第13页
- 第1页
- 第2页
- 第3页
- 第4页
- 第5页
- 第6页
- 第7页
- 第8页
- 第9页
- 第10页
- 第11页
- 第12页
- 第13页
- 第14页
- 第15页
- 第16页
- 第17页
- 第18页
- 第19页
- 第20页
- 第21页
- 第22页
- 第23页
- 第24页
- 第25页
- 第26页
- 第27页
- 第28页
- 第29页
- 第30页
- 第31页
- 第32页
- 第33页
- 第34页
- 第35页
- 第36页
- 第37页
- 第38页
- 第39页
- 第40页
- 第41页
- 第42页
- 第43页
- 第44页
- 第45页
- 第46页
- 第47页
- 第48页
- 第49页
- 第50页
- 第51页
- 第52页
- 第53页
- 第54页
- 第55页
- 第56页
- 第57页
- 第58页
- 第59页
- 第60页
- 第61页
- 第62页
- 第63页
- 第64页
- 第65页
- 第66页
- 第67页
- 第68页
- 第69页
- 第70页
- 第71页
- 第72页
- 第73页
- 第74页
- 第75页
- 第76页
- 第77页
- 第78页
- 第79页
- 第80页
7. 如图所示的是一蓄水池的排水量$V(m^{3}/h)$与排完水池中的水所用的时间$t$(h)之间的函数关系图象.
(1)写出此函数解析式;
(2)如果要6 h排完水池中的水,那么每小时的排水量应该是多少?

(1)写出此函数解析式;
(2)如果要6 h排完水池中的水,那么每小时的排水量应该是多少?
答案:
【解】
(1)由图象可知该函数为反比例函数。
设函数解析式为$V = \frac{k}{t}(k\neq0)$,
则$k = 4×12 = 48$,
∴此函数的解析式为$V = \frac{48}{t}$。
(2)当$t = 6$时,$V = \frac{48}{6} = 8$。
故每小时的排水量应为$8\ m^{3}$。
(1)由图象可知该函数为反比例函数。
设函数解析式为$V = \frac{k}{t}(k\neq0)$,
则$k = 4×12 = 48$,
∴此函数的解析式为$V = \frac{48}{t}$。
(2)当$t = 6$时,$V = \frac{48}{6} = 8$。
故每小时的排水量应为$8\ m^{3}$。
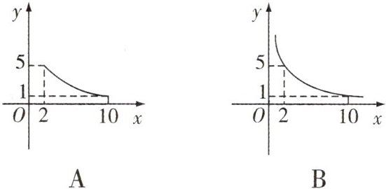
8. 如图,一张正方形的纸片,剪去两个一样的小矩形得到一个“E”形图案.设小矩形的长、宽分别为$x$,$y$,剪去部分的面积为20,若$2\leqslant x\leqslant10$,则$y$关于$x$的函数图象是( ).



答案:
A
9. 菱形的面积为$12\ cm^{2}$,两条对角线的长分别为$x\ cm$和$y\ cm$,则$y$与$x$之间的函数关系式为_______,当其中一条对角线的长为6 cm时,另一条对角线的长为_______cm.
答案:
$y = \frac{24}{x}$ 4
10. 如图,某科技小组准备用材料围建一个面积为$60\ m^{2}$的矩形科技园$ABCD$,其中一边$AB$靠墙,墙长为12 m,设$AD$的长为$x\ m$,$DC$的长为$y\ m$.
(1)求$y$与$x$之间的函数关系式;
(2)若围成矩形科技园$ABCD$的三边材料总长不超过26 m,材料$AD$和$DC$的长都是整米数,求出满足条件的所有围建方案.

(1)求$y$与$x$之间的函数关系式;
(2)若围成矩形科技园$ABCD$的三边材料总长不超过26 m,材料$AD$和$DC$的长都是整米数,求出满足条件的所有围建方案.
答案:
【解】
(1)由题意得$S_{矩形ABCD}=AD\cdot DC = xy = 60$,
故$y = \frac{60}{x}(x\geq5)$。
(2)由$y = \frac{60}{x}$且$x$,$y$都是正整数,可得$x$取 1,2,3,4,5,6,10,12,15,20,30,60。
∵$2x + y\leq26$,$0 < y\leq12$,
∴符合条件的围建方案为:①$AD = 5\ m$,$DC = 12\ m$;②$AD = 6\ m$,$DC = 10\ m$;③$AD = 10\ m$,$DC = 6\ m$。
(1)由题意得$S_{矩形ABCD}=AD\cdot DC = xy = 60$,
故$y = \frac{60}{x}(x\geq5)$。
(2)由$y = \frac{60}{x}$且$x$,$y$都是正整数,可得$x$取 1,2,3,4,5,6,10,12,15,20,30,60。
∵$2x + y\leq26$,$0 < y\leq12$,
∴符合条件的围建方案为:①$AD = 5\ m$,$DC = 12\ m$;②$AD = 6\ m$,$DC = 10\ m$;③$AD = 10\ m$,$DC = 6\ m$。
查看更多完整答案,请扫码查看