2025年暑假大串联七年级数学人教版
注:目前有些书本章节名称可能整理的还不是很完善,但都是按照顺序排列的,请同学们按照顺序仔细查找。练习册 2025年暑假大串联七年级数学人教版 答案主要是用来给同学们做完题方便对答案用的,请勿直接抄袭。
第73页
- 第1页
- 第2页
- 第3页
- 第4页
- 第5页
- 第6页
- 第7页
- 第8页
- 第9页
- 第10页
- 第11页
- 第12页
- 第13页
- 第14页
- 第15页
- 第16页
- 第17页
- 第18页
- 第19页
- 第20页
- 第21页
- 第22页
- 第23页
- 第24页
- 第25页
- 第26页
- 第27页
- 第28页
- 第29页
- 第30页
- 第31页
- 第32页
- 第33页
- 第34页
- 第35页
- 第36页
- 第37页
- 第38页
- 第39页
- 第40页
- 第41页
- 第42页
- 第43页
- 第44页
- 第45页
- 第46页
- 第47页
- 第48页
- 第49页
- 第50页
- 第51页
- 第52页
- 第53页
- 第54页
- 第55页
- 第56页
- 第57页
- 第58页
- 第59页
- 第60页
- 第61页
- 第62页
- 第63页
- 第64页
- 第65页
- 第66页
- 第67页
- 第68页
- 第69页
- 第70页
- 第71页
- 第72页
- 第73页
- 第74页
- 第75页
- 第76页
- 第77页
- 第78页
- 第79页
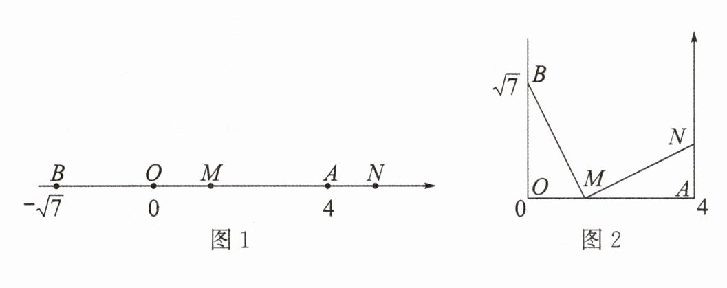
10. 如图1,数轴上从左至右依次有$B$,$O$,$M$,$A$,$N$五个点,其中点$B$,$O$,$A$表示的数分别为$-\sqrt{7}$,$0$,$4$. 如图2,将数轴在点$O$的左侧部分绕点$O$顺时针方向旋转$90^{\circ}$,将数轴在点$A$的右侧部分绕点$A$逆时针方向旋转$90^{\circ}$,连接$BM$,$MN$. 若$\triangle OBM$和$\triangle AMN$全等,求点$M$表示的数.

4 - $\sqrt{7}$或2
答案:
10.当△OBM≌△AMN时,
∴AM=OB=$\sqrt{7}$,
∵OA=4,
∴OM=OA−AM=4−$\sqrt{7}$,
∴点M 表示的数为4 - $\sqrt{7}$;当△OBM≌△ANM时,
∴OM=AM,
∵AO=4,
∴OM=2,
∴点M表示的数为2,
∴点M表示的数为4 - $\sqrt{7}$或2.
∴AM=OB=$\sqrt{7}$,
∵OA=4,
∴OM=OA−AM=4−$\sqrt{7}$,
∴点M 表示的数为4 - $\sqrt{7}$;当△OBM≌△ANM时,
∴OM=AM,
∵AO=4,
∴OM=2,
∴点M表示的数为2,
∴点M表示的数为4 - $\sqrt{7}$或2.
11. 如图,在$\triangle ABC$中,$\angle ACB=90^{\circ}$,$AC=7\mathrm{cm}$,$BC=8\mathrm{cm}$. 点$C$在直线$l$上,动点$P$从$A$点出发沿$A\to C$的路径向终点$C$运动;动点$Q$从$B$点出发沿$B\to C\to A$路径向终点$A$运动. 点$P$和点$Q$分别以每秒$1\mathrm{cm}$和$2\mathrm{cm}$的速度同时开始运动,其中一点到达终点时另一点也停止运动,分别过点$P$和$Q$作$PM\perp$直线$l$于$M$,$QN\perp$直线$l$于$N$. 当$\triangle PMC$与$\triangle QNC$全等时,求点$P$的运动时间.

答案:
11.设点P的运动时间为t秒,如图1,当点Q在BC 上时,此时AP=tcm,BQ=2tcm,
∴PC=(7−t)cm,CQ=(8−2t)cm,

∵△PMC≌△CNQ,
∴PC=CQ,
∴7−t=8−2t,
∴t=1;即点P的运动时间为1秒;
如图2,当点Q在AC上时,此时点P与点Q重合,AP=tcm,BC+CQ=2tcm,
∴PC=(7−t)cm,CQ=(2t−8)cm,

∵△PCM≌△QCN,
∴PC=CQ,
∴7−t=2t−8,
∴t=5;即点P的运动时间为5秒,综上所述,当△PMC与△QNC全等时,点P的运动时间为1秒或5秒.
11.设点P的运动时间为t秒,如图1,当点Q在BC 上时,此时AP=tcm,BQ=2tcm,
∴PC=(7−t)cm,CQ=(8−2t)cm,
∵△PMC≌△CNQ,
∴PC=CQ,
∴7−t=8−2t,
∴t=1;即点P的运动时间为1秒;
如图2,当点Q在AC上时,此时点P与点Q重合,AP=tcm,BC+CQ=2tcm,
∴PC=(7−t)cm,CQ=(2t−8)cm,
∵△PCM≌△QCN,
∴PC=CQ,
∴7−t=2t−8,
∴t=5;即点P的运动时间为5秒,综上所述,当△PMC与△QNC全等时,点P的运动时间为1秒或5秒.
查看更多完整答案,请扫码查看