第65页
- 第1页
- 第2页
- 第3页
- 第4页
- 第5页
- 第6页
- 第7页
- 第8页
- 第9页
- 第10页
- 第11页
- 第12页
- 第13页
- 第14页
- 第15页
- 第16页
- 第17页
- 第18页
- 第19页
- 第20页
- 第21页
- 第22页
- 第23页
- 第24页
- 第25页
- 第26页
- 第27页
- 第28页
- 第29页
- 第30页
- 第31页
- 第32页
- 第33页
- 第34页
- 第35页
- 第36页
- 第37页
- 第38页
- 第39页
- 第40页
- 第41页
- 第42页
- 第43页
- 第44页
- 第45页
- 第46页
- 第47页
- 第48页
- 第49页
- 第50页
- 第51页
- 第52页
- 第53页
- 第54页
- 第55页
- 第56页
- 第57页
- 第58页
- 第59页
- 第60页
- 第61页
- 第62页
- 第63页
- 第64页
- 第65页
- 第66页
- 第67页
- 第68页
- 第69页
- 第70页
- 第71页
- 第72页
- 第73页
- 第74页
- 第75页
- 第76页
- 第77页
- 第78页
- 第79页
- 第80页
- 第81页
- 第82页
- 第83页
- 第84页
- 第85页
- 第86页
- 第87页
- 第88页
- 第89页
- 第90页
- 第91页
- 第92页
- 第93页
- 第94页
- 第95页
- 第96页
- 第97页
- 第98页
- 第99页
- 第100页
- 第101页
- 第102页
- 第103页
- 第104页
请仔细阅读小明的数学日记,并按要求完成相应任务.

任务:
(1)上述小明同学的尝试过程出现了错误,错误的原因是
(2)请帮助小明写出正确的尝试过程;
(3)运用上述方法计算:
①$(2x^{2}+4x-3)+(5-4x+x^{2})$;
②$(3y^{3}-5y^{2}-6)-(y-2+3y^{3})$.
任务:
(1)上述小明同学的尝试过程出现了错误,错误的原因是
列竖式时没有将同类项对齐
;(2)请帮助小明写出正确的尝试过程;
(3)运用上述方法计算:
①$(2x^{2}+4x-3)+(5-4x+x^{2})$;
②$(3y^{3}-5y^{2}-6)-(y-2+3y^{3})$.
答案:
解:
(1)列竖式时没有将同类项对齐
(2)列竖式如下:

∴(2x³-3x²-5)-(-x³+x+6)=3x³-3x²-x-11.
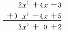
(3)①列竖式如下:

∴(2x²+4x-3)+(5-4x+x²)=3x²+2.
②列竖式如下:

∴(3y³-5y²-6)-(y-2+3y³)=-5y²-y-4.
解:
(1)列竖式时没有将同类项对齐
(2)列竖式如下:
∴(2x³-3x²-5)-(-x³+x+6)=3x³-3x²-x-11.
(3)①列竖式如下:
∴(2x²+4x-3)+(5-4x+x²)=3x²+2.
②列竖式如下:
∴(3y³-5y²-6)-(y-2+3y³)=-5y²-y-4.
查看更多完整答案,请扫码查看