第32页
- 第1页
- 第2页
- 第3页
- 第4页
- 第5页
- 第6页
- 第7页
- 第8页
- 第9页
- 第10页
- 第11页
- 第12页
- 第13页
- 第14页
- 第15页
- 第16页
- 第17页
- 第18页
- 第19页
- 第20页
- 第21页
- 第22页
- 第23页
- 第24页
- 第25页
- 第26页
- 第27页
- 第28页
- 第29页
- 第30页
- 第31页
- 第32页
- 第33页
- 第34页
- 第35页
- 第36页
- 第37页
- 第38页
- 第39页
- 第40页
- 第41页
- 第42页
- 第43页
- 第44页
- 第45页
- 第46页
- 第47页
- 第48页
- 第49页
- 第50页
- 第51页
- 第52页
- 第53页
- 第54页
- 第55页
- 第56页
- 第57页
- 第58页
- 第59页
- 第60页
- 第61页
- 第62页
- 第63页
- 第64页
- 第65页
- 第66页
- 第67页
- 第68页
- 第69页
- 第70页
- 第71页
- 第72页
- 第73页
- 第74页
- 第75页
- 第76页
- 第77页
- 第78页
- 第79页
- 第80页
19. (6分)如图,有三个论断:①∠1=∠2;②∠B=∠D;③∠A=∠C。请从中任选两个作为条件,另一个作为结论构成一个命题,并证明该命题的正确性。

答案:
答案不唯一,如:已知:$∠B = ∠D,∠A = ∠C$. 求证:$∠1 = ∠2$.
证明:$\because ∠A = ∠C,\therefore AB// CD,\therefore ∠AEM = ∠D$.
$\because ∠B = ∠D,\therefore ∠AEM = ∠B,\therefore ED// BF$,
$\therefore ∠1 = ∠BNM$. 又 $∠BNM = ∠2,\therefore ∠1 = ∠2$.
证明:$\because ∠A = ∠C,\therefore AB// CD,\therefore ∠AEM = ∠D$.
$\because ∠B = ∠D,\therefore ∠AEM = ∠B,\therefore ED// BF$,
$\therefore ∠1 = ∠BNM$. 又 $∠BNM = ∠2,\therefore ∠1 = ∠2$.
20. (6分)如图,已知点C在线段AB上,AC=8cm,CB=6cm,点M,N分别是AC,BC的中点。
(1)求线段MN的长。
(2)若C为线段AB上任意一点,满足AC+CB=a cm,其他条件不变,你能猜想出MN的长度吗?
(3)若C在线段AB的延长线上,且满足AC-BC=b cm,M,N分别为AC,BC的中点,你能猜想出MN的长度吗?请画出图形,写出你的结论,并说明理由。

(1)求线段MN的长。
(2)若C为线段AB上任意一点,满足AC+CB=a cm,其他条件不变,你能猜想出MN的长度吗?
(3)若C在线段AB的延长线上,且满足AC-BC=b cm,M,N分别为AC,BC的中点,你能猜想出MN的长度吗?请画出图形,写出你的结论,并说明理由。
答案:
(1) $MN = 7cm$
(2) $MN = \frac{1}{2}a cm$
(3) $MN = \frac{1}{2}b cm$. 如图所示.

理由如下:根据题意,得 $AC - BC = b cm,AM = MC = \frac{1}{2}AC,CN = BN = \frac{1}{2}CB$,
所以 $MN = BM + BN = (MC - BC) + \frac{1}{2}BC = (\frac{1}{2}AC - BC) + \frac{1}{2}BC = \frac{1}{2}AC + (-BC + \frac{1}{2}BC) = \frac{1}{2}(AC - BC) = \frac{1}{2}b(cm)$.
(1) $MN = 7cm$
(2) $MN = \frac{1}{2}a cm$
(3) $MN = \frac{1}{2}b cm$. 如图所示.
理由如下:根据题意,得 $AC - BC = b cm,AM = MC = \frac{1}{2}AC,CN = BN = \frac{1}{2}CB$,
所以 $MN = BM + BN = (MC - BC) + \frac{1}{2}BC = (\frac{1}{2}AC - BC) + \frac{1}{2}BC = \frac{1}{2}AC + (-BC + \frac{1}{2}BC) = \frac{1}{2}(AC - BC) = \frac{1}{2}b(cm)$.
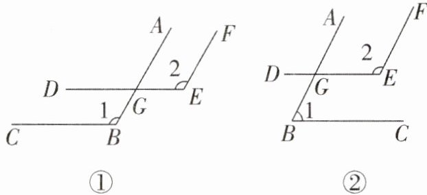
21. (6分)已知一个角的两边与另一个角的两边分别平行,试探索这两个角之间的关系。
(1)如图①、②,AB//EF,BC//DE,∠1与∠2有怎样的数量关系?并说明理由。
(2)若两个角的两边互相平行,且一个角比另一个角的2倍少30°,试求这两个角的度数。

(1)如图①、②,AB//EF,BC//DE,∠1与∠2有怎样的数量关系?并说明理由。
(2)若两个角的两边互相平行,且一个角比另一个角的2倍少30°,试求这两个角的度数。
答案:
(1) 题图①中 $∠1 = ∠2$,题图②中 $∠1 + ∠2 = 180^{\circ}$. 理由:如题图①,因为 $AB// EF$,所以 $∠AGD = ∠2$. 因为 $BC// DE$,所以 $∠AGD = ∠1$,所以 $∠1 = ∠2$. 如题图②,因为 $AB// EF$,所以 $∠AGE + ∠2 = 180^{\circ}$. 因为 $BC// DE$,所以 $∠AGE = ∠1$,所以 $∠1 + ∠2 = 180^{\circ}$.
(2) 这两个角为 $30^{\circ},30^{\circ}$ 或 $70^{\circ},110^{\circ}$.
(1) 题图①中 $∠1 = ∠2$,题图②中 $∠1 + ∠2 = 180^{\circ}$. 理由:如题图①,因为 $AB// EF$,所以 $∠AGD = ∠2$. 因为 $BC// DE$,所以 $∠AGD = ∠1$,所以 $∠1 = ∠2$. 如题图②,因为 $AB// EF$,所以 $∠AGE + ∠2 = 180^{\circ}$. 因为 $BC// DE$,所以 $∠AGE = ∠1$,所以 $∠1 + ∠2 = 180^{\circ}$.
(2) 这两个角为 $30^{\circ},30^{\circ}$ 或 $70^{\circ},110^{\circ}$.
22. (6分)在同一平面内有n条直线,任何两条不平行,任何三条不共点。当n=1时,如图①,一条直线将一个平面分成两个部分;当n=2时,如图②,两条直线将一个平面分成四个部分,则:
(1)当n=3时,三条直线将一个平面分成______个部分;
(2)当n=4时,四条直线将一个平面分成______个部分;
(3)若n条直线将一个平面分成aₙ个部分,(n+1)条直线将一个平面分成aₙ₊₁个部分。试探索aₙ,aₙ₊₁,n之间的关系。

(1)当n=3时,三条直线将一个平面分成______个部分;
(2)当n=4时,四条直线将一个平面分成______个部分;
(3)若n条直线将一个平面分成aₙ个部分,(n+1)条直线将一个平面分成aₙ₊₁个部分。试探索aₙ,aₙ₊₁,n之间的关系。
答案:
(1)7
(2)11
(3) $a_{n + 1} = a_n + (n + 1)$.
(1)7
(2)11
(3) $a_{n + 1} = a_n + (n + 1)$.
查看更多完整答案,请扫码查看