第37页
- 第1页
- 第2页
- 第3页
- 第4页
- 第5页
- 第6页
- 第7页
- 第8页
- 第9页
- 第10页
- 第11页
- 第12页
- 第13页
- 第14页
- 第15页
- 第16页
- 第17页
- 第18页
- 第19页
- 第20页
- 第21页
- 第22页
- 第23页
- 第24页
- 第25页
- 第26页
- 第27页
- 第28页
- 第29页
- 第30页
- 第31页
- 第32页
- 第33页
- 第34页
- 第35页
- 第36页
- 第37页
- 第38页
- 第39页
- 第40页
- 第41页
- 第42页
- 第43页
- 第44页
- 第45页
- 第46页
- 第47页
- 第48页
- 第49页
- 第50页
- 第51页
- 第52页
- 第53页
- 第54页
- 第55页
- 第56页
- 第57页
- 第58页
- 第59页
- 第60页
- 第61页
- 第62页
- 第63页
- 第64页
- 第65页
- 第66页
- 第67页
- 第68页
- 第69页
- 第70页
- 第71页
- 第72页
- 第73页
- 第74页
- 第75页
- 第76页
- 第77页
- 第78页
- 第79页
- 第80页
- 第81页
- 第82页
- 第83页
- 第84页
- 第85页
- 第86页
- 第87页
- 第88页
- 第89页
- 第90页
- 第91页
- 第92页
- 第93页
- 第94页
- 第95页
- 第96页
- 第97页
- 第98页
- 第99页
- 第100页
- 第101页
- 第102页
- 第103页
- 第104页
- 第105页
- 第106页
- 第107页
- 第108页
- 第109页
- 第110页
- 第111页
- 第112页
- 第113页
- 第114页
- 第115页
- 第116页
- 第117页
- 第118页
- 第119页
- 第120页
- 第121页
- 第122页
- 第123页
- 第124页
- 第125页
- 第126页
- 第127页
- 第128页
- 第129页
- 第130页
- 第131页
- 第132页
- 第133页
- 第134页
- 第135页
- 第136页
- 第137页
- 第138页
- 第139页
- 第140页
- 第141页
- 第142页
- 第143页
- 第144页
- 第145页
- 第146页
- 第147页
- 第148页
- 第149页
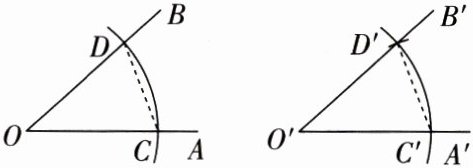
用尺规作一个角等于已知角
已知:$\angle AOB$。
求作:$\angle A^{\prime}O^{\prime}B^{\prime}$,使$\angle A^{\prime}O^{\prime}B^{\prime}=\angle AOB$。
作法:(1)如图所示,以
(2)作一条射线$O^{\prime}A^{\prime}$,以点$O^{\prime}$为圆心,
(3)以点$C^{\prime}$为圆心,
(4)过点$D^{\prime}$作

已知:$\angle AOB$。
求作:$\angle A^{\prime}O^{\prime}B^{\prime}$,使$\angle A^{\prime}O^{\prime}B^{\prime}=\angle AOB$。
作法:(1)如图所示,以
$O$
为圆心,任意长为半径作弧,分别交$OA$,$OB于点C$,$D$;(2)作一条射线$O^{\prime}A^{\prime}$,以点$O^{\prime}$为圆心,
$OC$
长为半径作弧,交$O^{\prime}A^{\prime}于点C^{\prime}$;(3)以点$C^{\prime}$为圆心,
$CD$
长为半径作弧,与(2)中所作的弧相交于点$D^{\prime}$;(4)过点$D^{\prime}$作
射线$O'B'$
,则$\angle A^{\prime}O^{\prime}B^{\prime}=\angle AOB$。
答案:
(1)$O$;
(2)$OC$;
(3)$CD$;
(4)射线$O'B'$
(1)$O$;
(2)$OC$;
(3)$CD$;
(4)射线$O'B'$
【例】(教材题变式)如图所示,已知$\angle AOB$,点$C是OB$边上的一点,用尺规作出经过点$C且与OA$平行的直线,并写出作法。

答案:
答题卡:
作法:
①以点$O$为圆心,任意长为半径画弧,分别交$OA$,$OB$于点$M$,$N$;
②以点$C$为圆心,$OM$长为半径画弧,交$OB$于点$P$;
③以点$P$为圆心,$MN$长为半径画弧,与前弧交于点$Q$;
④过点$C$,$Q$作直线$CQ$,则直线$CQ$就是所求作的直线(理由:两组对应边分别相等的四边形$OMQC$中,可证$\angle O=\angle PCQ$,同位角相等,两直线平行)。
作法:
①以点$O$为圆心,任意长为半径画弧,分别交$OA$,$OB$于点$M$,$N$;
②以点$C$为圆心,$OM$长为半径画弧,交$OB$于点$P$;
③以点$P$为圆心,$MN$长为半径画弧,与前弧交于点$Q$;
④过点$C$,$Q$作直线$CQ$,则直线$CQ$就是所求作的直线(理由:两组对应边分别相等的四边形$OMQC$中,可证$\angle O=\angle PCQ$,同位角相等,两直线平行)。
1. 下列符号代表的内容正确的是 (
如图所示,已知$\angle AOB$,求作:$\angle DEF$,使$\angle DEF= \angle AOB$。作法:如图所示。
(1)以●为圆心,任意长为半径作弧,分别交$OA$,$OB于点P$,$Q$;
(2)作射线$EG$,并以点$E$为圆心,◎长为半径作弧交$EG于点D$;
(3)以点$D$为圆心,⊙长为半径作弧,交(2)中所作的弧于点$F$;
(4)作⊕,$\angle DEF$即为所求作的角。

A. ●表示点$E$
B. ◎表示$PQ$
C. ⊙表示$OQ$
D. ⊕表示射线$EF$
D
)如图所示,已知$\angle AOB$,求作:$\angle DEF$,使$\angle DEF= \angle AOB$。作法:如图所示。
(1)以●为圆心,任意长为半径作弧,分别交$OA$,$OB于点P$,$Q$;
(2)作射线$EG$,并以点$E$为圆心,◎长为半径作弧交$EG于点D$;
(3)以点$D$为圆心,⊙长为半径作弧,交(2)中所作的弧于点$F$;
(4)作⊕,$\angle DEF$即为所求作的角。
A. ●表示点$E$
B. ◎表示$PQ$
C. ⊙表示$OQ$
D. ⊕表示射线$EF$
答案:
D
2. 如图所示,点$C在\angle AOB的边OB$上,利用尺规过点$C作OA的平行线CM$。由$OF= OD= CM= CE$,$DF= EM$,可得$\triangle ODF\cong\triangle CEM$,进而可以得到$\angle BCM= \angle AOB$,$CM// OA$,以上作图过程中的依据不包括 (

A.三边分别相等的两个三角形全等
B.全等三角形的对应角相等
C.两边和一角对应相等的两个三角形全等
D.同位角相等,两直线平行
C
)A.三边分别相等的两个三角形全等
B.全等三角形的对应角相等
C.两边和一角对应相等的两个三角形全等
D.同位角相等,两直线平行
答案:
C
3. 如图所示,已知$\triangle ABC$,请用尺规作图法在$BC边上求作点P$,使得$\angle PAC= \angle B$。(不写作法,保留作图痕迹)

答案:
作图步骤如下:
1. 以点B为圆心,任意长为半径画弧,分别交BA、BC于点M、N;
2. 以点A为圆心,BM长为半径画弧,交AC于点Q;
3. 以点Q为圆心,MN长为半径画弧,与步骤2中所画弧交于点R;
4. 作射线AR,交BC于点P。
点P即为所求。
1. 以点B为圆心,任意长为半径画弧,分别交BA、BC于点M、N;
2. 以点A为圆心,BM长为半径画弧,交AC于点Q;
3. 以点Q为圆心,MN长为半径画弧,与步骤2中所画弧交于点R;
4. 作射线AR,交BC于点P。
点P即为所求。
查看更多完整答案,请扫码查看