2025年奔跑吧少年九年级数学全一册浙教版
注:目前有些书本章节名称可能整理的还不是很完善,但都是按照顺序排列的,请同学们按照顺序仔细查找。练习册 2025年奔跑吧少年九年级数学全一册浙教版 答案主要是用来给同学们做完题方便对答案用的,请勿直接抄袭。
第4页
- 第2页
- 第3页
- 第4页
- 第5页
- 第6页
- 第7页
- 第8页
- 第9页
- 第10页
- 第11页
- 第12页
- 第13页
- 第14页
- 第15页
- 第16页
- 第17页
- 第18页
- 第19页
- 第20页
- 第21页
- 第22页
- 第23页
- 第24页
- 第25页
- 第26页
- 第27页
- 第28页
- 第29页
- 第30页
- 第31页
- 第32页
- 第33页
- 第34页
- 第35页
- 第36页
- 第37页
- 第38页
- 第39页
- 第40页
- 第41页
- 第42页
- 第43页
- 第44页
- 第45页
- 第46页
- 第47页
- 第48页
- 第49页
- 第50页
- 第51页
- 第52页
- 第53页
- 第54页
- 第55页
- 第56页
- 第57页
- 第58页
- 第59页
- 第60页
- 第61页
- 第62页
- 第63页
- 第64页
- 第65页
- 第66页
- 第67页
- 第68页
1. 将抛物线$y = x^2$向右平移2个单位,得到的新抛物线的函数表达式为(
A. $y = (x + 2)^2$
B. $y = (x - 2)^2$
C. $y = x^2 + 2$
D. $y = x^2 - 2$
B
)A. $y = (x + 2)^2$
B. $y = (x - 2)^2$
C. $y = x^2 + 2$
D. $y = x^2 - 2$
答案:
B
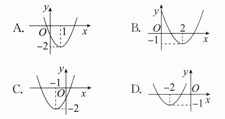
2. 二次函数$y = (x + 1)^2 - 2$的图象大致为(

C
)
答案:
C
3. 抛物线$y = x^2 - 4与x$轴的交点坐标是(
A. $(2, 0)$
B. $(-2, 0)$
C. $(0, -4)$
D. $(2, 0)和(-2, 0)$
D
)A. $(2, 0)$
B. $(-2, 0)$
C. $(0, -4)$
D. $(2, 0)和(-2, 0)$
答案:
D
4. 如图,在平面直角坐标系中,抛物线的函数表达式为$y = -2(x - h)^2 + k$,则下列结论中,正确的是(

A. $h > 0$,$k > 0$
B. $h < 0$,$k > 0$
C. $h < 0$,$k < 0$
D. $h > 0$,$k < 0$
A
)A. $h > 0$,$k > 0$
B. $h < 0$,$k > 0$
C. $h < 0$,$k < 0$
D. $h > 0$,$k < 0$
答案:
A
5. 填写下表:

(注:因无法直接在图片中填充,根据答案推测表格填写内容如下:第一行依次为
(注:因无法直接在图片中填充,根据答案推测表格填写内容如下:第一行依次为
向下
、y轴
、(0,1)
;第二行依次为向下
、直线x=-2
、(-2,0)
;第三行依次为向上
、直线x=3
、(3,-4)
)
答案:
向下 $ y $ 轴 $ (0,1) $
向下 直线 $ x = -2 $ $ (-2,0) $
向上 直线 $ x = 3 $ $ (3,-4) $
向下 直线 $ x = -2 $ $ (-2,0) $
向上 直线 $ x = 3 $ $ (3,-4) $
6. 将抛物线$y = 2x^2$先向下平移
2
个单位,再向左
平移1
个单位,所得抛物线的函数表达式为$y = 2(x + 1)^2 - 2$。
答案:
2 左 1
7. 若$A(1, 4)$,$B(3, m)是抛物线y = a(x - 2)^2$上两个不同的点,则$m$的值为
4
。
答案:
4
8. 请写一个以直线$x = 2$为对称轴,且经过点$(0, 1)$的二次函数表达式:
$ y = (x - 2)^2 - 3 $(答案不唯一)
。
答案:
$ y = (x - 2)^2 - 3 $(答案不唯一)
9. 已知二次函数$y = \frac{1}{4}x^2 - 1$。
(1)补充表格中的$y$值。

(2)画出$y = \frac{1}{4}x^2 - 1$的图象。
(1)补充表格中的$y$值。
3 0 -1 0 3
(2)画出$y = \frac{1}{4}x^2 - 1$的图象。
略
答案:
(1) 3 0 -1 0 3
(2) 略
(1) 3 0 -1 0 3
(2) 略
10. 若二次函数$y = a(x - 2)^2 + k(a \neq 0)$图象的顶点在反比例函数$y = \frac{2}{x}$的图象上,且过点$(1, 4)$,求该二次函数的表达式。
$ y = 3(x - 2)^2 + 1 $
答案:
$ y = 3(x - 2)^2 + 1 $.
查看更多完整答案,请扫码查看