第12页
- 第1页
- 第2页
- 第3页
- 第4页
- 第5页
- 第6页
- 第7页
- 第8页
- 第9页
- 第10页
- 第11页
- 第12页
- 第13页
- 第14页
- 第15页
- 第16页
- 第17页
- 第18页
- 第19页
- 第20页
- 第21页
- 第22页
- 第23页
- 第24页
- 第25页
- 第26页
- 第27页
- 第28页
- 第29页
- 第30页
- 第31页
- 第32页
- 第33页
- 第34页
- 第35页
- 第36页
- 第37页
- 第38页
- 第39页
- 第40页
- 第41页
- 第42页
- 第43页
- 第44页
- 第45页
- 第46页
- 第47页
- 第48页
- 第49页
- 第50页
- 第51页
- 第52页
- 第53页
- 第54页
- 第55页
- 第56页
- 第57页
- 第58页
- 第59页
- 第60页
- 第61页
- 第62页
- 第63页
- 第64页
- 第65页
- 第66页
- 第67页
- 第68页
- 第69页
- 第70页
- 第71页
- 第72页
- 第73页
- 第74页
- 第75页
- 第76页
- 第77页
- 第78页
- 第79页
- 第80页
1. 已知甲、乙两地相距20千米,汽车从甲地匀速行驶到乙地,则汽车行驶时间$t$(小时)关于行驶速度$v$(千米/时)的函数关系式是( ).
A. $t = 20v$
B. $t=\frac{20}{v}$
C. $t=\frac{v}{20}$
D. $t=\frac{10}{v}$
A. $t = 20v$
B. $t=\frac{20}{v}$
C. $t=\frac{v}{20}$
D. $t=\frac{10}{v}$
答案:
B
2. 正在建设中的临滕高速是我省“十四五”重点建设项目.一段工程施工需要运送土石方总量为$10^{5}\ m^{3}$,设土石方日平均运送量为$V$(单位:$m^{3}$/天),完成运送任务所需要的时间为$t$(单位:天),则$V$与$t$满足( ).
A. 反比例函数关系
B. 正比例函数关系
C. 一次函数关系
D. 二次函数关系
A. 反比例函数关系
B. 正比例函数关系
C. 一次函数关系
D. 二次函数关系
答案:
A
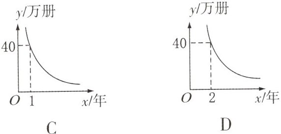
3. 一台印刷机每年可印刷的书本数量$y$(万册)与它的使用时间$x$(年)成反比例关系,当$x = 2$时,$y = 20$,则$y$与$x$的函数图象大致是( ).


答案:
C
4. 机器狗是一种模拟真实犬只形态和部分行为的机器装置,其最快移动速度$v$(m/s)是载重后总质量$m$(kg)的反比例函数.已知一款机器狗载重后总质量$m = 60\ kg$时,它的最快移动速度$v = 6\ m/s$;当其载重后总质量$m = 80\ kg$时,它的最快移动速度$v =$_______m/s.

答案:
4.5 【解析】设反比例函数的解析式为$v = \frac{k}{m}$,
∵机器狗载重后总质量$m = 60\ kg$时,它的最快移动速度$v = 6\ m/s$,
∴$k = 60×6 = 360$,
∴反比例函数的解析式为$v = \frac{360}{m}$。
当$m = 80\ kg$时,$v = \frac{360}{80} = 4.5(m/s)$。
故答案为 4.5。
∵机器狗载重后总质量$m = 60\ kg$时,它的最快移动速度$v = 6\ m/s$,
∴$k = 60×6 = 360$,
∴反比例函数的解析式为$v = \frac{360}{m}$。
当$m = 80\ kg$时,$v = \frac{360}{80} = 4.5(m/s)$。
故答案为 4.5。
5. 经研究,某人蒙上眼睛走出的大圆圈的半径$y$与其两腿迈出的步长之差$x(x>0)$成反比例关系,其图象如图所示.若此人蒙上眼睛后两腿迈出的步长之差为0.4,则其走出的大圆圈的半径是_______.

答案:
35 【解析】设$y$与$x$的函数解析式为$y = \frac{k}{x}(k>0)$,
∴$7 = \frac{k}{2}$,
∴$k = 14$,
∴$y$与$x$之间的函数解析式为$y = \frac{14}{x}$。
当$x = 0.4$时,$y = 35$,
∴走出的大圆圈的半径是 35。
故答案为 35。
∴$7 = \frac{k}{2}$,
∴$k = 14$,
∴$y$与$x$之间的函数解析式为$y = \frac{14}{x}$。
当$x = 0.4$时,$y = 35$,
∴走出的大圆圈的半径是 35。
故答案为 35。
6. 世界的面食之根就在山西.山西面食是中华民族饮食文化中的重要组成部分.如图,厨师将一定质量的面团做成拉面时,面条的总长度$y$(m)是面条横截面面积$S(mm^{2})$的反比例函数,其图象经过$A(2,64)$,$B(m,100)$两点.
(1)求$y$与$S$之间的函数关系式;
(2)求$m$的值,并解释它的实际意义.

(1)求$y$与$S$之间的函数关系式;
(2)求$m$的值,并解释它的实际意义.
答案:
【解】
(1)设$y$与$S$之间的函数解析式为$y = \frac{k}{S}(S>0)$,
将$A(2,64)$代入,得$k = 2×64 = 128$,
∴$y$与$S$之间的函数解析式为$y = \frac{128}{S}(S>0)$。
(2)
∵点$B(m,100)$在反比例函数$y = \frac{128}{S}(S>0)$上,
∴$100 = \frac{128}{m}$,解得$m = 1.28$,
∴$m = 1.28$,
其表示的实际意义为面条的总长度为 100 m 时,其横截面积为$1.28\ mm^{2}$。
(1)设$y$与$S$之间的函数解析式为$y = \frac{k}{S}(S>0)$,
将$A(2,64)$代入,得$k = 2×64 = 128$,
∴$y$与$S$之间的函数解析式为$y = \frac{128}{S}(S>0)$。
(2)
∵点$B(m,100)$在反比例函数$y = \frac{128}{S}(S>0)$上,
∴$100 = \frac{128}{m}$,解得$m = 1.28$,
∴$m = 1.28$,
其表示的实际意义为面条的总长度为 100 m 时,其横截面积为$1.28\ mm^{2}$。
查看更多完整答案,请扫码查看