2025年美迪初中衔接暑假河北教育出版社数学人教版
注:目前有些书本章节名称可能整理的还不是很完善,但都是按照顺序排列的,请同学们按照顺序仔细查找。练习册 2025年美迪初中衔接暑假河北教育出版社数学人教版 答案主要是用来给同学们做完题方便对答案用的,请勿直接抄袭。
第6页
- 第1页
- 第2页
- 第3页
- 第4页
- 第5页
- 第6页
- 第7页
- 第8页
- 第9页
- 第10页
- 第11页
- 第12页
- 第13页
- 第14页
- 第15页
- 第16页
- 第17页
- 第18页
- 第19页
- 第20页
- 第21页
- 第22页
- 第23页
- 第24页
- 第25页
- 第26页
- 第27页
- 第28页
- 第29页
- 第30页
- 第31页
- 第32页
- 第33页
- 第34页
- 第35页
- 第36页
- 第37页
- 第38页
- 第39页
- 第40页
- 第41页
- 第42页
- 第43页
- 第44页
- 第45页
- 第46页
- 第47页
- 第48页
- 第49页
- 第50页
- 第51页
- 第52页
- 第53页
- 第54页
- 第55页
- 第56页
- 第57页
- 第58页
- 第59页
- 第60页
- 第61页
- 第62页
- 第63页
- 第64页
- 第65页
- 第66页
- 第67页
- 第68页
- 第69页
- 第70页
- 第71页
- 第72页
- 第73页
- 第74页
- 第75页
- 第76页
- 第77页
- 第78页
- 第79页
- 第80页
- 第81页
- 第82页
- 第83页
- 第84页
- 第85页
- 第86页
- 第87页
- 第88页
(1) 二次项系数为1,一次项系数为-3,可把常数项-4分解成 $(-4)×1$;
(2) 二次项系数为1,一次项系数为2,可把常数项-15分解成 $(-3)×5$。
(2) 二次项系数为1,一次项系数为2,可把常数项-15分解成 $(-3)×5$。
答案:
解:
(1) $x^{2}-3x-4= (x - 4)(x + 1)$。

(2) $x^{2}+2x-15= (x + 5)(x - 3)$。

[反思归纳] 对于二次项系数为1的二次三项式,使用十字相乘法时,重点考虑常数项的拆分与一次项系数的关系,当常数项为负数,要根据一次项系数对常数项的分解进行正负号的调节。
解:
(1) $x^{2}-3x-4= (x - 4)(x + 1)$。
(2) $x^{2}+2x-15= (x + 5)(x - 3)$。
[反思归纳] 对于二次项系数为1的二次三项式,使用十字相乘法时,重点考虑常数项的拆分与一次项系数的关系,当常数项为负数,要根据一次项系数对常数项的分解进行正负号的调节。
[例3] 将下列各式因式分解:
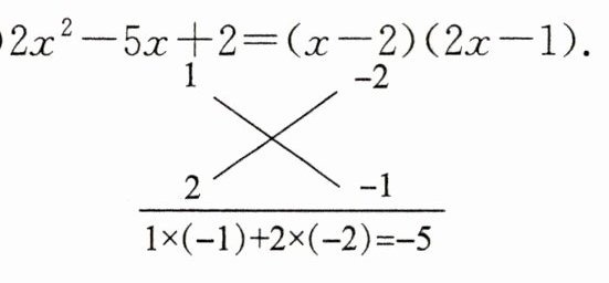
(1) $2x^{2}-5x+2$;
(2) $-12a^{2}+17a-6$。
(1) $2x^{2}-5x+2$;
(2) $-12a^{2}+17a-6$。
答案:
【解析】:本题考查九年级数学中利用十字相乘法进行因式分解。对于(1)式$2x^{2}-5x + 2$,需要找到两个数,它们的乘积等于二次项系数$2$与常数项$2$的乘积$4$,且它们的和等于一次项系数$-5$,这两个数为$-1$和$-4$,然后通过拆项、分组进行因式分解;对于(2)式$-12a^{2}+17a - 6$,先提出负号变为$-(12a^{2}-17a + 6)$,再对括号内的式子用十字相乘法,找到两个数乘积为$12×6 = 72$,和为$-17$,即$-8$和$-9$,进而完成因式分解。
【答案】:
(1)解:原式$=2x^{2}-x - 4x + 2$
$=x(2x - 1)-2(2x - 1)$
$=(2x - 1)(x - 2)$
(2)解:原式$=-(12a^{2}-17a + 6)$
$=-(12a^{2}-8a - 9a + 6)$
$=-(4a(3a - 2)-3(3a - 2))$
$=-(3a - 2)(4a - 3)$
$=(2 - 3a)(4a - 3)$
【答案】:
(1)解:原式$=2x^{2}-x - 4x + 2$
$=x(2x - 1)-2(2x - 1)$
$=(2x - 1)(x - 2)$
(2)解:原式$=-(12a^{2}-17a + 6)$
$=-(12a^{2}-8a - 9a + 6)$
$=-(4a(3a - 2)-3(3a - 2))$
$=-(3a - 2)(4a - 3)$
$=(2 - 3a)(4a - 3)$
(1) 把 $x^{2}$ 的系数2写成 $1×2$,$x$ 的系数为-5,因此把常数项2分解为 $(-2)×(-1)$;(2) 先把 $-12a^{2}+17a-6$ 提取-1,将二次项系数由负值变为正值,即 $-12a^{2}+17a-6= -(12a^{2}-17a+6)$,然后再对 $12a^{2}-17a+6$ 用十字相乘法因式分解。
答案:
解:
(1)

[反思归纳] 二次项系数不为1时,需要同时分解二次项系数与常数项,因此,心算尝试的次数会增加。若一次不行,换成另外两个数的积,或者交换一下因数的位置、交换一下两个因数的符号,直到尝试成功。
解:
(1)
[反思归纳] 二次项系数不为1时,需要同时分解二次项系数与常数项,因此,心算尝试的次数会增加。若一次不行,换成另外两个数的积,或者交换一下因数的位置、交换一下两个因数的符号,直到尝试成功。
[例4] 将下列各式因式分解:
(1) $x^{2}-xy-6y^{2}$;
(2) $5x^{2}+6xy-8y^{2}$。
(1) $x^{2}-xy-6y^{2}$;
(2) $5x^{2}+6xy-8y^{2}$。
答案:
【解析】:本题考查的是九年级数学中利用十字相乘法进行因式分解。对于形如二次三项式$ax^2 + bxy + cy^2$($a$、$b$、$c$为常数)的因式分解,十字相乘法的思路是将二次项系数$a$分解成两个因数$m$、$n$的积,将常数项$c$分解成两个因数$p$、$q$的积,使得$mp + nq = b$,则原式可分解为$(mx + py)(nx + qy)$。
(1) 对于$x^{2}-xy - 6y^{2}$,二次项系数为$1$,可分解为$1×1$;常数项为$-6y^2$,需要找到两个数,它们的乘积为$-6$,且它们的和为一次项系数$-1$(这里是关于$x$的一次项系数,将$y$看作常数)。经过分析,$-3$和$2$满足条件,因为$-3×2=-6$,且$-3 + 2=-1$。
(2) 对于$5x^{2}+6xy - 8y^{2}$,二次项系数为$5$,可分解为$5×1$;常数项为$-8y^2$,需要找到两个数,使得$5×q + 1×p = 6$(这里$p$和$q$是分解$-8$得到的两个因数)。经过尝试,$p = -4$,$q = 2$时,$5×2 + 1×(-4)=10 - 4 = 6$,满足条件。
【答案】:
(1) 解:原式$=(x - 3y)(x + 2y)$
(2) 解:原式$=(5x - 4y)(x + 2y)$
(1) 对于$x^{2}-xy - 6y^{2}$,二次项系数为$1$,可分解为$1×1$;常数项为$-6y^2$,需要找到两个数,它们的乘积为$-6$,且它们的和为一次项系数$-1$(这里是关于$x$的一次项系数,将$y$看作常数)。经过分析,$-3$和$2$满足条件,因为$-3×2=-6$,且$-3 + 2=-1$。
(2) 对于$5x^{2}+6xy - 8y^{2}$,二次项系数为$5$,可分解为$5×1$;常数项为$-8y^2$,需要找到两个数,使得$5×q + 1×p = 6$(这里$p$和$q$是分解$-8$得到的两个因数)。经过尝试,$p = -4$,$q = 2$时,$5×2 + 1×(-4)=10 - 4 = 6$,满足条件。
【答案】:
(1) 解:原式$=(x - 3y)(x + 2y)$
(2) 解:原式$=(5x - 4y)(x + 2y)$
(1) 把 $x^{2}-xy-6y^{2}$ 看成关于 $x$ 的二次三项式,一次项系数是 $-y$,常数项为 $-6y^{2}$,把 $-6y^{2}$ 分解成 $-3y$ 与 $2y$ 的积,而 $-3y + 2y= -y$,恰好是一次项系数;(2) 把 $x^{2}$ 的系数5分解成1与5的积,$-8y^{2}$ 写成 $2y$ 与 $-4y$ 的积,分别写成两列。
解:
(1) $x^{2}-xy-6y^{2}= (x - 3y)(x + 2y)$。

(2) $5x^{2}+6xy-8y^{2}= (x + 2y)(5x - 4y)$。

[反思归纳] 用十字相乘法分解二元二次多项式时,只需将它看成二次三项式即可解答。
解:
(1) $x^{2}-xy-6y^{2}= (x - 3y)(x + 2y)$。
(2) $5x^{2}+6xy-8y^{2}= (x + 2y)(5x - 4y)$。
[反思归纳] 用十字相乘法分解二元二次多项式时,只需将它看成二次三项式即可解答。
答案:
【解析】:题目考查用十字相乘法分解二元二次多项式。对于(1),将$x^{2}-xy - 6y^{2}$看作关于$x$的二次三项式,二次项系数为1,常数项为$-6y^{2}$,需找到两个数(这里是$-3y$和$2y$),它们的积为常数项,和为一次项系数$-y$,从而分解因式;对于(2),$5x^{2}+6xy - 8y^{2}$中$x^{2}$系数为5,分解为1和5,常数项$-8y^{2}$分解为$2y$和$-4y$,交叉相乘再相加得一次项系数$6xy$,进而分解因式。
【答案】:
(1)$(x - 3y)(x + 2y)$;
(2)$(x + 2y)(5x - 4y)$
【答案】:
(1)$(x - 3y)(x + 2y)$;
(2)$(x + 2y)(5x - 4y)$
查看更多完整答案,请扫码查看