2025年时习之暑假衔接八年级数学湘教版
注:目前有些书本章节名称可能整理的还不是很完善,但都是按照顺序排列的,请同学们按照顺序仔细查找。练习册 2025年时习之暑假衔接八年级数学湘教版 答案主要是用来给同学们做完题方便对答案用的,请勿直接抄袭。
第49页
- 第1页
- 第2页
- 第3页
- 第4页
- 第5页
- 第6页
- 第7页
- 第8页
- 第9页
- 第10页
- 第11页
- 第12页
- 第13页
- 第14页
- 第15页
- 第16页
- 第17页
- 第18页
- 第19页
- 第20页
- 第21页
- 第22页
- 第23页
- 第24页
- 第25页
- 第26页
- 第27页
- 第28页
- 第29页
- 第30页
- 第31页
- 第32页
- 第33页
- 第34页
- 第35页
- 第36页
- 第37页
- 第38页
- 第39页
- 第40页
- 第41页
- 第42页
- 第43页
- 第44页
- 第45页
- 第46页
- 第47页
- 第48页
- 第49页
- 第50页
- 第51页
- 第52页
- 第53页
- 第54页
- 第55页
- 第56页
- 第57页
- 第58页
- 第59页
- 第60页
- 第61页
- 第62页
- 第63页
- 第64页
- 第65页
- 第66页
- 第67页
- 第68页
例1 若反比例函数的图象经过点$(-3,5)$,则该反比例函数的表达式为()
A. $y= -\frac{15}{x}$ B. $y= \frac{15}{x}$ C. $y= -15x$ D. $y= 15x$
A. $y= -\frac{15}{x}$ B. $y= \frac{15}{x}$ C. $y= -15x$ D. $y= 15x$
答案:
A
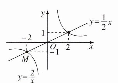
例2 已知一个正比例函数的图象与一个反比例函数的图象交于点$M(-2,-1)$,试求出它们的表达式,并在同一坐标系内画出这两个函数的大致图象。
答案:
设正比例函数、反比例函数的表达式分别为$y=k_1x$,$y=\frac{k_2}{x}$,其中$k_1$,$k_2$为常数,且均不为零。将点$M(-2,-1)$分别代入表达式,得$-1=k_1\cdot(-2)$,$-1=\frac{k_2}{-2}$,解得$k_1=\frac{1}{2}$,$k_2=2$。因此,这两个函数表达式分别为$y=\frac{1}{2}x$和$y=\frac{2}{x}$,它们的函数图象如图所示。

设正比例函数、反比例函数的表达式分别为$y=k_1x$,$y=\frac{k_2}{x}$,其中$k_1$,$k_2$为常数,且均不为零。将点$M(-2,-1)$分别代入表达式,得$-1=k_1\cdot(-2)$,$-1=\frac{k_2}{-2}$,解得$k_1=\frac{1}{2}$,$k_2=2$。因此,这两个函数表达式分别为$y=\frac{1}{2}x$和$y=\frac{2}{x}$,它们的函数图象如图所示。
1. 反比例函数$y= \frac{k}{x}的图象经过点(3,4)$,则$k$的值是()
A. 3
B. 4
C. 6
D. 12
A. 3
B. 4
C. 6
D. 12
答案:
D
2. 反比例函数$y= \frac{k}{x}的图象经过点(2,-3)和(1,m)$,则$m= $______。
答案:
−6
3. 直线$y= mx+n与双曲线y= \frac{k}{x}相交于A(-1,2)$,$B(2,b)$两点,与$y轴相交于点C$,求$m$,$n$的值。
答案:
解:
∵点 A 在 $y = \frac{k}{x} $上,则代入表达式得$2 = \frac{k}{-1}$,
∴$ k = -2 $。
∵点 B 也在双曲线上,
∴ $ b = \frac{-2}{2} $。
∴ $ b = -1$。
将$A(-1, 2)$,$B(2, -1)$ 代入 $y = mx + n$ 得 $\begin{cases} 2 = -m + n, \\ -1 = 2m + n, \end{cases}$
解得$\begin{cases} m = -1, \\ n = 1. \end{cases}$
∵点 A 在 $y = \frac{k}{x} $上,则代入表达式得$2 = \frac{k}{-1}$,
∴$ k = -2 $。
∵点 B 也在双曲线上,
∴ $ b = \frac{-2}{2} $。
∴ $ b = -1$。
将$A(-1, 2)$,$B(2, -1)$ 代入 $y = mx + n$ 得 $\begin{cases} 2 = -m + n, \\ -1 = 2m + n, \end{cases}$
解得$\begin{cases} m = -1, \\ n = 1. \end{cases}$
例3 如图,反比例函数$y= \frac{k}{x}的图象过矩形OABC的顶点B$,$OA$,$OC分别在x$轴、$y$轴的正半轴上,若点$A(2,0)$,$C(0,4)$,则$k$的值为()

A. 8
B. 6
C. -8
D. -6
A. 8
B. 6
C. -8
D. -6
答案:
A
查看更多完整答案,请扫码查看