91页
- 第92页
- 第93页
1. 下列说法正确的是(
A.单项式$ab$的系数、次数都是1
B.$\frac{a}{4}和\frac{4}{a}$都是单项式
C.$-\frac{n^{2}x^{3}yz^{2}}{3}的系数是-\frac{1}{3}$,次数是8
D.$-1.6×10^{5}a^{2}$的次数是2
D
)A.单项式$ab$的系数、次数都是1
B.$\frac{a}{4}和\frac{4}{a}$都是单项式
C.$-\frac{n^{2}x^{3}yz^{2}}{3}的系数是-\frac{1}{3}$,次数是8
D.$-1.6×10^{5}a^{2}$的次数是2
答案:
D
2. 已知$(a - 1)x^{2}y^{a + 1}$是关于x、y的五次单项式,则这个单项式的系数是(
A.1
B.2
C.3
D.0
A
)A.1
B.2
C.3
D.0
答案:
A
3. $-4a^{2} - 4ab + b^{2}$是哪三项的和(
A.$4a^{2}$,$4ab$,$b^{2}$
B.$-4a^{2}$,$4ab$,$b^{2}$
C.$-4a^{2}$,$-4ab$,$b^{2}$
D.$4a^{2}$,$-4ab$,$b^{2}$
C
)A.$4a^{2}$,$4ab$,$b^{2}$
B.$-4a^{2}$,$4ab$,$b^{2}$
C.$-4a^{2}$,$-4ab$,$b^{2}$
D.$4a^{2}$,$-4ab$,$b^{2}$
答案:
C
4. 多项式$-x^{2}y - xy^{2}$有
两
项,分别是$-x^{2}y,-xy^{2}$
,其中第一项的系数是-1
。
答案:
两,-x²y,-xy² -1
5. 请写出一个满足下列条件的三次三项式:
x²y-2xy+1(答案不唯一)
。该多项式只有字母$x$,$y$,三次项系数是1,二次项系数是$-2$。
答案:
x²y-2xy+1(答案不唯一)
6. 如果一个多项式的各项的次数都相等,则称该多项式为齐次多项式,例如:$x^{3} + 2x^{2}y + y^{3}$是三次齐次多项式,若$x^{m}y + 3x^{3}y^{2} + 5x^{2}y^{n} + y^{5}$是齐次多项式,则$m = $
4
,$n = $3
。
答案:
4 3
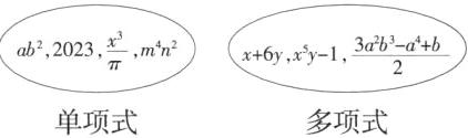
7. 下列式子中哪些是单项式?哪些是多项式?分别填入所属的圈中。
$x + 6y$,$ab^{2}$,2023,$x^{5}y - 1$,$\frac{x^{3}}{\pi}$,$m^{4}n^{2}$,$\frac{3a^{2}b^{3} - a^{4} + b}{2}$

$x + 6y$,$ab^{2}$,2023,$x^{5}y - 1$,$\frac{x^{3}}{\pi}$,$m^{4}n^{2}$,$\frac{3a^{2}b^{3} - a^{4} + b}{2}$
答案:
解:如图所示.
解:如图所示.
8. 已知多项式$-a^{12} + a^{11}b - a^{10}b^{2} + … + ab^{11} - b^{12}$。请你按照上述规律写出多项式的第五项,并指出它的系数和次数。
答案:
解:多项式的第五项是-a⁸b⁴,系数是-1,次数是12.
1. 观察下列单项式:$-x$,$3x^{2}$,$-5x^{3}$,$7x^{4}$,…,$-37x^{19}$,$39x^{20}$,……写出第n个单项式。为了解决这个问题,特提供下面解题思路:
(1)这组单项式的系数的符号规律是
(2)这组单项式的次数的规律是
(3)根据上面的归纳,可以猜想第$n$个单项式是
(1)这组单项式的系数的符号规律是
(-1)ⁿ(或负号、正号依次出现)
,系数的绝对值规律是2n-1(或从1开始的连续奇数)
;(2)这组单项式的次数的规律是
从1开始的连续自然数
;(3)根据上面的归纳,可以猜想第$n$个单项式是
(-1)ⁿ(2n-1)xⁿ
。(只能填写一个代数式)
答案:
(1)(-1)ⁿ(或负号、正号依次出现) 2n-1(或从1开始的连续奇数)
(2)从1开始的连续自然数
(3)(-1)ⁿ(2n-1)xⁿ
(1)(-1)ⁿ(或负号、正号依次出现) 2n-1(或从1开始的连续奇数)
(2)从1开始的连续自然数
(3)(-1)ⁿ(2n-1)xⁿ
2. (1)已知单项式$2x^{m + 1}$是一次单项式,多项式$3x^{n - 1} - x^{3} - 7$是四次三项式,求$m$,$n$的值;
(2)若关于$x的多项式-5x^{3} - (m + 1)x^{2} + (2 - n)x - 1$不含二次项和一次项,求$1 - n^{2} - m^{3}$的值。
(2)若关于$x的多项式-5x^{3} - (m + 1)x^{2} + (2 - n)x - 1$不含二次项和一次项,求$1 - n^{2} - m^{3}$的值。
答案:
解:
(1)由题意得m=0,n-1=4,解得m=0,n=5.
(2)由题意得m+1=0,2-n=0,解得m=-1,n=2.
所以1-n²-m³=1-4-(-1)=-2.
(1)由题意得m=0,n-1=4,解得m=0,n=5.
(2)由题意得m+1=0,2-n=0,解得m=-1,n=2.
所以1-n²-m³=1-4-(-1)=-2.
查看更多完整答案,请扫码查看