第124页
- 第1页
- 第2页
- 第3页
- 第4页
- 第5页
- 第6页
- 第7页
- 第8页
- 第9页
- 第10页
- 第11页
- 第12页
- 第13页
- 第14页
- 第15页
- 第16页
- 第17页
- 第18页
- 第19页
- 第20页
- 第21页
- 第22页
- 第23页
- 第24页
- 第25页
- 第26页
- 第27页
- 第28页
- 第29页
- 第30页
- 第31页
- 第32页
- 第33页
- 第34页
- 第35页
- 第36页
- 第37页
- 第38页
- 第39页
- 第40页
- 第41页
- 第42页
- 第43页
- 第44页
- 第45页
- 第46页
- 第47页
- 第48页
- 第49页
- 第50页
- 第51页
- 第52页
- 第53页
- 第54页
- 第55页
- 第56页
- 第57页
- 第58页
- 第59页
- 第60页
- 第61页
- 第62页
- 第63页
- 第64页
- 第65页
- 第66页
- 第67页
- 第68页
- 第69页
- 第70页
- 第71页
- 第72页
- 第73页
- 第74页
- 第75页
- 第76页
- 第77页
- 第78页
- 第79页
- 第80页
- 第81页
- 第82页
- 第83页
- 第84页
- 第85页
- 第86页
- 第87页
- 第88页
- 第89页
- 第90页
- 第91页
- 第92页
- 第93页
- 第94页
- 第95页
- 第96页
- 第97页
- 第98页
- 第99页
- 第100页
- 第101页
- 第102页
- 第103页
- 第104页
- 第105页
- 第106页
- 第107页
- 第108页
- 第109页
- 第110页
- 第111页
- 第112页
- 第113页
- 第114页
- 第115页
- 第116页
- 第117页
- 第118页
- 第119页
- 第120页
- 第121页
- 第122页
- 第123页
- 第124页
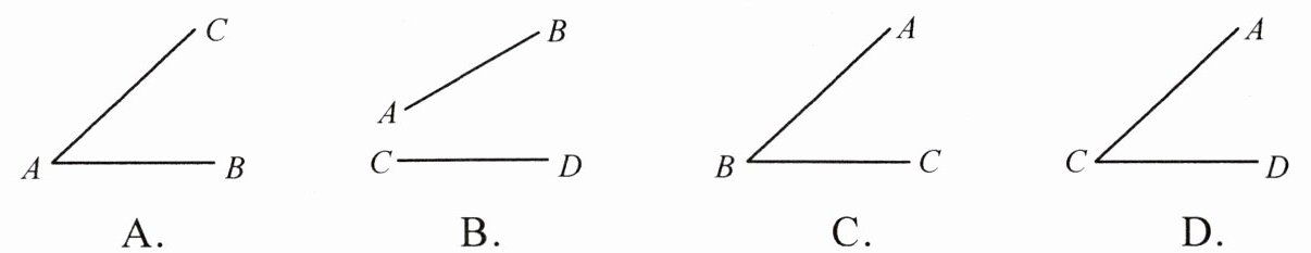
1. 下图中表示$\angle ABC$的图是(

C
).
答案:
C
2. 下列关于角的说法正确的是(
A.两条射线组成的图形叫作角
B.延长一个角的两边
C.角的两边是射线,所以角不可以度量
D.角的大小与这个角的两边长短无关
D
).A.两条射线组成的图形叫作角
B.延长一个角的两边
C.角的两边是射线,所以角不可以度量
D.角的大小与这个角的两边长短无关
答案:
D
3. 下图能用$\angle AOB$,$\angle O$,$\angle 1$三种方法表示同一个角的图形是(

D
).
答案:
D
4. 下列关于平角、周角的说法正确的是
① 平角是一条直线;② 周角是一条射线;③ 反向延长射线$OA$,就形成一个平角;④ 两个锐角的和一定小于平角.
③④
.(填序号)① 平角是一条直线;② 周角是一条射线;③ 反向延长射线$OA$,就形成一个平角;④ 两个锐角的和一定小于平角.
答案:
③④
5. 如图所示,能用一个大写字母表示的角有
∠A,∠B
,可用三个大写字母表示的角是∠BAC
,∠ABC
,∠ACD
(写三个);以$D$为顶点的角是∠ADC
,∠BDC
.
答案:
∠A,∠B ∠BAC ∠ABC ∠ACD(其他答案合理皆可) ∠ADC ∠BDC
6. 如图所示,图中小于平角的角有

9
个,分别是∠AOD,∠AOC,∠AOE,∠DOC,∠DOE,∠DOB,∠COB,∠COE,∠EOB
.
答案:
9 ∠AOD,∠AOC,∠AOE,∠DOC,∠DOE,∠DOB,∠COB,∠COE,∠EOB
查看更多完整答案,请扫码查看