第5页
- 第1页
- 第2页
- 第3页
- 第4页
- 第5页
- 第6页
- 第7页
- 第8页
- 第9页
- 第10页
- 第11页
- 第12页
- 第13页
- 第14页
- 第15页
- 第16页
- 第17页
- 第18页
- 第19页
- 第20页
- 第21页
- 第22页
- 第23页
- 第24页
- 第25页
- 第26页
- 第27页
- 第28页
- 第29页
- 第30页
- 第31页
- 第32页
- 第33页
- 第34页
- 第35页
- 第36页
- 第37页
- 第38页
- 第39页
- 第40页
- 第41页
- 第42页
- 第43页
- 第44页
- 第45页
- 第46页
- 第47页
- 第48页
- 第49页
- 第50页
- 第51页
- 第52页
- 第53页
- 第54页
- 第55页
- 第56页
- 第57页
- 第58页
- 第59页
- 第60页
- 第61页
- 第62页
- 第63页
- 第64页
- 第65页
- 第66页
- 第67页
- 第68页
- 第69页
- 第70页
- 第71页
- 第72页
- 第73页
- 第74页
- 第75页
- 第76页
- 第77页
- 第78页
- 第79页
- 第80页
- 第81页
- 第82页
- 第83页
- 第84页
- 第85页
- 第86页
10. 先化简,再求值:$5 \sqrt { \frac { x } { 5 } } + \frac { 1 } { 2 } \sqrt { 20 x } - \frac { 5 x } { 4 } \sqrt { \frac { 4 } { 5 x } }$,其中$x = \frac { 1 } { 3 }$.


答案:
原式 $=\frac{3}{2}\sqrt{5x}$;当 $x = \frac{1}{3}$ 时,原式 $=\frac{\sqrt{15}}{2}$。
11. 阅读下列各式及其验证过程:
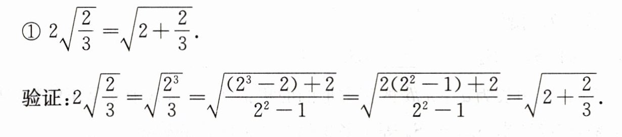
①$2 \sqrt { \frac { 2 } { 3 } } = \sqrt { 2 + \frac { 2 } { 3 } }$.
验证:$2 \sqrt { \frac { 2 } { 3 } } = \sqrt { \frac { 2 ^ { 3 } } { 3 } } = \sqrt { \frac { ( 2 ^ { 3 } - 2 ) + 2 } { 2 ^ { 2 } - 1 } } = \sqrt { \frac { 2 ( 2 ^ { 2 } - 1 ) + 2 } { 2 ^ { 2 } - 1 } } = \sqrt { 2 + \frac { 2 } { 3 } }$.
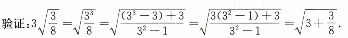
②$3 \sqrt { \frac { 3 } { 8 } } = \sqrt { 3 + \frac { 3 } { 8 } }$.
验证:$3 \sqrt { \frac { 3 } { 8 } } = \sqrt { \frac { 3 ^ { 3 } } { 8 } } = \sqrt { \frac { ( 3 ^ { 3 } - 3 ) + 3 } { 3 ^ { 2 } - 1 } } = \sqrt { \frac { 3 ( 3 ^ { 2 } - 1 ) + 3 } { 3 ^ { 2 } - 1 } } = \sqrt { 3 + \frac { 3 } { 8 } }$.
(1) 按照上述两个等式及其验证过程的基本思路,猜想$4 \sqrt { \frac { 4 } { 15 } }$的变形结果并进行验证;
(2) 针对上述各式反映的规律,写出用$n$($n$为自然数,且$n \geq 2$)表示的等式,并给出证明.
①$2 \sqrt { \frac { 2 } { 3 } } = \sqrt { 2 + \frac { 2 } { 3 } }$.
验证:$2 \sqrt { \frac { 2 } { 3 } } = \sqrt { \frac { 2 ^ { 3 } } { 3 } } = \sqrt { \frac { ( 2 ^ { 3 } - 2 ) + 2 } { 2 ^ { 2 } - 1 } } = \sqrt { \frac { 2 ( 2 ^ { 2 } - 1 ) + 2 } { 2 ^ { 2 } - 1 } } = \sqrt { 2 + \frac { 2 } { 3 } }$.
②$3 \sqrt { \frac { 3 } { 8 } } = \sqrt { 3 + \frac { 3 } { 8 } }$.
验证:$3 \sqrt { \frac { 3 } { 8 } } = \sqrt { \frac { 3 ^ { 3 } } { 8 } } = \sqrt { \frac { ( 3 ^ { 3 } - 3 ) + 3 } { 3 ^ { 2 } - 1 } } = \sqrt { \frac { 3 ( 3 ^ { 2 } - 1 ) + 3 } { 3 ^ { 2 } - 1 } } = \sqrt { 3 + \frac { 3 } { 8 } }$.
(1) 按照上述两个等式及其验证过程的基本思路,猜想$4 \sqrt { \frac { 4 } { 15 } }$的变形结果并进行验证;
(2) 针对上述各式反映的规律,写出用$n$($n$为自然数,且$n \geq 2$)表示的等式,并给出证明.
答案:
(1) $4\sqrt{\frac{4}{15}} = \sqrt{4 + \frac{4}{15}}$,验证略。
(2) $n\sqrt{\frac{n}{n^2 - 1}} = \sqrt{n + \frac{n}{n^2 - 1}}$($n \geq 2$,且 $n$ 为自然数),证明略。
(1) $4\sqrt{\frac{4}{15}} = \sqrt{4 + \frac{4}{15}}$,验证略。
(2) $n\sqrt{\frac{n}{n^2 - 1}} = \sqrt{n + \frac{n}{n^2 - 1}}$($n \geq 2$,且 $n$ 为自然数),证明略。
查看更多完整答案,请扫码查看