2025年时习之暑假衔接八年级数学湘教版
注:目前有些书本章节名称可能整理的还不是很完善,但都是按照顺序排列的,请同学们按照顺序仔细查找。练习册 2025年时习之暑假衔接八年级数学湘教版 答案主要是用来给同学们做完题方便对答案用的,请勿直接抄袭。
第23页
- 第1页
- 第2页
- 第3页
- 第4页
- 第5页
- 第6页
- 第7页
- 第8页
- 第9页
- 第10页
- 第11页
- 第12页
- 第13页
- 第14页
- 第15页
- 第16页
- 第17页
- 第18页
- 第19页
- 第20页
- 第21页
- 第22页
- 第23页
- 第24页
- 第25页
- 第26页
- 第27页
- 第28页
- 第29页
- 第30页
- 第31页
- 第32页
- 第33页
- 第34页
- 第35页
- 第36页
- 第37页
- 第38页
- 第39页
- 第40页
- 第41页
- 第42页
- 第43页
- 第44页
- 第45页
- 第46页
- 第47页
- 第48页
- 第49页
- 第50页
- 第51页
- 第52页
- 第53页
- 第54页
- 第55页
- 第56页
- 第57页
- 第58页
- 第59页
- 第60页
- 第61页
- 第62页
- 第63页
- 第64页
- 第65页
- 第66页
- 第67页
- 第68页
1. 在平面直角坐标系中,点$P(-2,3)关于y$轴的对称点的坐标为()
A. $(-2,-3)$
B. $(2,-3)$
C. $(-2,3)$
D. $(2,3)$
A. $(-2,-3)$
B. $(2,-3)$
C. $(-2,3)$
D. $(2,3)$
答案:
D
2. 在平面直角坐标系中,点$M(6,-3)关于x$轴对称的点在()
A. 第一象限
B. 第二象限
C. 第三象限
D. 第四象限
A. 第一象限
B. 第二象限
C. 第三象限
D. 第四象限
答案:
A
3. 如图,$\triangle ABC$的顶点都在正方形网格的格点上,点$A的坐标为(-1,4)$。将$\triangle ABC沿y$轴翻折到第一象限,则点$C的对应点C'$的坐标是()

A. $(3,1)$
B. $(-3,-1)$
C. $(1,-3)$
D. $(3,-1)$
A. $(3,1)$
B. $(-3,-1)$
C. $(1,-3)$
D. $(3,-1)$
答案:
A
4. 在平面直角坐标系中,将点$A$向右平移2个单位长度后得到点$A'(3,2)$,则点$A$的坐标是()
A. $(3,4)$
B. $(3,0)$
C. $(1,2)$
D. $(5,2)$
A. $(3,4)$
B. $(3,0)$
C. $(1,2)$
D. $(5,2)$
答案:
C
5. 如图,把线段$AB$平移,使得点$A到达点C(4,2)$,点$B到达点D$,那么点$D$的坐标是()

A. $(7,3)$
B. $(6,4)$
C. $(7,4)$
D. $(8,4)$
A. $(7,3)$
B. $(6,4)$
C. $(7,4)$
D. $(8,4)$
答案:
C
6. 如图,与图①中的三角形相比,图②中的三角形发生的变化是______。

答案:
向右平移3个单位长度
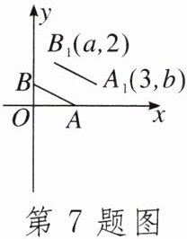
7. 如图,平面直角坐标系中,$A$,$B的坐标分别为(2,0)$,$(0,1)$。若将线段$AB平移至A_1B_1$,则$a+b$的值为______。

答案:
2 解析:由题意可知,A平移到$A_1$,B平移到$B_1$。由平移的性质可得$3 - 2 = a - 0$,$2 - 1 = b - 0$,$\therefore a = 1$,$b = 1$。$\therefore a + b = 2$。
8. 如图,在平面直角坐标系中描出4个点$A(0,2)$,$B(-1,0)$,$C(1,-1)$,$D(3,1)$。
(1)顺次连接$A$,$B$,$C$,$D$,组成四边形$ABCD$,求四边形$ABCD$的面积;
(2)如果四边形$ABCD$向左平移3个单位长度,再向上平移1个单位长度,求平移后四边形$A_1B_1C_1D_1$各点的坐标及其面积。

(1)顺次连接$A$,$B$,$C$,$D$,组成四边形$ABCD$,求四边形$ABCD$的面积;
(2)如果四边形$ABCD$向左平移3个单位长度,再向上平移1个单位长度,求平移后四边形$A_1B_1C_1D_1$各点的坐标及其面积。
答案:
解:
(1)图略。$S_{四边形ABCD}=4×3−\frac{1}{2}×1×3−\frac{1}{2}×1×2−\frac{1}{2}×2×2−\frac{1}{2}×1×2 = 6.5$。
(2)$A_1(-3, 3)$,$B_1(-4, 1)$,$C_1(-2, 0)$,$D_1(0, 2)$,$S_{四边形A_1B_1C_1D_1}=S_{四边形ABCD}=6.5$。
(1)图略。$S_{四边形ABCD}=4×3−\frac{1}{2}×1×3−\frac{1}{2}×1×2−\frac{1}{2}×2×2−\frac{1}{2}×1×2 = 6.5$。
(2)$A_1(-3, 3)$,$B_1(-4, 1)$,$C_1(-2, 0)$,$D_1(0, 2)$,$S_{四边形A_1B_1C_1D_1}=S_{四边形ABCD}=6.5$。
查看更多完整答案,请扫码查看