2025年金版新学案高中物理选择性必修第一册人教版
注:目前有些书本章节名称可能整理的还不是很完善,但都是按照顺序排列的,请同学们按照顺序仔细查找。练习册 2025年金版新学案高中物理选择性必修第一册人教版 答案主要是用来给同学们做完题方便对答案用的,请勿直接抄袭。
第103页
- 第1页
- 第2页
- 第3页
- 第4页
- 第5页
- 第6页
- 第7页
- 第8页
- 第9页
- 第10页
- 第11页
- 第12页
- 第13页
- 第14页
- 第15页
- 第16页
- 第17页
- 第18页
- 第19页
- 第20页
- 第21页
- 第22页
- 第23页
- 第24页
- 第25页
- 第26页
- 第27页
- 第28页
- 第29页
- 第30页
- 第31页
- 第32页
- 第33页
- 第34页
- 第35页
- 第36页
- 第37页
- 第38页
- 第39页
- 第40页
- 第41页
- 第42页
- 第43页
- 第44页
- 第45页
- 第46页
- 第47页
- 第48页
- 第49页
- 第50页
- 第51页
- 第52页
- 第53页
- 第54页
- 第55页
- 第56页
- 第57页
- 第58页
- 第59页
- 第60页
- 第61页
- 第62页
- 第63页
- 第64页
- 第65页
- 第66页
- 第67页
- 第68页
- 第69页
- 第70页
- 第71页
- 第72页
- 第73页
- 第74页
- 第75页
- 第76页
- 第77页
- 第78页
- 第79页
- 第80页
- 第81页
- 第82页
- 第83页
- 第84页
- 第85页
- 第86页
- 第87页
- 第88页
- 第89页
- 第90页
- 第91页
- 第92页
- 第93页
- 第94页
- 第95页
- 第96页
- 第97页
- 第98页
- 第99页
- 第100页
- 第101页
- 第102页
- 第103页
- 第104页
- 第105页
- 第106页
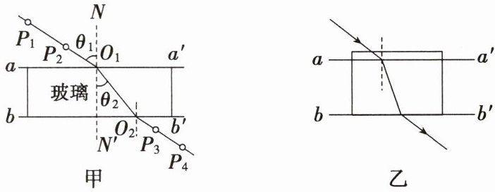
例 2 某实验小组在用插针法“测玻璃的折射率”实验中,画出光线的径迹,如图甲所示。

(1)在实验前如果有几块宽度不同的平行玻璃砖可供选择,为了减小误差,应选用宽度 ________(填“大”或“小”)的玻璃砖来测量。
(2)某同学在图甲的基础上,以入射点 $ O $ 为圆心作圆,与入射光线 $ P_1O $、折射光线 $ OO' $ 的延长线分别交于 $ A $、$ B $ 两点,再过 $ A $、$ B $ 两点作法线 $ NN' $ 的垂线,垂足分别为 $ C $、$ D $ 点,如图乙所示,则玻璃的折射率 $ n = $_________$ $(用图中线段的字母表示)。
(3)若该组某同学在画界面时,不小心将两界面 $ aa' $ 和 $ bb' $ 间距画得比玻璃砖宽度大些,如图丙所示,则他测得的折射率将 ________(填“偏大”“偏小”或“不变”)。

(4)另一个实验小组使用半圆柱形玻璃砖测定玻璃的折射率。如图丁所示,在平铺的白纸上垂直纸面插大头针 $ P_1 $、$ P_2 $ 确定入射光线,并让入射光线过圆心 $ O $,在玻璃砖(图中实线部分)另一侧垂直纸面插大头针 $ P_3 $,使 $ P_3 $ 挡住 $ P_1 $、$ P_2 $,连接 $ OP_3 $,图中 $ MN $ 为分界线,虚线半圆与玻璃砖对称,$ B $、$ C $ 分别是入射光线、折射光线与圆的交点,$ AB $、$ CD $ 均垂直于法线并分别交法线于 $ A $、$ D $ 点。
该同学在插大头针 $ P_3 $ 前不小心将玻璃砖以 $ O $ 为圆心顺时针转过一小角度,由此测得玻璃的折射率将 ________(填“偏大”“偏小”或“不变”)。
(1)在实验前如果有几块宽度不同的平行玻璃砖可供选择,为了减小误差,应选用宽度 ________(填“大”或“小”)的玻璃砖来测量。
(2)某同学在图甲的基础上,以入射点 $ O $ 为圆心作圆,与入射光线 $ P_1O $、折射光线 $ OO' $ 的延长线分别交于 $ A $、$ B $ 两点,再过 $ A $、$ B $ 两点作法线 $ NN' $ 的垂线,垂足分别为 $ C $、$ D $ 点,如图乙所示,则玻璃的折射率 $ n = $_________$ $(用图中线段的字母表示)。
(3)若该组某同学在画界面时,不小心将两界面 $ aa' $ 和 $ bb' $ 间距画得比玻璃砖宽度大些,如图丙所示,则他测得的折射率将 ________(填“偏大”“偏小”或“不变”)。
(4)另一个实验小组使用半圆柱形玻璃砖测定玻璃的折射率。如图丁所示,在平铺的白纸上垂直纸面插大头针 $ P_1 $、$ P_2 $ 确定入射光线,并让入射光线过圆心 $ O $,在玻璃砖(图中实线部分)另一侧垂直纸面插大头针 $ P_3 $,使 $ P_3 $ 挡住 $ P_1 $、$ P_2 $,连接 $ OP_3 $,图中 $ MN $ 为分界线,虚线半圆与玻璃砖对称,$ B $、$ C $ 分别是入射光线、折射光线与圆的交点,$ AB $、$ CD $ 均垂直于法线并分别交法线于 $ A $、$ D $ 点。
该同学在插大头针 $ P_3 $ 前不小心将玻璃砖以 $ O $ 为圆心顺时针转过一小角度,由此测得玻璃的折射率将 ________(填“偏大”“偏小”或“不变”)。
答案:
(1)大
(2)$\frac{AC}{BD}$
(3)偏小
(4)偏大
解析:
(1)如果有几块宽度不同的平行玻璃砖可供选择,为了减小误差,应选用宽度大的玻璃砖来测量,宽度越大,出射光线的侧位移越大,折射角的测量越准确。
(2)设题图乙圆的半径为$r$,入射角为$\alpha$,折射角为$\beta$,则有$\sin \alpha =\frac{AC}{r}$,$\sin \beta =\frac{BD}{r}$。
则玻璃的折射率$n=\frac{\sin \alpha }{\sin \beta }=\frac{AC}{BD}$。
(3)光路图如图所示。由图可知,折射角的测量值$r'>r$

根据折射定律,折射率的测量值$n_{测}=\frac{\sin i}{\sin r'}<\frac{\sin i}{\sin r}=n_{真}$
则测得的折射率将偏小。
(4)该同学在插大头针$P_3$前不小心将玻璃砖以$O$为圆心顺时针转过一小角度,那么法线也会顺时针转过一个小角度,所以折射光线将顺时针转动,而作图时其边界和法线不变,则入射角不变,折射角减小,由折射率公式可知,测得玻璃的折射率将偏大。
(1)大
(2)$\frac{AC}{BD}$
(3)偏小
(4)偏大
解析:
(1)如果有几块宽度不同的平行玻璃砖可供选择,为了减小误差,应选用宽度大的玻璃砖来测量,宽度越大,出射光线的侧位移越大,折射角的测量越准确。
(2)设题图乙圆的半径为$r$,入射角为$\alpha$,折射角为$\beta$,则有$\sin \alpha =\frac{AC}{r}$,$\sin \beta =\frac{BD}{r}$。
则玻璃的折射率$n=\frac{\sin \alpha }{\sin \beta }=\frac{AC}{BD}$。
(3)光路图如图所示。由图可知,折射角的测量值$r'>r$
根据折射定律,折射率的测量值$n_{测}=\frac{\sin i}{\sin r'}<\frac{\sin i}{\sin r}=n_{真}$
则测得的折射率将偏小。
(4)该同学在插大头针$P_3$前不小心将玻璃砖以$O$为圆心顺时针转过一小角度,那么法线也会顺时针转过一个小角度,所以折射光线将顺时针转动,而作图时其边界和法线不变,则入射角不变,折射角减小,由折射率公式可知,测得玻璃的折射率将偏大。
针对练 某实验小组用插针法测量玻璃的折射率。

(1)为测量玻璃的折射率,按图甲进行实验,以下表述正确的是 ________。
A. 处理数据时仅用毫米刻度尺也能获得计算折射率所需要的全部数据
B. 实验过程中,只有在画完光路图后,才能移除玻璃砖
C. 实验中要保证四枚大头针在同一直线上
(2)乙同学在画完边界 $ aa' $ 时,不小心将玻璃砖向上平移了一小段距离,然后画出下边界 $ bb' $,导致两边界间距略小于玻璃砖宽度,如图乙所示,则他测得的折射率与真实值相比 ________(填“偏大”“偏小”“不变”或“无法确定”)。
(3)丙同学根据测出的入射角 $ \theta_1 $ 与折射角 $ \theta_2 $,画出相应正弦的图像如图丙所示,由图像可知玻璃砖的折射率为 ________。

(1)为测量玻璃的折射率,按图甲进行实验,以下表述正确的是 ________。
A. 处理数据时仅用毫米刻度尺也能获得计算折射率所需要的全部数据
B. 实验过程中,只有在画完光路图后,才能移除玻璃砖
C. 实验中要保证四枚大头针在同一直线上
(2)乙同学在画完边界 $ aa' $ 时,不小心将玻璃砖向上平移了一小段距离,然后画出下边界 $ bb' $,导致两边界间距略小于玻璃砖宽度,如图乙所示,则他测得的折射率与真实值相比 ________(填“偏大”“偏小”“不变”或“无法确定”)。
(3)丙同学根据测出的入射角 $ \theta_1 $ 与折射角 $ \theta_2 $,画出相应正弦的图像如图丙所示,由图像可知玻璃砖的折射率为 ________。
答案:
(1)A
(2)偏大
(3)1.5
解析:
(1)处理数据时仅用毫米刻度尺量出入射光线上一点到法线的距离和到入射点$O$之间的距离即可得到入射角的正弦,同理也可得到折射角的正弦,从而获得计算折射率所需要的全部数据,A正确;实验过程中,只有先移除玻璃砖后才能画光路图,B错误;实验中同一侧的两枚大头针所在直线分别作为入射光线和折射光线,但两条光线并不在同一条直线上,C错误。故选A。
(2)在实验过程中,画出界面$aa'$后,不小心将玻璃砖向上平移了一些,实际光线如图中的虚线所示,而作图光线如图中实线所示,导致折射角偏小,所测得的折射率偏大。

(3)根据$n=\frac{\sin \theta_1}{\sin \theta_2}$,结合题图丙,可得$n=\frac{1}{k}=\frac{0.6}{0.4}=1.5$。
(1)A
(2)偏大
(3)1.5
解析:
(1)处理数据时仅用毫米刻度尺量出入射光线上一点到法线的距离和到入射点$O$之间的距离即可得到入射角的正弦,同理也可得到折射角的正弦,从而获得计算折射率所需要的全部数据,A正确;实验过程中,只有先移除玻璃砖后才能画光路图,B错误;实验中同一侧的两枚大头针所在直线分别作为入射光线和折射光线,但两条光线并不在同一条直线上,C错误。故选A。
(2)在实验过程中,画出界面$aa'$后,不小心将玻璃砖向上平移了一些,实际光线如图中的虚线所示,而作图光线如图中实线所示,导致折射角偏小,所测得的折射率偏大。
(3)根据$n=\frac{\sin \theta_1}{\sin \theta_2}$,结合题图丙,可得$n=\frac{1}{k}=\frac{0.6}{0.4}=1.5$。
查看更多完整答案,请扫码查看