2025年金版新学案高中物理选择性必修第一册人教版
注:目前有些书本章节名称可能整理的还不是很完善,但都是按照顺序排列的,请同学们按照顺序仔细查找。练习册 2025年金版新学案高中物理选择性必修第一册人教版 答案主要是用来给同学们做完题方便对答案用的,请勿直接抄袭。
第96页
- 第1页
- 第2页
- 第3页
- 第4页
- 第5页
- 第6页
- 第7页
- 第8页
- 第9页
- 第10页
- 第11页
- 第12页
- 第13页
- 第14页
- 第15页
- 第16页
- 第17页
- 第18页
- 第19页
- 第20页
- 第21页
- 第22页
- 第23页
- 第24页
- 第25页
- 第26页
- 第27页
- 第28页
- 第29页
- 第30页
- 第31页
- 第32页
- 第33页
- 第34页
- 第35页
- 第36页
- 第37页
- 第38页
- 第39页
- 第40页
- 第41页
- 第42页
- 第43页
- 第44页
- 第45页
- 第46页
- 第47页
- 第48页
- 第49页
- 第50页
- 第51页
- 第52页
- 第53页
- 第54页
- 第55页
- 第56页
- 第57页
- 第58页
- 第59页
- 第60页
- 第61页
- 第62页
- 第63页
- 第64页
- 第65页
- 第66页
- 第67页
- 第68页
- 第69页
- 第70页
- 第71页
- 第72页
- 第73页
- 第74页
- 第75页
- 第76页
- 第77页
- 第78页
- 第79页
- 第80页
- 第81页
- 第82页
- 第83页
- 第84页
- 第85页
- 第86页
- 第87页
- 第88页
- 第89页
- 第90页
- 第91页
- 第92页
- 第93页
- 第94页
- 第95页
- 第96页
- 第97页
- 第98页
- 第99页
- 第100页
- 第101页
- 第102页
- 第103页
- 第104页
- 第105页
- 第106页
易错点2. 由于不会判断质点的振动方向致错
(多选)如图所示,一列简谐横波沿$x$轴正方向传播,从波传到$x = 5\ m$的$M$点时开始计时,已知$P$点相继出现两个波峰的时间间隔为$0.4\ s$,下面说法正确的是( )

A.这列波的波长是$4\ m$
B.这列波的传播速度是$10\ m/s$
C.质点$Q(x = 9\ m)$经过$0.5\ s$才第一次到达波峰
D.$M$点以后各质点开始振动的方向都是沿$y$轴正方向的
(多选)如图所示,一列简谐横波沿$x$轴正方向传播,从波传到$x = 5\ m$的$M$点时开始计时,已知$P$点相继出现两个波峰的时间间隔为$0.4\ s$,下面说法正确的是( )
A.这列波的波长是$4\ m$
B.这列波的传播速度是$10\ m/s$
C.质点$Q(x = 9\ m)$经过$0.5\ s$才第一次到达波峰
D.$M$点以后各质点开始振动的方向都是沿$y$轴正方向的
答案:
AB 从题图可以看出该波的波长 $\lambda = 4 m$,A 正确;由题意可知该波的周期 $T = 0.4 s$,则该波的传播速度 $v = \frac{\lambda}{T} = \frac{4}{0.4} m/s = 10 m/s$,B 正确;距 Q 最近的波峰传到 Q 所用的时间 $t = \frac{x}{v} = \frac{9 - 2}{10} s = 0.7 s$,C 错误;由题图和“上下”坡法可知,M 点开始振动的方向沿 $y$ 轴负方向,说明 M 点以后各质点开始振动的方向都是沿 $y$ 轴负方向的,D 错误。故选 AB。
易错点3. 不能把波的图像与振动图像有效结合致错
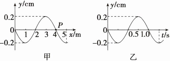
(多选)图甲为一列简谐横波在$t = 0.5\ s$时的波的图像,图乙为该波中平衡位置位于$x = 4\ m$处的质点$P$的振动图像。下列说法正确的是( )

A.此波的波速为$4\ m/s$
B.此波沿$x$轴负方向传播
C.$t = 0.5\ s$时质点$P$的速度最大
D.$t = 1.0\ s$时质点$P$的加速度最大
(多选)图甲为一列简谐横波在$t = 0.5\ s$时的波的图像,图乙为该波中平衡位置位于$x = 4\ m$处的质点$P$的振动图像。下列说法正确的是( )
A.此波的波速为$4\ m/s$
B.此波沿$x$轴负方向传播
C.$t = 0.5\ s$时质点$P$的速度最大
D.$t = 1.0\ s$时质点$P$的加速度最大
答案:
AC 由题图甲、乙可知,波长 $\lambda = 4 m$,周期 $T = 1.0 s$,则波速 $v = \frac{\lambda}{T} = \frac{4}{1.0} m/s = 4 m/s$,A 正确;平衡位置位于 $x = 4 m$ 处的质点 P 在 $t = 0.5 s$ 时向上振动,根据“上下”坡法知,波沿 $x$ 轴正方向传播,B 错误;$t = 0.5 s$ 时,质点 P 运动到平衡位置且向上振动,速度最大,C 正确;$t = 1.0 s$ 时质点 P 运动到平衡位置,加速度为零,D 错误。故选 AC。
易错点4. 不理解振动加强、减弱的含义致错

(多选)如图为某一时刻波源$S_1$、$S_2$在水槽中形成的水波,其中实线表示波峰,虚线表示波谷,已知两列波的频率相同,振幅相同,则下列说法正确的是( )
A.这两列波的波长相同,在两波相遇的区域中会产生干涉
B.从此刻再经过四分之一个周期,$a$、$b$、$c$、$d$四点的位移均为零
C.$a$、$c$、$d$三点的振动始终减弱,$b$点的振动始终加强
D.$a$、$c$、$d$三点位移始终最大,等于两列波的振幅之和
(多选)如图为某一时刻波源$S_1$、$S_2$在水槽中形成的水波,其中实线表示波峰,虚线表示波谷,已知两列波的频率相同,振幅相同,则下列说法正确的是( )
A.这两列波的波长相同,在两波相遇的区域中会产生干涉
B.从此刻再经过四分之一个周期,$a$、$b$、$c$、$d$四点的位移均为零
C.$a$、$c$、$d$三点的振动始终减弱,$b$点的振动始终加强
D.$a$、$c$、$d$三点位移始终最大,等于两列波的振幅之和
答案:
AB 在同一介质中波速相同,因为两列波的频率相同,所以波长相同,在两波相遇的区域会发生干涉,故 A 正确。此时 $a$、$c$ 两点处于波谷与波谷相遇处,$d$ 点处于波峰与波峰相遇处,均为振动加强点,振动始终加强;$b$ 点处于波峰与波谷相遇处,为振动减弱点,振动始终减弱,故 C 错误。$a$、$c$ 两点此刻处于波谷,经过四分之一周期,运动到平衡位置,位移为零;$d$ 点此刻处于波峰,经过四分之一周期,运动到平衡位置,位移为零;$b$ 点属于振动减弱点,且两波源振幅相同,$b$ 点振幅为零,即 $b$ 点不运动,故 B 正确。$a$、$c$、$d$ 三点均为振动加强点,振幅为 $2A$,但位移随时间在 $-2A \sim 2A$ 变化,故 D 错误。故选 AB。
易错点5. 对振动加强点、减弱点的条件理解错误致错
(多选)如图所示,在同一均匀介质中的$x$轴上有两个波源$S_1$、$S_2$,$S_1$在坐标原点,$S_2$在$x = 10\ m$处,两波源处的质点同时从平衡位置开始振动,并开始计时,开始振动的方向相反,波源$S_1$形成的简谐横波在介质中沿$x$轴正方向传播,$S_2$形成的简谐横波在介质中沿$x$轴负方向传播,$t = 1\ s$时刻,质点$A$开始振动且开始振动的方向沿$y$轴正方向,两列波叠加后能形成稳定的干涉图样,则下列说法正确的是( )

A.波源$S_2$处的质点沿$y$轴负方向开始振动
B.波源$S_2$处质点的振动传播速度大小为$4\ m/s$
C.$x = 5\ m$处为振动加强点
D.若$x = 2\ m$处为振动加强点,则$x = 8\ m$处也必为振动加强点
(多选)如图所示,在同一均匀介质中的$x$轴上有两个波源$S_1$、$S_2$,$S_1$在坐标原点,$S_2$在$x = 10\ m$处,两波源处的质点同时从平衡位置开始振动,并开始计时,开始振动的方向相反,波源$S_1$形成的简谐横波在介质中沿$x$轴正方向传播,$S_2$形成的简谐横波在介质中沿$x$轴负方向传播,$t = 1\ s$时刻,质点$A$开始振动且开始振动的方向沿$y$轴正方向,两列波叠加后能形成稳定的干涉图样,则下列说法正确的是( )
A.波源$S_2$处的质点沿$y$轴负方向开始振动
B.波源$S_2$处质点的振动传播速度大小为$4\ m/s$
C.$x = 5\ m$处为振动加强点
D.若$x = 2\ m$处为振动加强点,则$x = 8\ m$处也必为振动加强点
答案:
AD 由题意知,两波源能形成稳定的干涉图样,则两者频率相等,又因为两者在同一均匀介质中传播,所以波速相等。由题图可知,波源 $S_1$ 的振动形式先传到质点 A,则波速 $v = \frac{\Delta x}{\Delta t} = \frac{2}{1} m/s = 2 m/s$,质点 A 开始振动的方向即为波源 $S_1$ 的起振方向,质点 A 开始振动的方向沿 $y$ 轴正方向,由题意知,两波源开始振动的方向相反,所以波源 $S_2$ 处的质点沿 $y$ 轴负方向开始振动,故 A 正确,B 错误;由题图可知,两波源到 $x = 5 m$ 处的路程差为零,又因为两波源振动步调完全相反,则 $x = 5 m$ 处为振动减弱点,故 C 错误;因为 $x = 8 m$ 到两波源的路程差与 $x = 2 m$ 到两波源的路程差相等,所以若 $x = 2 m$ 处为振动加强点,$x = 8 m$ 处也必为振动加强点,故 D 正确。故选 AD。
查看更多完整答案,请扫码查看