2025年课时提优计划作业本七年级数学上册苏科版基础强化版
注:目前有些书本章节名称可能整理的还不是很完善,但都是按照顺序排列的,请同学们按照顺序仔细查找。练习册 2025年课时提优计划作业本七年级数学上册苏科版基础强化版 答案主要是用来给同学们做完题方便对答案用的,请勿直接抄袭。
第7页
- 第2页
- 第3页
- 第4页
- 第5页
- 第6页
- 第7页
- 第8页
- 第9页
- 第10页
- 第11页
- 第12页
- 第13页
- 第14页
- 第15页
- 第16页
- 第17页
- 第18页
- 第19页
- 第20页
- 第21页
- 第22页
- 第23页
- 第24页
- 第25页
- 第26页
- 第27页
- 第28页
- 第29页
- 第30页
- 第31页
- 第32页
- 第33页
- 第34页
- 第35页
- 第36页
- 第37页
- 第38页
- 第39页
- 第40页
- 第41页
- 第42页
- 第43页
- 第44页
- 第45页
- 第46页
- 第47页
- 第48页
- 第49页
- 第50页
- 第51页
- 第52页
- 第53页
- 第54页
- 第55页
- 第56页
- 第57页
- 第58页
- 第59页
- 第60页
- 第61页
- 第62页
- 第63页
- 第64页
- 第65页
- 第66页
- 第67页
- 第68页
- 第69页
- 第70页
- 第71页
- 第72页
- 第73页
- 第74页
- 第75页
- 第76页
- 第77页
- 第78页
- 第79页
- 第80页
- 第81页
- 第82页
- 第83页
- 第84页
- 第85页
- 第86页
- 第87页
- 第88页
- 第89页
- 第90页
- 第91页
- 第92页
- 第93页
- 第94页
- 第95页
- 第96页
- 第97页
- 第98页
- 第99页
- 第100页
- 第101页
- 第102页
- 第103页
- 第104页
8. 将一些小圆点按如图所示规律摆放,前 4 个图形中分别有 6 个、10 个、16 个、24 个小圆点,按此规律,第 20 个图形中有______个小圆点.

答案:
424 解析:第1个图形中有4+1×2=6(个)小圆点,第2个图形中有4+2×3=10(个)小圆点,第3个图形中有4+3×4=16(个)小圆点,第4个图形中有4+4×5=24(个)小圆点……第n个图形中有[4+n(n+1)]个小圆点,故第20个图形中有4+20×21=424(个)小圆点.
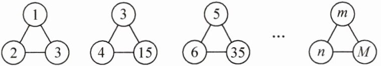
9. 如图,各图形中的三个数之间均具有相同的规律.根据此规律,若图形中 m= 11,n= 12,则 M的值为______.

答案:
143 解析:由前3个图可得出规律为M=m(n+1),当m=11,n=12时,M=11×(12+1)=143.
10. 观察如图所示的图形,回答下列问题:
(1)图中的点被线段隔开分成四层,则第一层有 1 个点,第二层有 3 个点,第三层有 5 个点,第四层有______个点.
(2)如果你要继续画下去,那么第五层有多少个点? 第 n 层呢?
(3)某一层上有 77 个点,你知道这是第几层吗?
(4)第一层与第二层的和是多少? 前三层的和是多少? 前四层呢? 你有没有发现什么规律(用含 n 的代数式表示)? 根据你的推测,前十二层的和是多少?

(1)图中的点被线段隔开分成四层,则第一层有 1 个点,第二层有 3 个点,第三层有 5 个点,第四层有______个点.
(2)如果你要继续画下去,那么第五层有多少个点? 第 n 层呢?
(3)某一层上有 77 个点,你知道这是第几层吗?
(4)第一层与第二层的和是多少? 前三层的和是多少? 前四层呢? 你有没有发现什么规律(用含 n 的代数式表示)? 根据你的推测,前十二层的和是多少?
答案:
(1)7
(2)第五层有9个点,第n层有(2n-1)个点.
(3)根据题意,得2n-1=77,解得n=39.
(4)第一层与第二层的和是4,前三层的和是9,前四层的和是16,……,依此推断,前n层的和是n²,所以前十二层的和是12²=144.
(1)7
(2)第五层有9个点,第n层有(2n-1)个点.
(3)根据题意,得2n-1=77,解得n=39.
(4)第一层与第二层的和是4,前三层的和是9,前四层的和是16,……,依此推断,前n层的和是n²,所以前十二层的和是12²=144.
11. 幻方是古老的数学问题,我国古代的《洛书》中记载了最早的幻方——九宫图.将数字 1,2,3,4,5,6,7,8,9 这 9 个数分别填入如图所示的幻方的 9 个空格中,要求每一横行、每一竖列以及两条斜对角线上的三个数之和都相等,则:
(1)图1 中 m= ______,n= ______.
(2)图2 中 p= ______.
(2)图2 中 p= ______.
答案:
(1)5 1 解析:根据题意,将数字1,2,3,4,5,6,7,8,9这9个数分别填入幻方的9个空格中,每一横行、每一竖列以及两条斜对角线上的三个数之和都相等,所以每一横行、每一竖列以及两条斜对角线上的三个数之和为(1+2+3+4+5+6+7+8+9)÷3=15.设n上面的数为a,下面的数为b,如图1,根据幻方特点可知,m为9个数的平均数,即m=5,所以b=15-m-2=15-5-2=8,a=15-7-2=6,所以n=15-a-b=15-6-8=1.
(2)6 解析:正中间的数为5,设其他空格的数分别为c,d,e,f,g,如图2,所以g=15-9-5=1,所以c=15-5-p=10-p,f=15-g-p=15-1-p=14-p,因为c+3+f=15,所以10-p+3+14-p=15,解得p=6.
(1)5 1 解析:根据题意,将数字1,2,3,4,5,6,7,8,9这9个数分别填入幻方的9个空格中,每一横行、每一竖列以及两条斜对角线上的三个数之和都相等,所以每一横行、每一竖列以及两条斜对角线上的三个数之和为(1+2+3+4+5+6+7+8+9)÷3=15.设n上面的数为a,下面的数为b,如图1,根据幻方特点可知,m为9个数的平均数,即m=5,所以b=15-m-2=15-5-2=8,a=15-7-2=6,所以n=15-a-b=15-6-8=1.
(2)6 解析:正中间的数为5,设其他空格的数分别为c,d,e,f,g,如图2,所以g=15-9-5=1,所以c=15-5-p=10-p,f=15-g-p=15-1-p=14-p,因为c+3+f=15,所以10-p+3+14-p=15,解得p=6.
查看更多完整答案,请扫码查看