2025年玩转母题八年级数学全一册人教版
注:目前有些书本章节名称可能整理的还不是很完善,但都是按照顺序排列的,请同学们按照顺序仔细查找。练习册 2025年玩转母题八年级数学全一册人教版 答案主要是用来给同学们做完题方便对答案用的,请勿直接抄袭。
第106页
- 第2页
- 第3页
- 第4页
- 第5页
- 第6页
- 第7页
- 第8页
- 第9页
- 第10页
- 第11页
- 第12页
- 第13页
- 第14页
- 第15页
- 第16页
- 第17页
- 第18页
- 第19页
- 第20页
- 第21页
- 第22页
- 第23页
- 第24页
- 第25页
- 第26页
- 第27页
- 第28页
- 第29页
- 第30页
- 第31页
- 第32页
- 第33页
- 第34页
- 第35页
- 第36页
- 第37页
- 第38页
- 第39页
- 第40页
- 第41页
- 第42页
- 第43页
- 第44页
- 第45页
- 第46页
- 第47页
- 第48页
- 第49页
- 第50页
- 第51页
- 第52页
- 第53页
- 第54页
- 第55页
- 第56页
- 第57页
- 第58页
- 第59页
- 第60页
- 第61页
- 第62页
- 第63页
- 第64页
- 第65页
- 第66页
- 第67页
- 第68页
- 第69页
- 第70页
- 第71页
- 第72页
- 第73页
- 第74页
- 第75页
- 第76页
- 第77页
- 第78页
- 第79页
- 第80页
- 第81页
- 第82页
- 第83页
- 第84页
- 第85页
- 第86页
- 第87页
- 第88页
- 第89页
- 第90页
- 第91页
- 第92页
- 第93页
- 第94页
- 第95页
- 第96页
- 第97页
- 第98页
- 第99页
- 第100页
- 第101页
- 第102页
- 第103页
- 第104页
- 第105页
- 第106页
- 第107页
- 第108页
- 第109页
- 第110页
- 第111页
- 第112页
例 因式分解:$2x^{2}-x - 3$。
1. 信息提取
利用条件 准确审题
二次三项式,没有公因式可提取,也不能利用完全平方公式来因式分解。
因式分解:$2x^{2}-x - 3$。
2. 思路精析
明确思路 快速解题
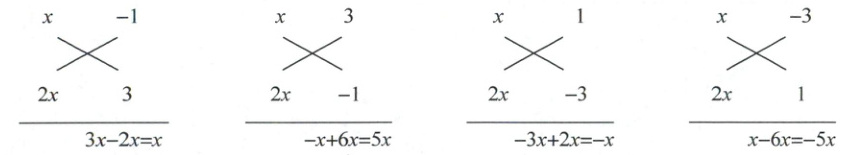
第一步:二次项$2x^{2}$可以表示为$x·2x$;
第二步:常数项$-3$可以表示为$(-1)×3$或$1×(-3)$,画“十字图”验算“交叉相乘之和”;

第三步:发现第 3 个“交叉相乘之和”的结果等于一次项$-x$,即$2x^{2}-x - 3=(x + 1)(2x - 3)$。
一般地,二次三项式$ax^{2}+bx + c(a\neq0)$,若二次项$ax^{2}$可以分解成两个因式之积,即$ax^{2}=a_{1}x· a_{2}x$,常数项$c$也可以分解成两个因数之积,即$c = c_{1}· c_{2}$,则我们可以把$a_{1}x$,$a_{2}x$,$c_{1}$,$c_{2}$排列如右图。先按斜线交叉相乘,再相加,得到$(a_{1}c_{2}+a_{2}c_{1})x$,若它正好等于$ax^{2}+bx + c$的一次项$bx$,即$(a_{1}c_{2}+a_{2}c_{1})x = bx$,则二次三项式可以分解为两个因式$(a_{1}x + c_{1})$与$(a_{2}x + c_{2})$之积,即$ax^{2}+bx + c=(a_{1}x + c_{1})(a_{2}x + c_{2})$。像这种借助十字交叉线,帮助我们把二次三项式分解因式的方法,通常叫做十字相乘法。

3. 超详解答
满分答案 规范答题
方法一:十字相乘法
解:$2x^{2}-x - 3=(x + 1)(2x - 3)$。

方法二:裂项分组法
解:$2x^{2}-x - 3=2x^{2}-x - 2 - 1=(2x^{2}-2)+(-x - 1)=2(x + 1)(x - 1)-(x + 1)=(x + 1)(2x - 3)$。
学母题 找规律
当二次三项式不能用提公因式法,也不能运用乘法公式进行因式分解时,可以尝试十字相乘法和裂项分组法来解决。运用十字相乘法,关键观察各项以及各项的系数,在交叉相乘再求和的运算过程中凑出各项系数。预备知识:质因数分解。
1. 信息提取
利用条件 准确审题
二次三项式,没有公因式可提取,也不能利用完全平方公式来因式分解。
因式分解:$2x^{2}-x - 3$。
2. 思路精析
明确思路 快速解题
第一步:二次项$2x^{2}$可以表示为$x·2x$;
第二步:常数项$-3$可以表示为$(-1)×3$或$1×(-3)$,画“十字图”验算“交叉相乘之和”;
第三步:发现第 3 个“交叉相乘之和”的结果等于一次项$-x$,即$2x^{2}-x - 3=(x + 1)(2x - 3)$。
一般地,二次三项式$ax^{2}+bx + c(a\neq0)$,若二次项$ax^{2}$可以分解成两个因式之积,即$ax^{2}=a_{1}x· a_{2}x$,常数项$c$也可以分解成两个因数之积,即$c = c_{1}· c_{2}$,则我们可以把$a_{1}x$,$a_{2}x$,$c_{1}$,$c_{2}$排列如右图。先按斜线交叉相乘,再相加,得到$(a_{1}c_{2}+a_{2}c_{1})x$,若它正好等于$ax^{2}+bx + c$的一次项$bx$,即$(a_{1}c_{2}+a_{2}c_{1})x = bx$,则二次三项式可以分解为两个因式$(a_{1}x + c_{1})$与$(a_{2}x + c_{2})$之积,即$ax^{2}+bx + c=(a_{1}x + c_{1})(a_{2}x + c_{2})$。像这种借助十字交叉线,帮助我们把二次三项式分解因式的方法,通常叫做十字相乘法。
3. 超详解答
满分答案 规范答题
方法一:十字相乘法
解:$2x^{2}-x - 3=(x + 1)(2x - 3)$。
方法二:裂项分组法
解:$2x^{2}-x - 3=2x^{2}-x - 2 - 1=(2x^{2}-2)+(-x - 1)=2(x + 1)(x - 1)-(x + 1)=(x + 1)(2x - 3)$。
学母题 找规律
当二次三项式不能用提公因式法,也不能运用乘法公式进行因式分解时,可以尝试十字相乘法和裂项分组法来解决。运用十字相乘法,关键观察各项以及各项的系数,在交叉相乘再求和的运算过程中凑出各项系数。预备知识:质因数分解。
答案:
方法一:十字相乘法
解:$2x^{2}-x - 3=(x + 1)(2x - 3)$。

方法二:裂项分组法
解:$2x^{2}-x - 3=2x^{2}-x - 2 - 1=(2x^{2}-2)+(-x - 1)=2(x + 1)(x - 1)-(x + 1)=(x + 1)(2x - 3)$。
方法一:十字相乘法
解:$2x^{2}-x - 3=(x + 1)(2x - 3)$。
方法二:裂项分组法
解:$2x^{2}-x - 3=2x^{2}-x - 2 - 1=(2x^{2}-2)+(-x - 1)=2(x + 1)(x - 1)-(x + 1)=(x + 1)(2x - 3)$。
查看更多完整答案,请扫码查看