第84页
- 第1页
- 第2页
- 第3页
- 第4页
- 第5页
- 第6页
- 第7页
- 第8页
- 第9页
- 第10页
- 第11页
- 第12页
- 第13页
- 第14页
- 第15页
- 第16页
- 第17页
- 第18页
- 第19页
- 第20页
- 第21页
- 第22页
- 第23页
- 第24页
- 第25页
- 第26页
- 第27页
- 第28页
- 第29页
- 第30页
- 第31页
- 第32页
- 第33页
- 第34页
- 第35页
- 第36页
- 第37页
- 第38页
- 第39页
- 第40页
- 第41页
- 第42页
- 第43页
- 第44页
- 第45页
- 第46页
- 第47页
- 第48页
- 第49页
- 第50页
- 第51页
- 第52页
- 第53页
- 第54页
- 第55页
- 第56页
- 第57页
- 第58页
- 第59页
- 第60页
- 第61页
- 第62页
- 第63页
- 第64页
- 第65页
- 第66页
- 第67页
- 第68页
- 第69页
- 第70页
- 第71页
- 第72页
- 第73页
- 第74页
- 第75页
- 第76页
- 第77页
- 第78页
- 第79页
- 第80页
- 第81页
- 第82页
- 第83页
- 第84页
- 第85页
- 第86页
- 第87页
- 第88页
- 第89页
- 第90页
- 第91页
- 第92页
- 第93页
- 第94页
- 第95页
- 第96页
- 第97页
- 第98页
- 第99页
- 第100页
- 第101页
- 第102页
- 第103页
- 第104页
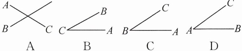
1. 下列各图中,可表示为∠ABC 的是 (

C
)
答案:
C
2. 下列说法中,正确的是 (
A.两条射线组成的图形叫做角
B.有公共端点的两条线段组成的图形叫做角
C.角可以看成是由一条射线绕着它的端点旋转而形成的图形
D.角的边越长,角越大
C
)A.两条射线组成的图形叫做角
B.有公共端点的两条线段组成的图形叫做角
C.角可以看成是由一条射线绕着它的端点旋转而形成的图形
D.角的边越长,角越大
答案:
C
3. 下列图形中,能用∠1,∠AOB,∠O 三种方法表示同一个角的是 (

B
)
答案:
B
4. 如图,∠ABC 可以表示成

∠1
或∠B
,∠α 可以表示成∠ACB
,∠2 可以表示成∠CAD
。
答案:
∠1 ∠B ∠ACB ∠CAD
5. 如图,写出符合下列条件的角(图中所有的角均指小于平角的角)。
(1)能用一个大写字母表示的角;
(2)以点 A 为顶点的角;
(3)图中所有的角(可用简便方法表示)。

(1)能用一个大写字母表示的角;
(2)以点 A 为顶点的角;
(3)图中所有的角(可用简便方法表示)。
答案:
解:
(1)∠B,∠C.
(2)∠CAD,∠BAD,∠BAC.
(3)∠C,∠B,∠1, ∠2,∠3,∠4,∠CAB.
(1)∠B,∠C.
(2)∠CAD,∠BAD,∠BAC.
(3)∠C,∠B,∠1, ∠2,∠3,∠4,∠CAB.
6. 下列各角中,是钝角的是 (
A.$\frac{1}{4}$周角
B.$\frac{5}{6}$平角
C.2 锐角
D.$\frac{2}{3}$直角
B
)A.$\frac{1}{4}$周角
B.$\frac{5}{6}$平角
C.2 锐角
D.$\frac{2}{3}$直角
答案:
B
7. 计算:
(1)$360''=$
(2)$12'=$
(3)$57.18^{\circ}=$
(4)$74^{\circ}19'30''=$
(1)$360''=$
6
$'=$0.1
$^{\circ}$;(2)$12'=$
720
$''=$0.2
$^{\circ}$;(3)$57.18^{\circ}=$
57
$^{\circ}$10
$'$48
$''$;(4)$74^{\circ}19'30''=$
74.325
$^{\circ}$。
答案:
(1)6 0.1
(2)720 0.2
(3)57 10 48
(4)74.325
(1)6 0.1
(2)720 0.2
(3)57 10 48
(4)74.325
8. 如图,下列说法中错误的是 (

A.OA 的方向是北偏东$70^{\circ}$
B.OB 的方向是北偏西$75^{\circ}$
C.OC 的方向是南偏西$30^{\circ}$
D.OD 的方向是东南方向
B
)A.OA 的方向是北偏东$70^{\circ}$
B.OB 的方向是北偏西$75^{\circ}$
C.OC 的方向是南偏西$30^{\circ}$
D.OD 的方向是东南方向
答案:
B
9. (1)荷花池在喷泉的北偏东$40^{\circ}$的方向上,这是以
(2)如图所示,以学校为观测点。
丽丽家在学校北偏东
玲玲家在学校北偏西
芳芳家在学校

喷泉
为观测点;(2)如图所示,以学校为观测点。
丽丽家在学校北偏东
50°
方向,距离是 400 m。玲玲家在学校北偏西
50°
方向,距离是 400 m。芳芳家在学校
南
偏东$65^{\circ}$方向,距离是 300 m。
答案:
(1)喷泉
(2)50° 50° 南
(1)喷泉
(2)50° 50° 南
查看更多完整答案,请扫码查看