2025年玩转母题八年级数学全一册人教版
注:目前有些书本章节名称可能整理的还不是很完善,但都是按照顺序排列的,请同学们按照顺序仔细查找。练习册 2025年玩转母题八年级数学全一册人教版 答案主要是用来给同学们做完题方便对答案用的,请勿直接抄袭。
第109页
- 第2页
- 第3页
- 第4页
- 第5页
- 第6页
- 第7页
- 第8页
- 第9页
- 第10页
- 第11页
- 第12页
- 第13页
- 第14页
- 第15页
- 第16页
- 第17页
- 第18页
- 第19页
- 第20页
- 第21页
- 第22页
- 第23页
- 第24页
- 第25页
- 第26页
- 第27页
- 第28页
- 第29页
- 第30页
- 第31页
- 第32页
- 第33页
- 第34页
- 第35页
- 第36页
- 第37页
- 第38页
- 第39页
- 第40页
- 第41页
- 第42页
- 第43页
- 第44页
- 第45页
- 第46页
- 第47页
- 第48页
- 第49页
- 第50页
- 第51页
- 第52页
- 第53页
- 第54页
- 第55页
- 第56页
- 第57页
- 第58页
- 第59页
- 第60页
- 第61页
- 第62页
- 第63页
- 第64页
- 第65页
- 第66页
- 第67页
- 第68页
- 第69页
- 第70页
- 第71页
- 第72页
- 第73页
- 第74页
- 第75页
- 第76页
- 第77页
- 第78页
- 第79页
- 第80页
- 第81页
- 第82页
- 第83页
- 第84页
- 第85页
- 第86页
- 第87页
- 第88页
- 第89页
- 第90页
- 第91页
- 第92页
- 第93页
- 第94页
- 第95页
- 第96页
- 第97页
- 第98页
- 第99页
- 第100页
- 第101页
- 第102页
- 第103页
- 第104页
- 第105页
- 第106页
- 第107页
- 第108页
- 第109页
- 第110页
- 第111页
- 第112页
1. 计算:
(1)$(2x^{3}+3x - 4)÷(x - 3)$;
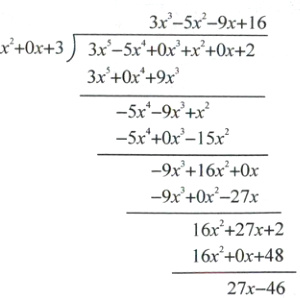
(2)$(3x^{5}-5x^{4}+x^{2}+2)÷(x^{2}+3)$。
(1)$(2x^{3}+3x - 4)÷(x - 3)$;
(2)$(3x^{5}-5x^{4}+x^{2}+2)÷(x^{2}+3)$。
答案:
1.[思路精析]根据多项式除法的运算,分别列竖式,求商式以及余式.
[超详解答]解:
(1)
∴(2x³+3x - 4)÷(x - 3)=2x²+6x+21……59.
(2)
∴(3x⁵−5x⁴+x²+2)÷(x²+3)=3x³−5x²−9x+16……27x−46.
1.[思路精析]根据多项式除法的运算,分别列竖式,求商式以及余式.
[超详解答]解:
(1)
∴(2x³+3x - 4)÷(x - 3)=2x²+6x+21……59.
(2)
∴(3x⁵−5x⁴+x²+2)÷(x²+3)=3x³−5x²−9x+16……27x−46.
2. 如图,已知一个长为$(x + 2)$,宽为$(x - 2)$的长方形$A$,若将它的长增加$6$,宽增加$a$,就得到一个新长方形$B$,此时长方形$B$的周长是长方形$A$周长的$2$倍(如图)。另有长方形$C$的一边长为$(x + 10)$,若长方形$B$的面积比长方形$C$的面积大$76$,求长方形$C$的另一边长。

答案:
2.[思路精析]分别求出长方形A、B的周长为4x和4x+2a+12,根据长方形B的周长是长方形A周长的2倍,可以求出a = 2x - 6.继续计算长方形B的面积为3x²+16x - 64,可得长方形C的面积为3x²+16x - 140.再利用多项式除法可得长方形C的另一边长为(3x - 14).
[超详解答]解:长方形A的周长为2(x + 2 + x - 2)=4x.
长方形B的周长为2(x - 2 + a + x + 2 + 6)=4x+2a+12.
∵长方形B的周长是长方形A周长的2倍.
∴4x+2a+12=8x.
∴a = 2x - 6.
∴长方形B的面积为(x + 2 + 6)(x - 2 + 2x - 6)=(x + 8)(3x - 8)=3x²+16x - 64.
∴长方形C的面积为3x²+16x - 140.
∴长方形C的另一边长为(3x²+16x - 140)÷(x + 10)=3x - 14.竖式计算如图所示:
∴长方形C的另一边长为(3x - 14).
2.[思路精析]分别求出长方形A、B的周长为4x和4x+2a+12,根据长方形B的周长是长方形A周长的2倍,可以求出a = 2x - 6.继续计算长方形B的面积为3x²+16x - 64,可得长方形C的面积为3x²+16x - 140.再利用多项式除法可得长方形C的另一边长为(3x - 14).
[超详解答]解:长方形A的周长为2(x + 2 + x - 2)=4x.
长方形B的周长为2(x - 2 + a + x + 2 + 6)=4x+2a+12.
∵长方形B的周长是长方形A周长的2倍.
∴4x+2a+12=8x.
∴a = 2x - 6.
∴长方形B的面积为(x + 2 + 6)(x - 2 + 2x - 6)=(x + 8)(3x - 8)=3x²+16x - 64.
∴长方形C的面积为3x²+16x - 140.
∴长方形C的另一边长为(3x²+16x - 140)÷(x + 10)=3x - 14.竖式计算如图所示:
∴长方形C的另一边长为(3x - 14).
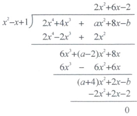
3. 若多项式$2x^{4}+4x^{3}+ax^{2}+8x - b$能被$x^{2}-x + 1$整除,求$a^{b}$的值。
答案:
3.[思路精析]能被整除,即余式为零,所以竖式最后的差值为0,可得到关于a和b的一元一次方程,进行求解.
[超详解答]解:多项式2x⁴+4x³+ax²+8x - b能被x² - x + 1整除,

∴a + 4-(-2)=0,-b-(-2)=0.
∴a=-6,b=2.
∴aᵇ=(-6)²=36.
3.[思路精析]能被整除,即余式为零,所以竖式最后的差值为0,可得到关于a和b的一元一次方程,进行求解.
[超详解答]解:多项式2x⁴+4x³+ax²+8x - b能被x² - x + 1整除,
∴a + 4-(-2)=0,-b-(-2)=0.
∴a=-6,b=2.
∴aᵇ=(-6)²=36.
查看更多完整答案,请扫码查看