第61页
- 第1页
- 第2页
- 第3页
- 第4页
- 第5页
- 第6页
- 第7页
- 第8页
- 第9页
- 第10页
- 第11页
- 第12页
- 第13页
- 第14页
- 第15页
- 第16页
- 第17页
- 第18页
- 第19页
- 第20页
- 第21页
- 第22页
- 第23页
- 第24页
- 第25页
- 第26页
- 第27页
- 第28页
- 第29页
- 第30页
- 第31页
- 第32页
- 第33页
- 第34页
- 第35页
- 第36页
- 第37页
- 第38页
- 第39页
- 第40页
- 第41页
- 第42页
- 第43页
- 第44页
- 第45页
- 第46页
- 第47页
- 第48页
- 第49页
- 第50页
- 第51页
- 第52页
- 第53页
- 第54页
- 第55页
- 第56页
- 第57页
- 第58页
- 第59页
- 第60页
- 第61页
- 第62页
- 第63页
- 第64页
- 第65页
- 第66页
- 第67页
- 第68页
- 第69页
- 第70页
- 第71页
- 第72页
- 第73页
- 第74页
- 第75页
- 第76页
- 第77页
- 第78页
- 第79页
- 第80页
- 第81页
- 第82页
- 第83页
- 第84页
- 第85页
- 第86页
- 第87页
- 第88页
- 第89页
- 第90页
- 第91页
- 第92页
1. 一次函数$y = x - 2$的图象不经过(
A.第一象限
B.第二象限
C.第三象限
D.第四象限
B
)A.第一象限
B.第二象限
C.第三象限
D.第四象限
答案:
B
2. 已知正比例函数$y = kx的图象经过点P( - 1,2)$,则$k$的值是(
A.2
B.$\frac{1}{2}$
C.$- 2$
D.$- \frac{1}{2}$
C
)A.2
B.$\frac{1}{2}$
C.$- 2$
D.$- \frac{1}{2}$
答案:
C
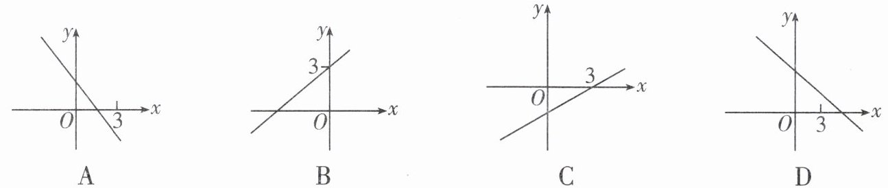
3. 若方程$kx + b = 0的解是x = 3$,则函数$y = kx + b$的图象可能是(

C
)
答案:
C
4. 若一次函数$y = (m - 4)x + 2m + 1$的图象不经过第三象限,则$m$的取值范围是(
A.$m < 4$
B.$- \frac{1}{2} \leq m < 4$
C.$- \frac{1}{2} \leq m \leq 4$
D.$m \leq - \frac{1}{2}$
B
)A.$m < 4$
B.$- \frac{1}{2} \leq m < 4$
C.$- \frac{1}{2} \leq m \leq 4$
D.$m \leq - \frac{1}{2}$
答案:
B
5. 在平面直角坐标系中,已知点$A( - 4,0)$,$B(2,0)$,若点$C在一次函数y = - \frac{1}{2}x + 2$的图象上,且$\triangle ABC$为等腰三角形,则满足条件的点$C$有(
A.2 个
B.3 个
C.4 个
D.5 个
D
)A.2 个
B.3 个
C.4 个
D.5 个
答案:
D
6. 已知一次函数$y = (k - 3)x + 1$的图象经过第一、二、四象限,则$k$的取值范围是
$ k < 3 $
.
答案:
$ k < 3 $
7. 将函数$y = 3x + 1$的图象平移,使它经过点$(1,1)$,则平移后的函数解析式是
$ y = 3x - 2 $
.
答案:
$ y = 3x - 2 $
查看更多完整答案,请扫码查看