2025年课时提优计划作业本七年级数学上册苏科版基础强化版
注:目前有些书本章节名称可能整理的还不是很完善,但都是按照顺序排列的,请同学们按照顺序仔细查找。练习册 2025年课时提优计划作业本七年级数学上册苏科版基础强化版 答案主要是用来给同学们做完题方便对答案用的,请勿直接抄袭。
第62页
- 第2页
- 第3页
- 第4页
- 第5页
- 第6页
- 第7页
- 第8页
- 第9页
- 第10页
- 第11页
- 第12页
- 第13页
- 第14页
- 第15页
- 第16页
- 第17页
- 第18页
- 第19页
- 第20页
- 第21页
- 第22页
- 第23页
- 第24页
- 第25页
- 第26页
- 第27页
- 第28页
- 第29页
- 第30页
- 第31页
- 第32页
- 第33页
- 第34页
- 第35页
- 第36页
- 第37页
- 第38页
- 第39页
- 第40页
- 第41页
- 第42页
- 第43页
- 第44页
- 第45页
- 第46页
- 第47页
- 第48页
- 第49页
- 第50页
- 第51页
- 第52页
- 第53页
- 第54页
- 第55页
- 第56页
- 第57页
- 第58页
- 第59页
- 第60页
- 第61页
- 第62页
- 第63页
- 第64页
- 第65页
- 第66页
- 第67页
- 第68页
- 第69页
- 第70页
- 第71页
- 第72页
- 第73页
- 第74页
- 第75页
- 第76页
- 第77页
- 第78页
- 第79页
- 第80页
- 第81页
- 第82页
- 第83页
- 第84页
- 第85页
- 第86页
- 第87页
- 第88页
- 第89页
- 第90页
- 第91页
- 第92页
- 第93页
- 第94页
- 第95页
- 第96页
- 第97页
- 第98页
- 第99页
- 第100页
- 第101页
- 第102页
- 第103页
- 第104页
1. 下列各正方形中的四个数之间都有相同的规律,根据此规律计算,x的值为 ( )
1 4 2 6 3 8 a 18
2 9 3 20 4 35 b x

A.135
B.153
C.169
D.170
1 4 2 6 3 8 a 18
2 9 3 20 4 35 b x
A.135
B.153
C.169
D.170
答案:
D 解析:根据题意可知,4=2×2,6=3×2,8=4×2,……,2=1+1,3=2+1,4=3+1,……,所以18=2b,a=b-1,所以b=9,a=8.又因为9=2×4+1,20=3×6+2,35=4×8+3,……,所以x=9×18+8=170.
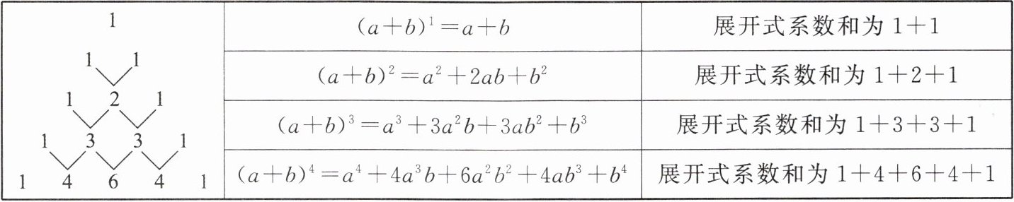
2. 我国宋代数学家杨辉发现了$(a+b)^n(n= 1,2,3,…)$的展开式系数的规律:
| | $(a+b)^1= a+b$ | 展开式系数和为1+1 |
| | $(a+b)^2= a^2+2ab+b^2$ | 展开式系数和为1+2+1 |
| | $(a+b)^3= a^3+3a^2b+3ab^2+b^3$ | 展开式系数和为1+3+3+1 |
| | $(a+b)^4= a^4+4a^3b+6a^2b^2+4ab^3+b^4$ | 展开式系数和为1+4+6+4+1 |
以上系数三角表称为“杨辉三角”,根据上述规律,$(a+b)^7$展开式的系数和是 ( )
A.68
B.88
C.128
D.256
| | $(a+b)^2= a^2+2ab+b^2$ | 展开式系数和为1+2+1 |
| | $(a+b)^3= a^3+3a^2b+3ab^2+b^3$ | 展开式系数和为1+3+3+1 |
| | $(a+b)^4= a^4+4a^3b+6a^2b^2+4ab^3+b^4$ | 展开式系数和为1+4+6+4+1 |
以上系数三角表称为“杨辉三角”,根据上述规律,$(a+b)^7$展开式的系数和是 ( )
A.68
B.88
C.128
D.256
答案:
C 解析:当n=1时,展开式中所有项的系数和为2=2¹,当n=2时,展开式中所有项的系数和为4=2²,……,当n=7时,展开式中所有项的系数和为2⁷=128.
3. 数学老师根据○中的三个数按照如下规律设置学校 Wi-Fi 密码,根据提供的信息可以推断,该校的 Wi-Fi 密码a是 ( )

A.322448
B.324824
C.468468
D.324880
A.322448
B.324824
C.468468
D.324880
答案:
D 解析:由前3个密码与三个数字的关系可以发现:第1,2个数字为上面的数与下面右边的数的积;第3,4个数字为下面的两个数的积;第5,6个数字为上面的数加下面左边的数所得之和与下面右边的数的积.据此规律可知,4×8=32,6×8=48,(4+6)×8=80,即密码a为324880.
4. 计算机使用的“二进制数”就可以用我国古老的八卦符号进行表示. 下表展示了八卦符号及其表示的二进制数,根据对应规律,第五个八卦符号表示的二进制数为______.
| 符号 | ≡≡ | ≡≡ | ≡≡ | ≡≡ | ≡≡ |
| 表示的二进制数 | 000 | 001 | 011 | 111 | ___ |

| 符号 | ≡≡ | ≡≡ | ≡≡ | ≡≡ | ≡≡ |
| 表示的二进制数 | 000 | 001 | 011 | 111 | ___ |
答案:
100 解析:观察表格发现,两个短横表示0,一个长横表示1,所以最后一个八卦符号表示的二进制数是100.
5. 阅读课本材料《一元多项式的恒等关系》,解决下列问题.
已知一元多项式$3x^2+mx-5与nx^2-4x+k$恒等.
(1)求m,n,k的值.
(2)若$x= -2$,求$3x^2+mx-5$的值.
已知一元多项式$3x^2+mx-5与nx^2-4x+k$恒等.
(1)求m,n,k的值.
(2)若$x= -2$,求$3x^2+mx-5$的值.
答案:
(1)n=3,m=-4,k=-5.
(2)将m=-4代入3x²+mx-5,得到多项式3x²-4x-5,当x=-2时,3x²-4x-5=3×(-2)²-4×(-2)-5=3×4+8-5=12+8-5=15.
(1)n=3,m=-4,k=-5.
(2)将m=-4代入3x²+mx-5,得到多项式3x²-4x-5,当x=-2时,3x²-4x-5=3×(-2)²-4×(-2)-5=3×4+8-5=12+8-5=15.
查看更多完整答案,请扫码查看